Online eurythmy therapy for cancer-related fatigue: a prospective repeated-measures observational study exploring fatigue, stress, and mindfulness.

IF 2.9 3区 医学 Q2 BEHAVIORAL SCIENCES
Frontiers in Integrative Neuroscience Pub Date : 2024-09-19 eCollection Date: 2024-01-01 DOI:10.3389/fnint.2024.1472562
Eliane Timm, Yobina Melanie Ko, Theodor Hundhammer, Ilana Berlowitz, Ursula Wolf
{"title":"Online eurythmy therapy for cancer-related fatigue: a prospective repeated-measures observational study exploring fatigue, stress, and mindfulness.","authors":"Eliane Timm, Yobina Melanie Ko, Theodor Hundhammer, Ilana Berlowitz, Ursula Wolf","doi":"10.3389/fnint.2024.1472562","DOIUrl":null,"url":null,"abstract":"<p><strong>Introduction: </strong>Cancer is a debilitating disease with an often chronic course. One of the most taxing and prevalent sequelae in this context is cancer-related fatigue (CRF) resulting from the disease and/or associated treatments. Over the last years mindfulness-based interventions such as eurythmy therapy (ERYT), a mindful-movement therapy from anthroposophic medicine, have emerged as promising adjunct therapies in oncology. This prospective study investigated an online implementation of ERYT for CRF using a single arm repeated-measures design based on two consecutive studies.</p><p><strong>Method: </strong>Study 1 consisted of an initial assessment before, during, after, and at follow up of a 6-week online ERYT-based program in a mixed sample of <i>N</i> = 165 adults with or without cancer diagnosis. Study 2 involved a similar design with an adapted 8-week online ERYT-based program in a sample of <i>N</i> = 125 adults who had been diagnosed with cancer. Outcomes were assessed using the Functional Assessment of Chronic Illness Therapy-Fatigue, Perceived Stress Scale, Mindful Attention Awareness Scale, and Insomnia Severity Index (for Study 1 all, for Study 2 only the former three). We additionally performed an exploratory analysis regarding practice frequency and duration. Data were analyzed using Linear Mixed-Effect Models per outcome; ANOVA was used for practice times.</p><p><strong>Results: </strong>For Study 1, mixed-effects model estimates showed no significant effect on fatigue, but pointed to significantly improved emotional and physical well-being, reduced stress, as well as increased mindfulness (mixed subjects). Functional and social well-being or sleep quality did not change significantly. Study 2 model estimates on the other hand showed significantly improved CRF in conjunction with the ERYT-based online intervention, as well as improved stress and mindfulness scores (cancer-diagnosed subjects).</p><p><strong>Conclusion: </strong>Taken together, while our results should be interpreted with caution given the single-arm design and relatively high dropout, they suggest online ERYT may be associated with a reduction in fatigue for individuals diagnosed with cancer, an increase in mindfulness, and benefits for stress and certain well-being indicators. The online group format is advantageous in view of affordability and accessibility, the latter being particularly relevant for individuals who due to high symptom severity cannot leave their homes. Randomized-controlled studies will be needed to confirm these findings.</p>","PeriodicalId":56016,"journal":{"name":"Frontiers in Integrative Neuroscience","volume":"18 ","pages":"1472562"},"PeriodicalIF":2.9000,"publicationDate":"2024-09-19","publicationTypes":"Journal Article","fieldsOfStudy":null,"isOpenAccess":false,"openAccessPdf":"https://www.ncbi.nlm.nih.gov/pmc/articles/PMC11447702/pdf/","citationCount":"0","resultStr":null,"platform":"Semanticscholar","paperid":null,"PeriodicalName":"Frontiers in Integrative Neuroscience","FirstCategoryId":"3","ListUrlMain":"https://doi.org/10.3389/fnint.2024.1472562","RegionNum":3,"RegionCategory":"医学","ArticlePicture":[],"TitleCN":null,"AbstractTextCN":null,"PMCID":null,"EPubDate":"2024/1/1 0:00:00","PubModel":"eCollection","JCR":"Q2","JCRName":"BEHAVIORAL SCIENCES","Score":null,"Total":0}
引用次数: 0

Abstract

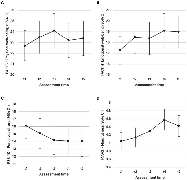
Introduction: Cancer is a debilitating disease with an often chronic course. One of the most taxing and prevalent sequelae in this context is cancer-related fatigue (CRF) resulting from the disease and/or associated treatments. Over the last years mindfulness-based interventions such as eurythmy therapy (ERYT), a mindful-movement therapy from anthroposophic medicine, have emerged as promising adjunct therapies in oncology. This prospective study investigated an online implementation of ERYT for CRF using a single arm repeated-measures design based on two consecutive studies.

Method: Study 1 consisted of an initial assessment before, during, after, and at follow up of a 6-week online ERYT-based program in a mixed sample of N = 165 adults with or without cancer diagnosis. Study 2 involved a similar design with an adapted 8-week online ERYT-based program in a sample of N = 125 adults who had been diagnosed with cancer. Outcomes were assessed using the Functional Assessment of Chronic Illness Therapy-Fatigue, Perceived Stress Scale, Mindful Attention Awareness Scale, and Insomnia Severity Index (for Study 1 all, for Study 2 only the former three). We additionally performed an exploratory analysis regarding practice frequency and duration. Data were analyzed using Linear Mixed-Effect Models per outcome; ANOVA was used for practice times.

Results: For Study 1, mixed-effects model estimates showed no significant effect on fatigue, but pointed to significantly improved emotional and physical well-being, reduced stress, as well as increased mindfulness (mixed subjects). Functional and social well-being or sleep quality did not change significantly. Study 2 model estimates on the other hand showed significantly improved CRF in conjunction with the ERYT-based online intervention, as well as improved stress and mindfulness scores (cancer-diagnosed subjects).

Conclusion: Taken together, while our results should be interpreted with caution given the single-arm design and relatively high dropout, they suggest online ERYT may be associated with a reduction in fatigue for individuals diagnosed with cancer, an increase in mindfulness, and benefits for stress and certain well-being indicators. The online group format is advantageous in view of affordability and accessibility, the latter being particularly relevant for individuals who due to high symptom severity cannot leave their homes. Randomized-controlled studies will be needed to confirm these findings.

Abstract Image

Abstract Image

Abstract Image

治疗癌症相关疲劳的在线极乐疗法:探索疲劳、压力和正念的前瞻性重复测量观察研究。
导言癌症是一种使人衰弱的疾病,通常呈慢性病程。在这种情况下,癌症和/或相关治疗导致的癌症相关疲劳(CRF)是最严重、最普遍的后遗症之一。在过去的几年里,以正念为基础的干预措施,如源自人类医学的正念运动疗法--极乐治疗法(ERYT),已成为肿瘤学领域前景广阔的辅助疗法。这项前瞻性研究在两项连续研究的基础上,采用单臂重复测量设计,对在线实施极乐治疗法治疗 CRF 进行了调查:研究 1 包括在为期 6 周的在线 ERYT 计划实施前、实施期间、实施后和随访期间对 N = 165 名确诊或未确诊癌症的成人进行初步评估。研究 2 采用了类似的设计,对 N = 125 名确诊癌症的成人样本进行了为期 8 周的 ERYT 在线课程调整。研究结果通过慢性疾病治疗功能评估--疲劳、感知压力量表、正念注意力意识量表和失眠严重程度指数进行评估(研究1为全部,研究2仅为前三项)。此外,我们还对练习频率和持续时间进行了探索性分析。每个结果的数据均采用线性混合效应模型进行分析;练习时间采用方差分析:在研究 1 中,混合效应模型估计结果显示对疲劳没有显著影响,但情绪和身体健康明显改善,压力减少,正念增强(混合受试者)。功能和社会福祉或睡眠质量没有明显变化。另一方面,研究 2 的模型估算结果显示,结合基于 ERYT 的在线干预,CRF 有了明显改善,压力和正念得分也有所提高(癌症诊断对象):综上所述,虽然我们的研究结果是单臂设计,且辍学率相对较高,因此应谨慎解读,但这些结果表明,在线ERYT可能与减少癌症患者的疲劳、提高正念、改善压力和某些幸福指标有关。在线小组的形式在可负担性和可及性方面具有优势,后者对于因症状严重而无法离家的患者尤为重要。要证实这些研究结果,还需要进行随机对照研究。
本文章由计算机程序翻译,如有差异,请以英文原文为准。
求助全文
约1分钟内获得全文 求助全文
来源期刊
Frontiers in Integrative Neuroscience
Frontiers in Integrative Neuroscience Neuroscience-Cellular and Molecular Neuroscience
CiteScore
4.60
自引率
2.90%
发文量
148
审稿时长
14 weeks
期刊介绍: Frontiers in Integrative Neuroscience publishes rigorously peer-reviewed research that synthesizes multiple facets of brain structure and function, to better understand how multiple diverse functions are integrated to produce complex behaviors. Led by an outstanding Editorial Board of international experts, this multidisciplinary open-access journal is at the forefront of disseminating and communicating scientific knowledge and impactful discoveries to researchers, academics, clinicians and the public worldwide. Our goal is to publish research related to furthering the understanding of the integrative mechanisms underlying brain functioning across one or more interacting levels of neural organization. In most real life experiences, sensory inputs from several modalities converge and interact in a manner that influences perception and actions generating purposeful and social behaviors. The journal is therefore focused on the primary questions of how multiple sensory, cognitive and emotional processes merge to produce coordinated complex behavior. It is questions such as this that cannot be answered at a single level – an ion channel, a neuron or a synapse – that we wish to focus on. In Frontiers in Integrative Neuroscience we welcome in vitro or in vivo investigations across the molecular, cellular, and systems and behavioral level. Research in any species and at any stage of development and aging that are focused at understanding integration mechanisms underlying emergent properties of the brain and behavior are welcome.
×
引用
GB/T 7714-2015
复制
MLA
复制
APA
复制
导出至
BibTeX EndNote RefMan NoteFirst NoteExpress
×
提示
您的信息不完整,为了账户安全,请先补充。
现在去补充
×
提示
您因"违规操作"
具体请查看互助需知
我知道了
×
提示
确定
请完成安全验证×
copy
已复制链接
快去分享给好友吧!
我知道了
右上角分享
点击右上角分享
0
联系我们:info@booksci.cn Book学术提供免费学术资源搜索服务,方便国内外学者检索中英文文献。致力于提供最便捷和优质的服务体验。 Copyright © 2023 布克学术 All rights reserved.
京ICP备2023020795号-1
ghs 京公网安备 11010802042870号
Book学术文献互助
Book学术文献互助群
群 号:604180095
Book学术官方微信