Analysis of Serum Bile Acid Profile Characteristics and Identification of New Biomarkers in Lean Metabolic Dysfunction-Associated Fatty Liver Disease Based on LC-MS/MS.

IF 3 Q3 ENDOCRINOLOGY & METABOLISM
Bing Wang, Fei Zhang, Hong Qiu, Yujie He, Haotian Shi, Yuerong Zhu
{"title":"Analysis of Serum Bile Acid Profile Characteristics and Identification of New Biomarkers in Lean Metabolic Dysfunction-Associated Fatty Liver Disease Based on LC-MS/MS.","authors":"Bing Wang, Fei Zhang, Hong Qiu, Yujie He, Haotian Shi, Yuerong Zhu","doi":"10.1177/11795514241282253","DOIUrl":null,"url":null,"abstract":"<p><strong>Objectives: </strong>Plasma bile acid (BA) has been widely studied as pathophysiological factors in chronic liver disease. But the changes of plasma BA level in lean metabolic dysfunction-associated fatty liver disease (MAFLD) remains unclear. Here, we clarified the BA metabolic characteristics of lean MAFLD and explored its significance and mechanism as a marker.</p><p><strong>Methods: </strong>We employed ultra-performance liquid chromatography tandem mass spectrometry based on BA metabonomics to characterize circulating bile acid in lean MAFLD patients. Explore its significance as serum biomarkers by further cluster analysis, functional enrichment analysis, and serum concentration change analysis of differential BAs. Evaluation of diagnostic value of differential BAs by ROC analysis.</p><p><strong>Results: </strong>A total of 65 BAs were detected and 17 BAs were identified which showed different expression in the lean-MAFLD group compared with the normal group. Functional annotation and enrichment analysis of KEGG and HMDB showed that differential BAs were mainly related to bile acid biosynthesis, bile secretion, cholesterol metabolism, and familial hypercholangitis, involving diseases including but not limited to cirrhosis, hepatocellular carcinoma, chronic active hepatitis, colorectal cancer, acute liver failure, and portal vein obstruction. ROC analysis displayed that the 6 BA metabolites (GCDCA-3S, GUDCA-3S, CDCA-3S, NCA, TCDCA, and HDCA) exhibited well differential diagnostic ability in discriminating between lean MAFLD patients and normal individuals with an area under the curve (AUC) ⩾0.85.</p><p><strong>Conclusions: </strong>We delineated the characteristics of BA level in patients with lean MAFLD, and identified 6 potential plasma BA biomarkers of lean MAFLD.</p>","PeriodicalId":44715,"journal":{"name":"Clinical Medicine Insights-Endocrinology and Diabetes","volume":"17 ","pages":"11795514241282253"},"PeriodicalIF":3.0000,"publicationDate":"2024-09-22","publicationTypes":"Journal Article","fieldsOfStudy":null,"isOpenAccess":false,"openAccessPdf":"https://www.ncbi.nlm.nih.gov/pmc/articles/PMC11425727/pdf/","citationCount":"0","resultStr":null,"platform":"Semanticscholar","paperid":null,"PeriodicalName":"Clinical Medicine Insights-Endocrinology and Diabetes","FirstCategoryId":"1085","ListUrlMain":"https://doi.org/10.1177/11795514241282253","RegionNum":0,"RegionCategory":null,"ArticlePicture":[],"TitleCN":null,"AbstractTextCN":null,"PMCID":null,"EPubDate":"2024/1/1 0:00:00","PubModel":"eCollection","JCR":"Q3","JCRName":"ENDOCRINOLOGY & METABOLISM","Score":null,"Total":0}
引用次数: 0

Abstract

Objectives: Plasma bile acid (BA) has been widely studied as pathophysiological factors in chronic liver disease. But the changes of plasma BA level in lean metabolic dysfunction-associated fatty liver disease (MAFLD) remains unclear. Here, we clarified the BA metabolic characteristics of lean MAFLD and explored its significance and mechanism as a marker.

Methods: We employed ultra-performance liquid chromatography tandem mass spectrometry based on BA metabonomics to characterize circulating bile acid in lean MAFLD patients. Explore its significance as serum biomarkers by further cluster analysis, functional enrichment analysis, and serum concentration change analysis of differential BAs. Evaluation of diagnostic value of differential BAs by ROC analysis.

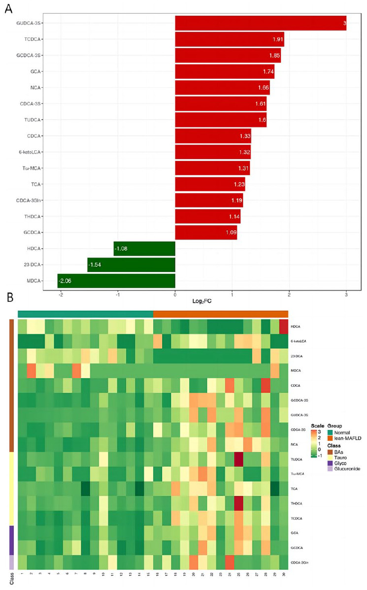
Results: A total of 65 BAs were detected and 17 BAs were identified which showed different expression in the lean-MAFLD group compared with the normal group. Functional annotation and enrichment analysis of KEGG and HMDB showed that differential BAs were mainly related to bile acid biosynthesis, bile secretion, cholesterol metabolism, and familial hypercholangitis, involving diseases including but not limited to cirrhosis, hepatocellular carcinoma, chronic active hepatitis, colorectal cancer, acute liver failure, and portal vein obstruction. ROC analysis displayed that the 6 BA metabolites (GCDCA-3S, GUDCA-3S, CDCA-3S, NCA, TCDCA, and HDCA) exhibited well differential diagnostic ability in discriminating between lean MAFLD patients and normal individuals with an area under the curve (AUC) ⩾0.85.

Conclusions: We delineated the characteristics of BA level in patients with lean MAFLD, and identified 6 potential plasma BA biomarkers of lean MAFLD.

Abstract Image

Abstract Image

Abstract Image

基于LC-MS/MS的瘦代谢功能障碍相关性脂肪肝血清胆汁酸谱特征分析及新生物标记物的鉴定
研究目的血浆胆汁酸(BA)作为慢性肝病的病理生理因素已被广泛研究。但瘦代谢功能障碍相关性脂肪肝(MAFLD)中血浆胆汁酸水平的变化仍不清楚。在此,我们阐明了瘦型代谢功能障碍相关性脂肪肝的 BA 代谢特征,并探讨了其作为标志物的意义和机制:方法:我们采用基于胆汁酸代谢组学的超高效液相色谱串联质谱法来描述瘦型 MAFLD 患者循环胆汁酸的特征。通过进一步的聚类分析、功能富集分析和不同胆汁酸的血清浓度变化分析,探讨其作为血清生物标志物的意义。通过 ROC 分析评估差异 BA 的诊断价值:结果:共检测到 65 个 BAs,发现 17 个 BAs 在瘦-MAFLD 组与正常组中有不同的表达。KEGG和HMDB的功能注释和富集分析表明,差异BAs主要与胆汁酸生物合成、胆汁分泌、胆固醇代谢和家族性高胆管炎有关,涉及的疾病包括但不限于肝硬化、肝细胞癌、慢性活动性肝炎、结直肠癌、急性肝衰竭和门静脉阻塞。ROC分析显示,6种BA代谢物(GCDCA-3S、GUDCA-3S、CDCA-3S、NCA、TCDCA和HDCA)在鉴别瘦弱的MAFLD患者和正常人方面表现出良好的鉴别诊断能力,曲线下面积(AUC)⩾0.85:我们描述了瘦型 MAFLD 患者 BA 水平的特征,并确定了 6 种潜在的瘦型 MAFLD 血浆 BA 生物标志物。
本文章由计算机程序翻译,如有差异,请以英文原文为准。
求助全文
约1分钟内获得全文 求助全文
来源期刊
CiteScore
4.30
自引率
0.00%
发文量
15
审稿时长
8 weeks
×
引用
GB/T 7714-2015
复制
MLA
复制
APA
复制
导出至
BibTeX EndNote RefMan NoteFirst NoteExpress
×
提示
您的信息不完整,为了账户安全,请先补充。
现在去补充
×
提示
您因"违规操作"
具体请查看互助需知
我知道了
×
提示
确定
请完成安全验证×
copy
已复制链接
快去分享给好友吧!
我知道了
右上角分享
点击右上角分享
0
联系我们:info@booksci.cn Book学术提供免费学术资源搜索服务,方便国内外学者检索中英文文献。致力于提供最便捷和优质的服务体验。 Copyright © 2023 布克学术 All rights reserved.
京ICP备2023020795号-1
ghs 京公网安备 11010802042870号
Book学术文献互助
Book学术文献互助群
群 号:604180095
Book学术官方微信