Bone Marrow and Peripheral Blood Mononuclear Cell Phenotype Changes after Cultivation and Autologous Infusion in Patients with Primary Biliary Cholangitis.

IF 1.5 Q2 MEDICINE, GENERAL & INTERNAL
Dana Saipiyeva, Manarbek Askarov, Nazanin Jafari, Rano Zhankina, Paul R Heath, Larissa Kozina, Alyona Boltanova, Ardak Omarbekov, Nurbek Ilyassov, Turlybek Tuganbekov, Nadiar M Mussin, Asset A Kaliyev, Yerlan Sultangereyev, Farhad Rahmanifar, Mahdi Mahdipour, Shabnam Bakhshalizadeh, Reza Shirazi, Nader Tanideh, Amin Tamadon
{"title":"Bone Marrow and Peripheral Blood Mononuclear Cell Phenotype Changes after Cultivation and Autologous Infusion in Patients with Primary Biliary Cholangitis.","authors":"Dana Saipiyeva, Manarbek Askarov, Nazanin Jafari, Rano Zhankina, Paul R Heath, Larissa Kozina, Alyona Boltanova, Ardak Omarbekov, Nurbek Ilyassov, Turlybek Tuganbekov, Nadiar M Mussin, Asset A Kaliyev, Yerlan Sultangereyev, Farhad Rahmanifar, Mahdi Mahdipour, Shabnam Bakhshalizadeh, Reza Shirazi, Nader Tanideh, Amin Tamadon","doi":"10.30476/ijms.2023.99613.3172","DOIUrl":null,"url":null,"abstract":"<p><strong>Background: </strong>Primary biliary cholangitis (PBC) is a condition affecting the liver and immune system. In this study, the impact of autologous bone marrow-derived mononuclear cell (BM-MNC) transplantation on PBC patients was investigated.</p><p><strong>Methods: </strong>Sixteen eligible PBC patients participated at the National Scientific Medical Center in Astana, Kazakhstan, between 2017 and 2022, and BM-MNCs were harvested from their anterior iliac crest. After isolating and cultivating the BM-MNCs, they were infused back into the patient's peripheral veins. Changes in BM-MNC and peripheral blood mononuclear cell (PB-MNC) phenotypes were assessed before and after a 24-hour cultivation period and 72 hours post-transplantation. We monitored liver function parameters over 6-month intervals and conducted flow cytometry analysis to assess CD markers on BM-MNCs before and after cultivation and PB-MNCs before and after transplantation. Statistical analysis included the Friedman test for liver parameters and the Wilcoxon signed-rank test for BM-MNC and PB-MNC comparisons.</p><p><strong>Results: </strong>Our findings revealed significant reductions in liver function tests after multiple transplantations. Flow cytometry analysis before and after a 24-hour culture and autologous BM-MNC infusion revealed the expansion of specific cell populations, with significant increases in CD3+, CD4+, CD16+, CD20+, CD25+, CD34+, CD105+, CD73+, СD117+, and CD34+populations, while CD4+25+, CD34+105+, and CD4+FOXP3+ populations decreased. Interestingly, a contradictory finding was observed with a decrease in bone marrow CD34+105+ cell lines (P=0.03) alongside an increase in peripheral CD34+105+ population (P=0.03).</p><p><strong>Conclusion: </strong>In summary, our study shows that BM-MNC transplantation in PBC patients leads to changes in immune cell populations and liver function. These findings suggest potential therapeutic applications of BM-MNC transplantation in managing PBC and offer insights into the dynamics of immune cells associated with this treatment approach.</p>","PeriodicalId":14510,"journal":{"name":"Iranian Journal of Medical Sciences","volume":"49 9","pages":"559-572"},"PeriodicalIF":1.5000,"publicationDate":"2024-09-01","publicationTypes":"Journal Article","fieldsOfStudy":null,"isOpenAccess":false,"openAccessPdf":"https://www.ncbi.nlm.nih.gov/pmc/articles/PMC11452589/pdf/","citationCount":"0","resultStr":null,"platform":"Semanticscholar","paperid":null,"PeriodicalName":"Iranian Journal of Medical Sciences","FirstCategoryId":"1085","ListUrlMain":"https://doi.org/10.30476/ijms.2023.99613.3172","RegionNum":0,"RegionCategory":null,"ArticlePicture":[],"TitleCN":null,"AbstractTextCN":null,"PMCID":null,"EPubDate":"","PubModel":"","JCR":"Q2","JCRName":"MEDICINE, GENERAL & INTERNAL","Score":null,"Total":0}
引用次数: 0

Abstract

Background: Primary biliary cholangitis (PBC) is a condition affecting the liver and immune system. In this study, the impact of autologous bone marrow-derived mononuclear cell (BM-MNC) transplantation on PBC patients was investigated.

Methods: Sixteen eligible PBC patients participated at the National Scientific Medical Center in Astana, Kazakhstan, between 2017 and 2022, and BM-MNCs were harvested from their anterior iliac crest. After isolating and cultivating the BM-MNCs, they were infused back into the patient's peripheral veins. Changes in BM-MNC and peripheral blood mononuclear cell (PB-MNC) phenotypes were assessed before and after a 24-hour cultivation period and 72 hours post-transplantation. We monitored liver function parameters over 6-month intervals and conducted flow cytometry analysis to assess CD markers on BM-MNCs before and after cultivation and PB-MNCs before and after transplantation. Statistical analysis included the Friedman test for liver parameters and the Wilcoxon signed-rank test for BM-MNC and PB-MNC comparisons.

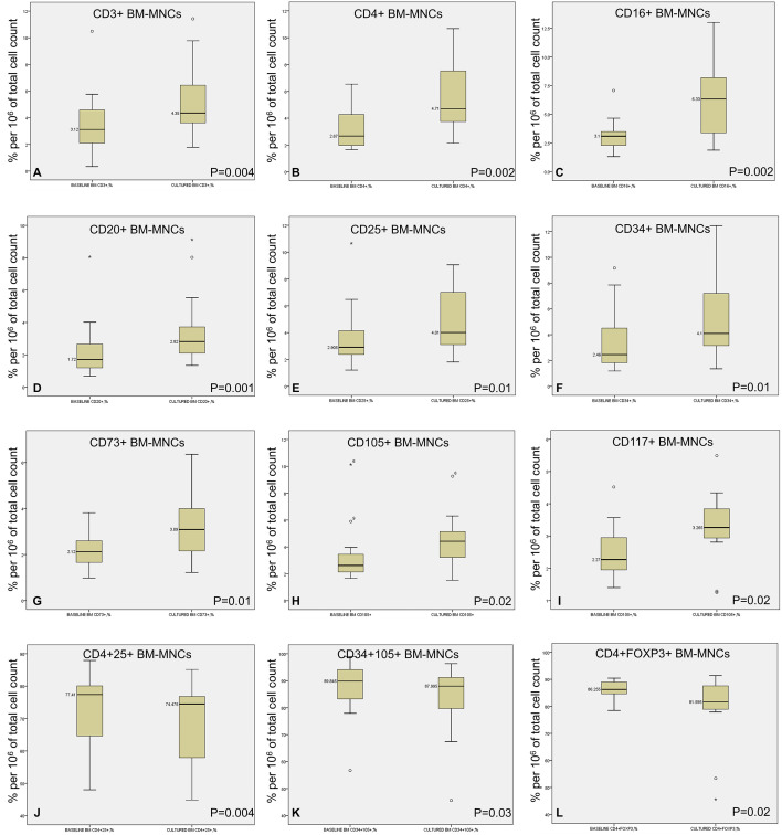
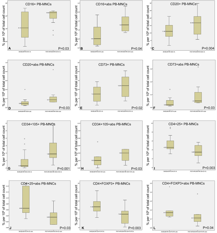
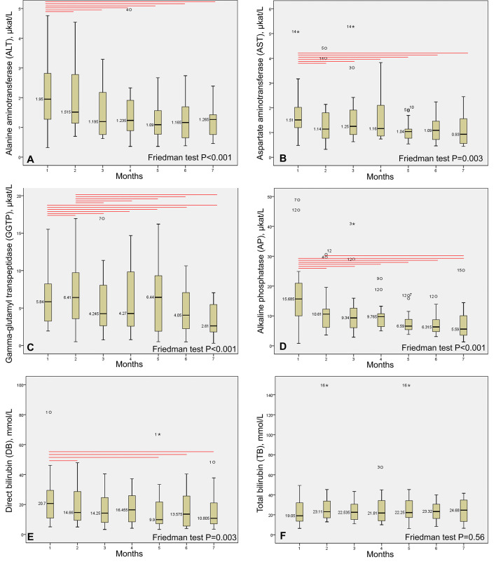
Results: Our findings revealed significant reductions in liver function tests after multiple transplantations. Flow cytometry analysis before and after a 24-hour culture and autologous BM-MNC infusion revealed the expansion of specific cell populations, with significant increases in CD3+, CD4+, CD16+, CD20+, CD25+, CD34+, CD105+, CD73+, СD117+, and CD34+populations, while CD4+25+, CD34+105+, and CD4+FOXP3+ populations decreased. Interestingly, a contradictory finding was observed with a decrease in bone marrow CD34+105+ cell lines (P=0.03) alongside an increase in peripheral CD34+105+ population (P=0.03).

Conclusion: In summary, our study shows that BM-MNC transplantation in PBC patients leads to changes in immune cell populations and liver function. These findings suggest potential therapeutic applications of BM-MNC transplantation in managing PBC and offer insights into the dynamics of immune cells associated with this treatment approach.

Abstract Image

Abstract Image

Abstract Image

原发性胆汁性胆管炎患者培养和自体输注后骨髓和外周血单核细胞表型的变化
背景:原发性胆汁性胆管炎(PBC)是一种影响肝脏和免疫系统的疾病。本研究调查了自体骨髓单核细胞(BM-MNC)移植对PBC患者的影响:16名符合条件的PBC患者于2017年至2022年期间在哈萨克斯坦阿斯塔纳国家科学医疗中心参与了该研究,并从他们的髂前嵴处获取了BM-MNC。分离和培养BM-MNCs后,将其回输到患者的外周静脉。在24小时培养期前后和移植后72小时评估BM-MNC和外周血单核细胞(PB-MNC)表型的变化。我们在6个月的间隔期内监测肝功能参数,并进行流式细胞术分析,以评估培养前后的BM-MNC和移植前后的PB-MNC上的CD标记物。统计分析包括肝脏参数的弗里德曼检验和BM-MNC与PB-MNC比较的Wilcoxon符号秩检验:结果:我们的研究结果表明,多次移植后肝功能检测指标明显降低。24小时培养和自体BM-MNC输注前后的流式细胞术分析显示,特定细胞群扩大,CD3+、CD4+、CD16+、CD20+、CD25+、CD34+、CD105+、CD73+、СD117+和CD34+细胞群显著增加,而CD4+25+、CD34+105+和CD4+FOXP3+细胞群减少。有趣的是,骨髓 CD34+105+ 细胞系的减少(P=0.03)与外周 CD34+105+ 细胞系的增加(P=0.03)形成了矛盾:总之,我们的研究表明,PBC 患者移植 BM-MNC 会导致免疫细胞群和肝功能发生变化。这些发现表明,BM-MNC 移植在治疗 PBC 中具有潜在的治疗应用价值,并为了解与这种治疗方法相关的免疫细胞动态提供了见解。
本文章由计算机程序翻译,如有差异,请以英文原文为准。
求助全文
约1分钟内获得全文 求助全文
来源期刊
Iranian Journal of Medical Sciences
Iranian Journal of Medical Sciences MEDICINE, GENERAL & INTERNAL-
CiteScore
3.20
自引率
0.00%
发文量
84
审稿时长
12 weeks
期刊介绍: The Iranian Journal of Medical Sciences (IJMS) is an international quarterly biomedical publication, which is sponsored by Shiraz University of Medical Sciences. The IJMS intends to provide a scientific medium of com­muni­cation for researchers throughout the globe. The journal welcomes original clinical articles as well as clinically oriented basic science re­search experiences on prevalent diseases in the region and analysis of various regional problems.
×
引用
GB/T 7714-2015
复制
MLA
复制
APA
复制
导出至
BibTeX EndNote RefMan NoteFirst NoteExpress
×
提示
您的信息不完整,为了账户安全,请先补充。
现在去补充
×
提示
您因"违规操作"
具体请查看互助需知
我知道了
×
提示
确定
请完成安全验证×
copy
已复制链接
快去分享给好友吧!
我知道了
右上角分享
点击右上角分享
0
联系我们:info@booksci.cn Book学术提供免费学术资源搜索服务,方便国内外学者检索中英文文献。致力于提供最便捷和优质的服务体验。 Copyright © 2023 布克学术 All rights reserved.
京ICP备2023020795号-1
ghs 京公网安备 11010802042870号
Book学术文献互助
Book学术文献互助群
群 号:604180095
Book学术官方微信