Comparing Machine Learning and Advanced Methods with Traditional Methods to Generate Weights in Inverse Probability of Treatment Weighting: The INFORM Study.

IF 2.7 Q2 MEDICINE, GENERAL & INTERNAL
Pragmatic and Observational Research Pub Date : 2024-10-04 eCollection Date: 2024-01-01 DOI:10.2147/POR.S466505
Doyoung Kwak, Yuanjie Liang, Xu Shi, Xi Tan
{"title":"Comparing Machine Learning and Advanced Methods with Traditional Methods to Generate Weights in Inverse Probability of Treatment Weighting: The INFORM Study.","authors":"Doyoung Kwak, Yuanjie Liang, Xu Shi, Xi Tan","doi":"10.2147/POR.S466505","DOIUrl":null,"url":null,"abstract":"<p><strong>Purpose: </strong>Observational research provides valuable insights into treatments used in patient populations in real-world settings. However, confounding is likely to occur if there are differences in patient characteristics associated with both the exposure and outcome between the groups being evaluated. One approach to reduce confounding and facilitate unbiased comparisons is inverse probability of treatment weighting (IPTW) using propensity scores. Machine learning (ML) and entropy balancing can potentially be used in generating propensity scores for IPTW, but there is limited literature on this application. We aimed to assess the feasibility of applying these methods for reducing confounding in observational studies. These methods were assessed in a study comparing cardiovascular outcomes in adults with type 2 diabetes and established atherosclerotic cardiovascular disease taking once-weekly glucagon-like peptide-1 receptor agonists or dipeptidyl peptidase-4 inhibitors.</p><p><strong>Methods: </strong>We applied advanced methods to generate the propensity scores compared to the original logistic regression method in terms of covariate balance. After calculating weights, a weighted Cox proportional hazards model was used to calculate the sample average treatment effect. Support Vector Classification, Support Vector Regression, XGBoost, and LightGBM were the ML models used. Entropy balancing was also performed on features identified in the original cardiovascular outcomes study.</p><p><strong>Results: </strong>Accuracy (range: 0.71 to 0.73), area under the curve (0.77 to 0.79), precision (0.53 to 0.60), recall (0.66 to 0.68), and F1 score (0.60 to 0.64) were similar between all of the advanced propensity score methods and traditional logistic regression. Among ML models, only XGBoost achieved balance in all measured baseline characteristics between the two treatment groups, closely approximating the performance of the original logistic regression. Entropy balancing weights provided the best performance among all models in balancing baseline characteristics, achieving near perfect balancing.</p><p><strong>Conclusion: </strong>Among the advanced methods examined, entropy balancing weights performed the best for optimizing balancing and can produce similar results compared to traditional logistic regression.</p>","PeriodicalId":20399,"journal":{"name":"Pragmatic and Observational Research","volume":"15 ","pages":"173-183"},"PeriodicalIF":2.7000,"publicationDate":"2024-10-04","publicationTypes":"Journal Article","fieldsOfStudy":null,"isOpenAccess":false,"openAccessPdf":"https://www.ncbi.nlm.nih.gov/pmc/articles/PMC11462432/pdf/","citationCount":"0","resultStr":null,"platform":"Semanticscholar","paperid":null,"PeriodicalName":"Pragmatic and Observational Research","FirstCategoryId":"1085","ListUrlMain":"https://doi.org/10.2147/POR.S466505","RegionNum":0,"RegionCategory":null,"ArticlePicture":[],"TitleCN":null,"AbstractTextCN":null,"PMCID":null,"EPubDate":"2024/1/1 0:00:00","PubModel":"eCollection","JCR":"Q2","JCRName":"MEDICINE, GENERAL & INTERNAL","Score":null,"Total":0}
引用次数: 0

Abstract

Purpose: Observational research provides valuable insights into treatments used in patient populations in real-world settings. However, confounding is likely to occur if there are differences in patient characteristics associated with both the exposure and outcome between the groups being evaluated. One approach to reduce confounding and facilitate unbiased comparisons is inverse probability of treatment weighting (IPTW) using propensity scores. Machine learning (ML) and entropy balancing can potentially be used in generating propensity scores for IPTW, but there is limited literature on this application. We aimed to assess the feasibility of applying these methods for reducing confounding in observational studies. These methods were assessed in a study comparing cardiovascular outcomes in adults with type 2 diabetes and established atherosclerotic cardiovascular disease taking once-weekly glucagon-like peptide-1 receptor agonists or dipeptidyl peptidase-4 inhibitors.

Methods: We applied advanced methods to generate the propensity scores compared to the original logistic regression method in terms of covariate balance. After calculating weights, a weighted Cox proportional hazards model was used to calculate the sample average treatment effect. Support Vector Classification, Support Vector Regression, XGBoost, and LightGBM were the ML models used. Entropy balancing was also performed on features identified in the original cardiovascular outcomes study.

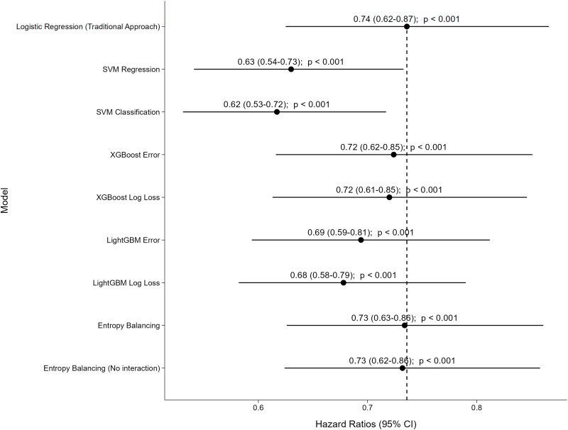
Results: Accuracy (range: 0.71 to 0.73), area under the curve (0.77 to 0.79), precision (0.53 to 0.60), recall (0.66 to 0.68), and F1 score (0.60 to 0.64) were similar between all of the advanced propensity score methods and traditional logistic regression. Among ML models, only XGBoost achieved balance in all measured baseline characteristics between the two treatment groups, closely approximating the performance of the original logistic regression. Entropy balancing weights provided the best performance among all models in balancing baseline characteristics, achieving near perfect balancing.

Conclusion: Among the advanced methods examined, entropy balancing weights performed the best for optimizing balancing and can produce similar results compared to traditional logistic regression.

Abstract Image

Abstract Image

比较机器学习和先进方法与传统方法,以生成反向治疗概率加权法中的权重:INFORM 研究。
目的:观察性研究为了解真实世界中患者群体所使用的治疗方法提供了宝贵的资料。然而,如果被评估组之间与暴露和结果相关的患者特征存在差异,则很可能出现混杂因素。减少混杂因素并促进无偏比较的一种方法是使用倾向分数进行反向治疗概率加权(IPTW)。机器学习(ML)和熵平衡有可能用于生成 IPTW 的倾向分数,但这方面的应用文献有限。我们旨在评估在观察性研究中应用这些方法减少混杂的可行性。我们在一项研究中对这些方法进行了评估,该研究比较了每周服用一次胰高血糖素样肽-1 受体激动剂或二肽基肽酶-4 抑制剂的 2 型糖尿病和已确诊动脉粥样硬化性心血管疾病成人患者的心血管预后:与原始的逻辑回归方法相比,我们在协变量平衡方面采用了先进的方法来生成倾向评分。计算权重后,使用加权考克斯比例危险模型计算样本平均治疗效果。支持向量分类、支持向量回归、XGBoost 和 LightGBM 是使用的 ML 模型。此外,还对原始心血管结果研究中确定的特征进行了熵平衡:所有高级倾向评分方法与传统逻辑回归的准确率(范围:0.71 至 0.73)、曲线下面积(0.77 至 0.79)、精确度(0.53 至 0.60)、召回率(0.66 至 0.68)和 F1 分数(0.60 至 0.64)相似。在 ML 模型中,只有 XGBoost 实现了两个治疗组之间所有测量基线特征的平衡,非常接近原始逻辑回归的性能。在所有模型中,熵平衡权重在平衡基线特征方面表现最佳,达到了近乎完美的平衡:结论:在所研究的先进方法中,熵平衡权重在优化平衡方面表现最佳,与传统的逻辑回归相比,能产生相似的结果。
本文章由计算机程序翻译,如有差异,请以英文原文为准。
求助全文
约1分钟内获得全文 求助全文
来源期刊
Pragmatic and Observational Research
Pragmatic and Observational Research MEDICINE, GENERAL & INTERNAL-
自引率
0.00%
发文量
11
期刊介绍: Pragmatic and Observational Research is an international, peer-reviewed, open-access journal that publishes data from studies designed to closely reflect medical interventions in real-world clinical practice, providing insights beyond classical randomized controlled trials (RCTs). While RCTs maximize internal validity for cause-and-effect relationships, they often represent only specific patient groups. This journal aims to complement such studies by providing data that better mirrors real-world patients and the usage of medicines, thus informing guidelines and enhancing the applicability of research findings across diverse patient populations encountered in everyday clinical practice.
×
引用
GB/T 7714-2015
复制
MLA
复制
APA
复制
导出至
BibTeX EndNote RefMan NoteFirst NoteExpress
×
提示
您的信息不完整,为了账户安全,请先补充。
现在去补充
×
提示
您因"违规操作"
具体请查看互助需知
我知道了
×
提示
确定
请完成安全验证×
copy
已复制链接
快去分享给好友吧!
我知道了
右上角分享
点击右上角分享
0
联系我们:info@booksci.cn Book学术提供免费学术资源搜索服务,方便国内外学者检索中英文文献。致力于提供最便捷和优质的服务体验。 Copyright © 2023 布克学术 All rights reserved.
京ICP备2023020795号-1
ghs 京公网安备 11010802042870号
Book学术文献互助
Book学术文献互助群
群 号:604180095
Book学术官方微信