Predictors of the efficacy of vedolizumab in patients with ulcerative colitis.

IF 0.9 4区 医学 Q4 MEDICINE, RESEARCH & EXPERIMENTAL
Go Kajikawa, Tsunaki Sawada, Masanao Nakamura, Takeshi Yamamura, Keiko Maeda, Eri Ishikawa, Kota Uetsuki, Takashi Hirose, Tadashi Iida, Yasuyuki Mizutani, Kentaro Yamao, Takuya Ishikawa, Kazuhiro Furukawa, Hiroki Kawashima
{"title":"Predictors of the efficacy of vedolizumab in patients with ulcerative colitis.","authors":"Go Kajikawa, Tsunaki Sawada, Masanao Nakamura, Takeshi Yamamura, Keiko Maeda, Eri Ishikawa, Kota Uetsuki, Takashi Hirose, Tadashi Iida, Yasuyuki Mizutani, Kentaro Yamao, Takuya Ishikawa, Kazuhiro Furukawa, Hiroki Kawashima","doi":"10.18999/nagjms.86.3.407","DOIUrl":null,"url":null,"abstract":"<p><p>Vedolizumab is a treatment option for ulcerative colitis but data on predictors of treatment response remain insufficient to establish personalized treatment strategies. We aimed to investigate the real-world effectiveness of vedolizumab in adult patients with ulcerative colitis and explore factors involved in predicting treatment response. This single-center, single-arm, prospective observational study included 26 patients with clinically active ulcerative colitis patients' characteristics at baseline, epidemiological information, existing treatment, clinical activity index score, endoscopic score, and blood test data were collected. Serum levels of tumor necrosis factors alpha, interferon gamma, interleukin-4, interleukin-6, interleukin-10, interleukin-17, soluble mucosal addressin cell adhesion molecule 1, and soluble vascular cell adhesion molecule 1 were measured. Patient characteristics in the remission and non-remission groups were compared based on these parameters. Clinical remission at 6 weeks of treatment occurred in 9 (35%) of the 26 patients. At 14 weeks, clinical remission was observed in 11 patients (42%). There were no significant differences pertaining to age, sex, duration of disease, extent of disease, steroid resistance, or prior treatment with biological agents among the two groups after 14 weeks of treatment. Hemoglobin ≥ 11.5 g/dL (odds ratio, 15.0; 95% confidence interval, 1.50-149; P=0.014) and soluble mucosal addressin cell adhesion molecule 1 ≥ 765 pg/mL (odds ratio, 17.3; 95% confidence interval, 2.36-127; P=0.004) were significant factors. In conclusion, hemoglobin and serum soluble mucosal addressin cell adhesion molecule 1 levels are factors correlated with the therapeutic efficacy of vedolizumab.</p>","PeriodicalId":49014,"journal":{"name":"Nagoya Journal of Medical Science","volume":"86 3","pages":"407-421"},"PeriodicalIF":0.9000,"publicationDate":"2024-08-01","publicationTypes":"Journal Article","fieldsOfStudy":null,"isOpenAccess":false,"openAccessPdf":"https://www.ncbi.nlm.nih.gov/pmc/articles/PMC11439607/pdf/","citationCount":"0","resultStr":null,"platform":"Semanticscholar","paperid":null,"PeriodicalName":"Nagoya Journal of Medical Science","FirstCategoryId":"3","ListUrlMain":"https://doi.org/10.18999/nagjms.86.3.407","RegionNum":4,"RegionCategory":"医学","ArticlePicture":[],"TitleCN":null,"AbstractTextCN":null,"PMCID":null,"EPubDate":"","PubModel":"","JCR":"Q4","JCRName":"MEDICINE, RESEARCH & EXPERIMENTAL","Score":null,"Total":0}
引用次数: 0

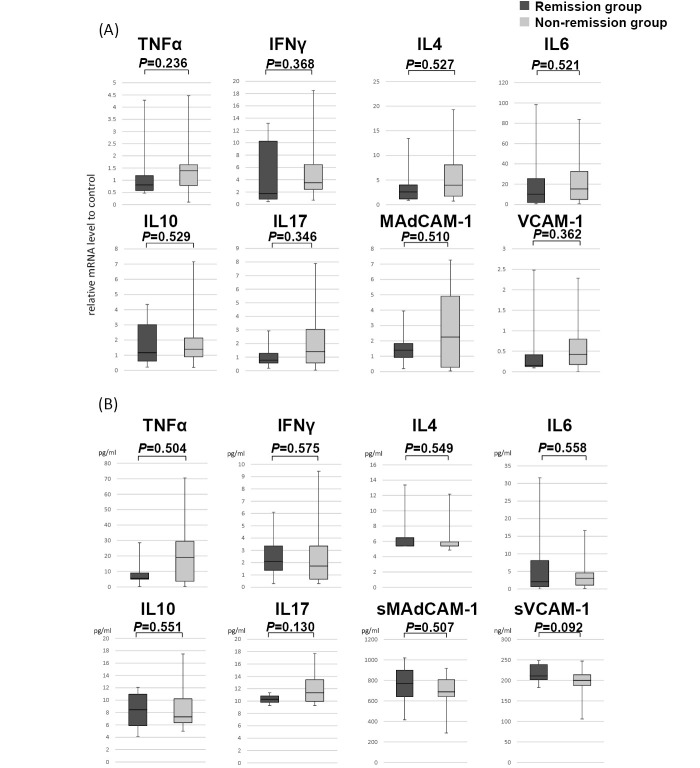
Abstract

Vedolizumab is a treatment option for ulcerative colitis but data on predictors of treatment response remain insufficient to establish personalized treatment strategies. We aimed to investigate the real-world effectiveness of vedolizumab in adult patients with ulcerative colitis and explore factors involved in predicting treatment response. This single-center, single-arm, prospective observational study included 26 patients with clinically active ulcerative colitis patients' characteristics at baseline, epidemiological information, existing treatment, clinical activity index score, endoscopic score, and blood test data were collected. Serum levels of tumor necrosis factors alpha, interferon gamma, interleukin-4, interleukin-6, interleukin-10, interleukin-17, soluble mucosal addressin cell adhesion molecule 1, and soluble vascular cell adhesion molecule 1 were measured. Patient characteristics in the remission and non-remission groups were compared based on these parameters. Clinical remission at 6 weeks of treatment occurred in 9 (35%) of the 26 patients. At 14 weeks, clinical remission was observed in 11 patients (42%). There were no significant differences pertaining to age, sex, duration of disease, extent of disease, steroid resistance, or prior treatment with biological agents among the two groups after 14 weeks of treatment. Hemoglobin ≥ 11.5 g/dL (odds ratio, 15.0; 95% confidence interval, 1.50-149; P=0.014) and soluble mucosal addressin cell adhesion molecule 1 ≥ 765 pg/mL (odds ratio, 17.3; 95% confidence interval, 2.36-127; P=0.004) were significant factors. In conclusion, hemoglobin and serum soluble mucosal addressin cell adhesion molecule 1 levels are factors correlated with the therapeutic efficacy of vedolizumab.

Abstract Image

Abstract Image

Abstract Image

韦多珠单抗对溃疡性结肠炎患者疗效的预测因素。
维多珠单抗是治疗溃疡性结肠炎的一种选择,但有关治疗反应预测因素的数据仍不足以制定个性化的治疗策略。我们旨在调查维多珠单抗在成年溃疡性结肠炎患者中的实际疗效,并探索预测治疗反应的相关因素。这项单中心、单臂、前瞻性观察研究纳入了26名临床活动性溃疡性结肠炎患者,收集了患者的基线特征、流行病学信息、现有治疗、临床活动指数评分、内镜评分和血液检测数据。测量血清中肿瘤坏死因子α、干扰素γ、白细胞介素-4、白细胞介素-6、白细胞介素-10、白细胞介素-17、可溶性粘膜地址素细胞粘附分子1和可溶性血管细胞粘附分子1的水平。根据这些参数比较缓解组和未缓解组的患者特征。26 名患者中有 9 名(35%)在治疗 6 周后出现临床缓解。治疗 14 周时,11 名患者(42%)出现临床缓解。治疗 14 周后,两组患者在年龄、性别、病程、病变范围、类固醇耐受性或之前接受生物制剂治疗方面没有明显差异。血红蛋白≥11.5 g/dL(几率比15.0;95%置信区间1.50-149;P=0.014)和可溶性粘膜地址素细胞粘附分子1≥765 pg/mL(几率比17.3;95%置信区间2.36-127;P=0.004)是重要的影响因素。总之,血红蛋白和血清可溶性粘膜地址素细胞粘附分子1水平是与维多珠单抗疗效相关的因素。
本文章由计算机程序翻译,如有差异,请以英文原文为准。
求助全文
约1分钟内获得全文 求助全文
来源期刊
Nagoya Journal of Medical Science
Nagoya Journal of Medical Science MEDICINE, RESEARCH & EXPERIMENTAL-
CiteScore
1.30
自引率
0.00%
发文量
65
审稿时长
>12 weeks
期刊介绍: The Journal publishes original papers in the areas of medical science and its related fields. Reviews, symposium reports, short communications, notes, case reports, hypothesis papers, medical image at a glance, video and announcements are also accepted. Manuscripts should be in English. It is recommended that an English check of the manuscript by a competent and knowledgeable native speaker be completed before submission.
×
引用
GB/T 7714-2015
复制
MLA
复制
APA
复制
导出至
BibTeX EndNote RefMan NoteFirst NoteExpress
×
提示
您的信息不完整,为了账户安全,请先补充。
现在去补充
×
提示
您因"违规操作"
具体请查看互助需知
我知道了
×
提示
确定
请完成安全验证×
copy
已复制链接
快去分享给好友吧!
我知道了
右上角分享
点击右上角分享
0
联系我们:info@booksci.cn Book学术提供免费学术资源搜索服务,方便国内外学者检索中英文文献。致力于提供最便捷和优质的服务体验。 Copyright © 2023 布克学术 All rights reserved.
京ICP备2023020795号-1
ghs 京公网安备 11010802042870号
Book学术文献互助
Book学术文献互助群
群 号:604180095
Book学术官方微信