Targeting the serum marker interleukin 9 improves the underlying characterization and immune homeostasis in rheumatoid arthritis.

IF 1.6 4区 医学 Q4 IMMUNOLOGY
Central European Journal of Immunology Pub Date : 2024-01-01 Epub Date: 2024-08-26 DOI:10.5114/ceji.2024.141695
Ying Xiong, Wang Xiang, Wei Xiao
{"title":"Targeting the serum marker interleukin 9 improves the underlying characterization and immune homeostasis in rheumatoid arthritis.","authors":"Ying Xiong, Wang Xiang, Wei Xiao","doi":"10.5114/ceji.2024.141695","DOIUrl":null,"url":null,"abstract":"<p><strong>Introduction: </strong>Rheumatoid factor (RF) and anti-citrullinated peptide antibodies (ACPA) are serological markers used for diagnosing rheumatoid arthritis (RA), an autoimmune disease characterized by inflammatory joint damage. However, there is a subset of RA patients who test negative for both RF and ACPA, known as seronegative rheumatoid arthritis (SNRA).</p><p><strong>Material and methods: </strong>The levels of serum markers were examined in both clinical samples and a rat model of type II collagen-induced RA (CIA). The effect of interleukin 9 (IL-9) on RA was investigated using recombinant rat IL-9 (rrIL-9), anti-rat IL-9 neutralizing monoclonal antibody (mAb), and control IgG antibody in the CIA rat. The severity of arthritis was assessed. Treg and Th17 cells, M1 and M2 macrophages, and inflammatory cytokine levels were analyzed.</p><p><strong>Results: </strong>We observed higher levels of IL-9 in clinical samples from SNRA patients compared to the normal group. Rat models of CIA exhibit increased arthritis scores, weight loss, paw swelling, and severe joint damage. IL-9 was the most sensitive serum marker for the diagnosis of RA in serum assays of CIA rats. IL-9 increased arthritis scores and cartilage damage, whereas treatment with IL-9 inhibitors produced the opposite effect. IL-9 inhibitors promoted Treg/Th17 homeostasis, decreased M1 macrophages, increased M2 macrophages, and decreased levels of inflammatory cytokines in joint tissues.</p><p><strong>Conclusions: </strong>These results suggest that IL-9 has potential as a diagnostic marker for SNRA. Inhibition of IL-9 could reduce the severity of arthritis in CIA rats by ameliorating inflammation and modulating the Treg/Th17 immune balance, M2 and M1 macrophage activation.</p>","PeriodicalId":9694,"journal":{"name":"Central European Journal of Immunology","volume":"49 2","pages":"132-146"},"PeriodicalIF":1.6000,"publicationDate":"2024-01-01","publicationTypes":"Journal Article","fieldsOfStudy":null,"isOpenAccess":false,"openAccessPdf":"https://www.ncbi.nlm.nih.gov/pmc/articles/PMC11457572/pdf/","citationCount":"0","resultStr":null,"platform":"Semanticscholar","paperid":null,"PeriodicalName":"Central European Journal of Immunology","FirstCategoryId":"3","ListUrlMain":"https://doi.org/10.5114/ceji.2024.141695","RegionNum":4,"RegionCategory":"医学","ArticlePicture":[],"TitleCN":null,"AbstractTextCN":null,"PMCID":null,"EPubDate":"2024/8/26 0:00:00","PubModel":"Epub","JCR":"Q4","JCRName":"IMMUNOLOGY","Score":null,"Total":0}
引用次数: 0

Abstract

Introduction: Rheumatoid factor (RF) and anti-citrullinated peptide antibodies (ACPA) are serological markers used for diagnosing rheumatoid arthritis (RA), an autoimmune disease characterized by inflammatory joint damage. However, there is a subset of RA patients who test negative for both RF and ACPA, known as seronegative rheumatoid arthritis (SNRA).

Material and methods: The levels of serum markers were examined in both clinical samples and a rat model of type II collagen-induced RA (CIA). The effect of interleukin 9 (IL-9) on RA was investigated using recombinant rat IL-9 (rrIL-9), anti-rat IL-9 neutralizing monoclonal antibody (mAb), and control IgG antibody in the CIA rat. The severity of arthritis was assessed. Treg and Th17 cells, M1 and M2 macrophages, and inflammatory cytokine levels were analyzed.

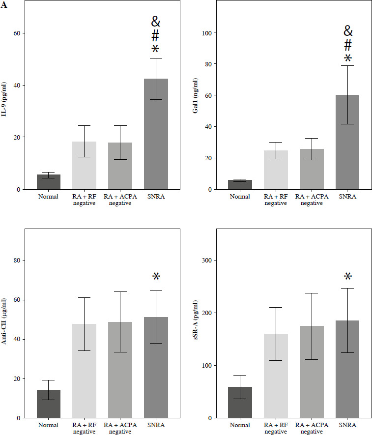
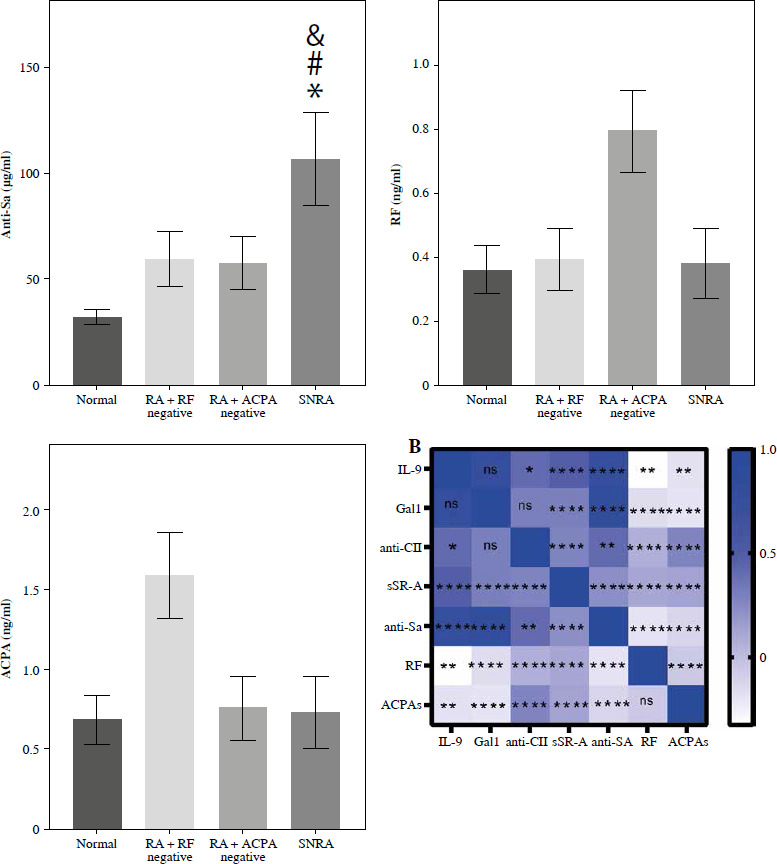
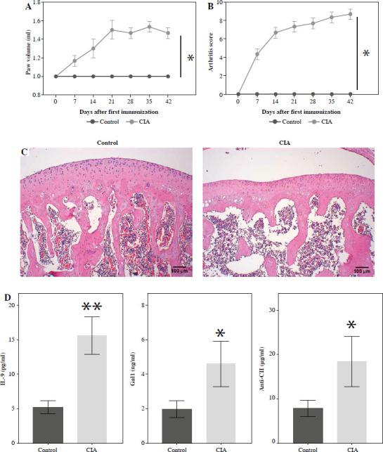
Results: We observed higher levels of IL-9 in clinical samples from SNRA patients compared to the normal group. Rat models of CIA exhibit increased arthritis scores, weight loss, paw swelling, and severe joint damage. IL-9 was the most sensitive serum marker for the diagnosis of RA in serum assays of CIA rats. IL-9 increased arthritis scores and cartilage damage, whereas treatment with IL-9 inhibitors produced the opposite effect. IL-9 inhibitors promoted Treg/Th17 homeostasis, decreased M1 macrophages, increased M2 macrophages, and decreased levels of inflammatory cytokines in joint tissues.

Conclusions: These results suggest that IL-9 has potential as a diagnostic marker for SNRA. Inhibition of IL-9 could reduce the severity of arthritis in CIA rats by ameliorating inflammation and modulating the Treg/Th17 immune balance, M2 and M1 macrophage activation.

Abstract Image

Abstract Image

Abstract Image

以血清标志物白细胞介素 9 为靶标,可改善类风湿性关节炎的基本特征和免疫稳态。
导言:类风湿因子(RF)和抗瓜氨酸肽抗体(ACPA)是诊断类风湿性关节炎(RA)的血清学标志物,类风湿性关节炎是一种以关节炎症性损伤为特征的自身免疫性疾病。然而,有一部分 RA 患者的 RF 和 ACPA 检测结果均为阴性,被称为血清阴性类风湿性关节炎(SNRA):对临床样本和 II 型胶原诱导的 RA(CIA)大鼠模型的血清标志物水平进行了检测。使用重组大鼠 IL-9(rrIL-9)、抗大鼠 IL-9 中和单克隆抗体(mAb)和对照 IgG 抗体研究了白细胞介素 9(IL-9)对 CIA 大鼠 RA 的影响。对关节炎的严重程度进行了评估。对Treg和Th17细胞、M1和M2巨噬细胞以及炎性细胞因子水平进行了分析:结果:与正常组相比,我们在 SNRA 患者的临床样本中观察到了更高水平的 IL-9。CIA大鼠模型表现出关节炎评分增加、体重减轻、爪肿胀和严重的关节损伤。在 CIA 大鼠的血清检测中,IL-9 是诊断 RA 最敏感的血清标记物。IL-9 增加了关节炎评分和软骨损伤,而用 IL-9 抑制剂治疗则产生了相反的效果。IL-9抑制剂促进了Treg/Th17的平衡,减少了M1巨噬细胞,增加了M2巨噬细胞,并降低了关节组织中炎性细胞因子的水平:这些结果表明,IL-9 具有作为 SNRA 诊断标志物的潜力。通过改善炎症、调节 Treg/Th17 免疫平衡、M2 和 M1 巨噬细胞活化,抑制 IL-9 可减轻 CIA 大鼠关节炎的严重程度。
本文章由计算机程序翻译,如有差异,请以英文原文为准。
求助全文
约1分钟内获得全文 求助全文
来源期刊
CiteScore
3.00
自引率
0.00%
发文量
17
审稿时长
6-12 weeks
期刊介绍: Central European Journal of Immunology is a English-language quarterly aimed mainly at immunologists.
×
引用
GB/T 7714-2015
复制
MLA
复制
APA
复制
导出至
BibTeX EndNote RefMan NoteFirst NoteExpress
×
提示
您的信息不完整,为了账户安全,请先补充。
现在去补充
×
提示
您因"违规操作"
具体请查看互助需知
我知道了
×
提示
确定
请完成安全验证×
copy
已复制链接
快去分享给好友吧!
我知道了
右上角分享
点击右上角分享
0
联系我们:info@booksci.cn Book学术提供免费学术资源搜索服务,方便国内外学者检索中英文文献。致力于提供最便捷和优质的服务体验。 Copyright © 2023 布克学术 All rights reserved.
京ICP备2023020795号-1
ghs 京公网安备 11010802042870号
Book学术文献互助
Book学术文献互助群
群 号:604180095
Book学术官方微信