Differences in sarcopenia indices in elderly Japanese women and their relationships with obesity classified according to waist circumference, BMI, and body fat percentage.

IF 2.1 4区 医学 Q1 PHYSIOLOGY
Chihiro Nishida, Motoyuki Iemitsu, Toshiyuki Kurihara, Keiko Kishigami, Motohiko Miyachi, Kiyoshi Sanada
{"title":"Differences in sarcopenia indices in elderly Japanese women and their relationships with obesity classified according to waist circumference, BMI, and body fat percentage.","authors":"Chihiro Nishida, Motoyuki Iemitsu, Toshiyuki Kurihara, Keiko Kishigami, Motohiko Miyachi, Kiyoshi Sanada","doi":"10.1186/s40101-024-00370-7","DOIUrl":null,"url":null,"abstract":"<p><strong>Background: </strong>Sarcopenic obesity (SO) is defined as a decrease in lean body mass and an increase in body fat mass (BFM) due to aging. Detecting SO in elderly women is important from the perspective of extending healthy life expectancy. While various indices of SO are currently used, there is no global consensus regarding diagnostic criteria for SO. This study aimed to examine the relationship between obesity indices (waist circumference (WC), body mass index (BMI), and body fat percentage (BFP)) and sarcopenia indices (total body muscle mass (TBM), appendicular lean mass (ALM), skeletal mass index (SMI)), and physical function (gait speed (GS), handgrip strength (HGS)).</p><p><strong>Methods: </strong>Subjects were 170 community-dwelling healthy elderly women aged 65-79 years (mean: 72.7 ± 5.78 years) who underwent measurements for WC, BMI, and BFP. A WC of ≥ 90cm was defined as the obese group, BMI was determined as weight (kg) divided by height squared (m<sup>2</sup>) and a cutoff of ≥ 25 kg/m<sup>2</sup> was used to define the obesity group. BFM was measured using the bioelectrical impedance analysis (BIA) method and BFP was calculated from body weight and a cutoff of ≥ 30% was used to define the obesity group. TBM and ALM (kg) were measured using the BIA method, ALM (kg) was corrected for height (m<sup>2</sup>) to obtain SMI (kg/m<sup>2</sup>). Physical function was assessed by GS and HGS, which were measured by the 5-m walk test and a digital grip strength meter, respectively.</p><p><strong>Results: </strong>When obesity was assessed using BMI, WC and BFP, obese individuals had higher TBM, ALM and SMI, and lower GS among the sarcopenia indicators. HGS did not differ significantly between the non-obese and obese groups.</p><p><strong>Conclusion: </strong>Our findings suggest HGS is thought to reflect muscle strength without being affected by obesity indices, suggesting that it may be useful in detecting possible sarcopenia in obese individuals.</p>","PeriodicalId":48730,"journal":{"name":"Journal of Physiological Anthropology","volume":"43 1","pages":"22"},"PeriodicalIF":2.1000,"publicationDate":"2024-10-01","publicationTypes":"Journal Article","fieldsOfStudy":null,"isOpenAccess":false,"openAccessPdf":"https://www.ncbi.nlm.nih.gov/pmc/articles/PMC11446072/pdf/","citationCount":"0","resultStr":null,"platform":"Semanticscholar","paperid":null,"PeriodicalName":"Journal of Physiological Anthropology","FirstCategoryId":"3","ListUrlMain":"https://doi.org/10.1186/s40101-024-00370-7","RegionNum":4,"RegionCategory":"医学","ArticlePicture":[],"TitleCN":null,"AbstractTextCN":null,"PMCID":null,"EPubDate":"","PubModel":"","JCR":"Q1","JCRName":"PHYSIOLOGY","Score":null,"Total":0}
引用次数: 0

Abstract

Background: Sarcopenic obesity (SO) is defined as a decrease in lean body mass and an increase in body fat mass (BFM) due to aging. Detecting SO in elderly women is important from the perspective of extending healthy life expectancy. While various indices of SO are currently used, there is no global consensus regarding diagnostic criteria for SO. This study aimed to examine the relationship between obesity indices (waist circumference (WC), body mass index (BMI), and body fat percentage (BFP)) and sarcopenia indices (total body muscle mass (TBM), appendicular lean mass (ALM), skeletal mass index (SMI)), and physical function (gait speed (GS), handgrip strength (HGS)).

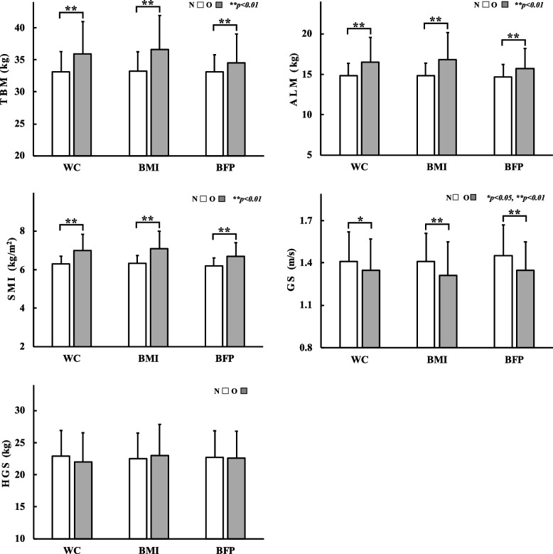
Methods: Subjects were 170 community-dwelling healthy elderly women aged 65-79 years (mean: 72.7 ± 5.78 years) who underwent measurements for WC, BMI, and BFP. A WC of ≥ 90cm was defined as the obese group, BMI was determined as weight (kg) divided by height squared (m2) and a cutoff of ≥ 25 kg/m2 was used to define the obesity group. BFM was measured using the bioelectrical impedance analysis (BIA) method and BFP was calculated from body weight and a cutoff of ≥ 30% was used to define the obesity group. TBM and ALM (kg) were measured using the BIA method, ALM (kg) was corrected for height (m2) to obtain SMI (kg/m2). Physical function was assessed by GS and HGS, which were measured by the 5-m walk test and a digital grip strength meter, respectively.

Results: When obesity was assessed using BMI, WC and BFP, obese individuals had higher TBM, ALM and SMI, and lower GS among the sarcopenia indicators. HGS did not differ significantly between the non-obese and obese groups.

Conclusion: Our findings suggest HGS is thought to reflect muscle strength without being affected by obesity indices, suggesting that it may be useful in detecting possible sarcopenia in obese individuals.

Abstract Image

日本老年妇女肌肉疏松症指数的差异及其与按腰围、体重指数和体脂百分比分类的肥胖症的关系。
背景:肌肉松弛性肥胖(Sarcopenic obesity,SO)是指由于衰老导致的瘦体重减少和体脂肪量(BFM)增加。从延长健康预期寿命的角度来看,在老年妇女中检测出 Sarcopenic 肥胖症非常重要。虽然目前使用了各种 SO 指数,但全球对 SO 的诊断标准尚未达成共识。本研究旨在探讨肥胖指数(腰围 (WC)、体重指数 (BMI) 和体脂率 (BFP))和肌肉疏松指数(全身肌肉质量 (TBM)、关节瘦肉质量 (ALM)、骨骼质量指数 (SMI))与身体功能(步态速度 (GS)、手握力 (HGS))之间的关系:受试者为 170 名居住在社区的健康老年妇女,年龄在 65-79 岁之间(平均:72.7 ± 5.78 岁),她们接受了腹围、体重指数和体重指数的测量。WC≥90cm定义为肥胖组,BMI以体重(kg)除以身高平方(m2)计算,以≥25 kg/m2为肥胖组的临界值。BFM 采用生物电阻抗分析法(BIA)测量,BFP 根据体重计算,以≥ 30% 为临界值界定肥胖组。采用生物电阻抗分析法测量 TBM 和 ALM(千克),ALM(千克)根据身高(平方米)进行校正,得出 SMI(千克/平方米)。身体功能由 GS 和 HGS 评估,分别由 5 米步行测试和数字握力计测量:结果:当使用体重指数、腹围和体重指数评估肥胖情况时,肥胖者的肌肉疏松症指标中,TBM、ALM 和 SMI 较高,而 GS 较低。HGS在非肥胖组和肥胖组之间没有明显差异:我们的研究结果表明,HGS 被认为能反映肌肉强度,而不受肥胖指数的影响,这表明它可用于检测肥胖者可能存在的肌肉疏松症。
本文章由计算机程序翻译,如有差异,请以英文原文为准。
求助全文
约1分钟内获得全文 求助全文
来源期刊
自引率
6.50%
发文量
39
期刊介绍: Journal of Physiological Anthropology (JPA) is an open access, peer-reviewed journal that publishes research on the physiological functions of modern mankind, with an emphasis on the physical and bio-cultural effects on human adaptability to the current environment. The objective of JPA is to evaluate physiological adaptations to modern living environments, and to publish research from different scientific fields concerned with environmental impact on human life. Topic areas include, but are not limited to: environmental physiology bio-cultural environment living environment epigenetic adaptation development and growth age and sex differences nutrition and morphology physical fitness and health Journal of Physiological Anthropology is the official journal of the Japan Society of Physiological Anthropology.
×
引用
GB/T 7714-2015
复制
MLA
复制
APA
复制
导出至
BibTeX EndNote RefMan NoteFirst NoteExpress
×
提示
您的信息不完整,为了账户安全,请先补充。
现在去补充
×
提示
您因"违规操作"
具体请查看互助需知
我知道了
×
提示
确定
请完成安全验证×
copy
已复制链接
快去分享给好友吧!
我知道了
右上角分享
点击右上角分享
0
联系我们:info@booksci.cn Book学术提供免费学术资源搜索服务,方便国内外学者检索中英文文献。致力于提供最便捷和优质的服务体验。 Copyright © 2023 布克学术 All rights reserved.
京ICP备2023020795号-1
ghs 京公网安备 11010802042870号
Book学术文献互助
Book学术文献互助群
群 号:604180095
Book学术官方微信