The diagnostic value and validation of IL-22 combimed with sCD40L in tuberculosis pleural effusion.

IF 2.7 4区 医学 Q3 IMMUNOLOGY
Yuzhen Xu, Jing Wu, Qiuju Yao, Qianqian Liu, Huaxin Chen, Bingyan Zhang, Yuanyuan Liu, Sen Wang, Lingyun Shao, Wenhong Zhang, Qinfang Ou, Yan Gao
{"title":"The diagnostic value and validation of IL-22 combimed with sCD40L in tuberculosis pleural effusion.","authors":"Yuzhen Xu, Jing Wu, Qiuju Yao, Qianqian Liu, Huaxin Chen, Bingyan Zhang, Yuanyuan Liu, Sen Wang, Lingyun Shao, Wenhong Zhang, Qinfang Ou, Yan Gao","doi":"10.1186/s12865-024-00652-w","DOIUrl":null,"url":null,"abstract":"<p><strong>Background: </strong>There is substantial evidence indicating that cytokines play a role in the immune defense against tuberculosis. This study aims to evaluate the levels of various cytokines in pleural effusion to ditinguish between tuberculosis pleurisy and malignant pleurisy.</p><p><strong>Methods: </strong>A total of 82 participants with pleural effusion were included in the training cohort, and 76 participants were included in the validation cohort. The individuals were divided into tuberculosis and malignant pleurisy groups. The concentrations of interleukin-1β (IL-1β), IL-4, IL-6, IL-10, IL-17 A, IL-17 F, IL-21, IL-22, IL-25, IL-31, IL-33, interferon-γ (IFN-γ), soluble CD40 ligand (sCD40L) and tumor necrosis factor-α (TNF-α) in pleural effusion were measured using a multiplex cytokine assay. The threshold values were calculated according to the receiver operating characteristic (ROC) curve analysis to aid in diagnosing tuberculosis pleurisy. Furthermore, the combined measure was validated in the validation cohort.</p><p><strong>Results: </strong>The levels of all 14 cytokines in pleural effusion were significantly higher in participants with tuberculosis compared to those with malignant pleurisy (all P < 0.05). The area under the curve (AUC) was ≥ 0.920 for the IL-22, sCD40L, IFN-γ, TNF-α and IL-31, which were significantly increased in tuberculous pleural effusion (TPE) compared to MPE in the training cohort. Threshold values of 95.80 pg/mL for IFN-γ, 41.80 pg/mL for IL-31, and 18.87 pg/mL for IL-22 provided ≥ 90% sensitivity and specificity in distinguishing between tuberculosis pleurisy and malignant pleurisy in the training cohort. Among these, IL-22 combined with sCD40L showed the best sensitivity and specificity (94.0% and 96.9%) for diagnosing tuberculosis pleurisy, and this finding was validated in the validation cohort.</p><p><strong>Conclusion: </strong>We demonstrated that the levels of IL-1β, IL-4, IL-6, IL-10, IL-17 A, IL-17 F, IL-21, IL-22, IL-25, IL-31, IL-33, IFN-γ, sCD40L and TNF-α in pleural effusion had significant difference between tuberculosis pleurisy and malignant pleurisy. Specifically, IL-22 ≥ 18.87 pg/mL and sCD40L ≥ 53.08 pg/mL can be clinically utilized as an efficient diagnostic strategy for distinguishing tuberculosis pleurisy from malignant pleurisy.</p>","PeriodicalId":9040,"journal":{"name":"BMC Immunology","volume":"25 1","pages":"66"},"PeriodicalIF":2.7000,"publicationDate":"2024-10-09","publicationTypes":"Journal Article","fieldsOfStudy":null,"isOpenAccess":false,"openAccessPdf":"https://www.ncbi.nlm.nih.gov/pmc/articles/PMC11463108/pdf/","citationCount":"0","resultStr":null,"platform":"Semanticscholar","paperid":null,"PeriodicalName":"BMC Immunology","FirstCategoryId":"3","ListUrlMain":"https://doi.org/10.1186/s12865-024-00652-w","RegionNum":4,"RegionCategory":"医学","ArticlePicture":[],"TitleCN":null,"AbstractTextCN":null,"PMCID":null,"EPubDate":"","PubModel":"","JCR":"Q3","JCRName":"IMMUNOLOGY","Score":null,"Total":0}
引用次数: 0

Abstract

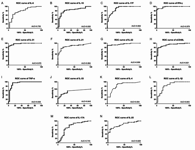
Background: There is substantial evidence indicating that cytokines play a role in the immune defense against tuberculosis. This study aims to evaluate the levels of various cytokines in pleural effusion to ditinguish between tuberculosis pleurisy and malignant pleurisy.

Methods: A total of 82 participants with pleural effusion were included in the training cohort, and 76 participants were included in the validation cohort. The individuals were divided into tuberculosis and malignant pleurisy groups. The concentrations of interleukin-1β (IL-1β), IL-4, IL-6, IL-10, IL-17 A, IL-17 F, IL-21, IL-22, IL-25, IL-31, IL-33, interferon-γ (IFN-γ), soluble CD40 ligand (sCD40L) and tumor necrosis factor-α (TNF-α) in pleural effusion were measured using a multiplex cytokine assay. The threshold values were calculated according to the receiver operating characteristic (ROC) curve analysis to aid in diagnosing tuberculosis pleurisy. Furthermore, the combined measure was validated in the validation cohort.

Results: The levels of all 14 cytokines in pleural effusion were significantly higher in participants with tuberculosis compared to those with malignant pleurisy (all P < 0.05). The area under the curve (AUC) was ≥ 0.920 for the IL-22, sCD40L, IFN-γ, TNF-α and IL-31, which were significantly increased in tuberculous pleural effusion (TPE) compared to MPE in the training cohort. Threshold values of 95.80 pg/mL for IFN-γ, 41.80 pg/mL for IL-31, and 18.87 pg/mL for IL-22 provided ≥ 90% sensitivity and specificity in distinguishing between tuberculosis pleurisy and malignant pleurisy in the training cohort. Among these, IL-22 combined with sCD40L showed the best sensitivity and specificity (94.0% and 96.9%) for diagnosing tuberculosis pleurisy, and this finding was validated in the validation cohort.

Conclusion: We demonstrated that the levels of IL-1β, IL-4, IL-6, IL-10, IL-17 A, IL-17 F, IL-21, IL-22, IL-25, IL-31, IL-33, IFN-γ, sCD40L and TNF-α in pleural effusion had significant difference between tuberculosis pleurisy and malignant pleurisy. Specifically, IL-22 ≥ 18.87 pg/mL and sCD40L ≥ 53.08 pg/mL can be clinically utilized as an efficient diagnostic strategy for distinguishing tuberculosis pleurisy from malignant pleurisy.

Abstract Image

Abstract Image

Abstract Image

IL-22 与 sCD40L 联用对结核性胸腔积液的诊断价值和验证。
背景:大量证据表明,细胞因子在结核病的免疫防御中发挥作用。本研究旨在评估胸腔积液中各种细胞因子的水平,以区分结核性胸膜炎和恶性胸膜炎:方法:共有 82 名胸腔积液患者被纳入训练队列,76 名患者被纳入验证队列。这些人被分为结核性胸膜炎组和恶性胸膜炎组。胸腔积液中白细胞介素-1β(IL-1β)、IL-4、IL-6、IL-10、IL-17 A、IL-17 F、IL-21、IL-22、IL-25、IL-31、IL-33、干扰素-γ(IFN-γ)、可溶性 CD40 配体(sCD40L)和肿瘤坏死因子-α(TNF-α)的浓度采用多重细胞因子检测法进行测定。根据接收者操作特征曲线(ROC)分析计算出阈值,以帮助诊断结核性胸膜炎。此外,还在验证组群中对综合测量方法进行了验证:结果:与恶性胸膜炎患者相比,结核病患者胸腔积液中所有 14 种细胞因子的水平都明显升高(均为 P 结论:结核病患者胸腔积液中的细胞因子水平明显高于恶性胸膜炎患者:我们发现胸腔积液中的 IL-1β、IL-4、IL-6、IL-10、IL-17 A、IL-17 F、IL-21、IL-22、IL-25、IL-31、IL-33、IFN-γ、sCD40L 和 TNF-α 在结核性胸膜炎和恶性胸膜炎之间存在显著差异。具体来说,IL-22≥18.87 pg/mL和sCD40L≥53.08 pg/mL可作为临床上区分结核性胸膜炎和恶性胸膜炎的有效诊断策略。
本文章由计算机程序翻译,如有差异,请以英文原文为准。
求助全文
约1分钟内获得全文 求助全文
来源期刊
BMC Immunology
BMC Immunology 医学-免疫学
CiteScore
5.50
自引率
0.00%
发文量
54
审稿时长
1 months
期刊介绍: BMC Immunology is an open access journal publishing original peer-reviewed research articles in molecular, cellular, tissue-level, organismal, functional, and developmental aspects of the immune system as well as clinical studies and animal models of human diseases.
×
引用
GB/T 7714-2015
复制
MLA
复制
APA
复制
导出至
BibTeX EndNote RefMan NoteFirst NoteExpress
×
提示
您的信息不完整,为了账户安全,请先补充。
现在去补充
×
提示
您因"违规操作"
具体请查看互助需知
我知道了
×
提示
确定
请完成安全验证×
copy
已复制链接
快去分享给好友吧!
我知道了
右上角分享
点击右上角分享
0
联系我们:info@booksci.cn Book学术提供免费学术资源搜索服务,方便国内外学者检索中英文文献。致力于提供最便捷和优质的服务体验。 Copyright © 2023 布克学术 All rights reserved.
京ICP备2023020795号-1
ghs 京公网安备 11010802042870号
Book学术文献互助
Book学术文献互助群
群 号:604180095
Book学术官方微信