Effects of Random Feeding Schedule on Pacing in Asiatic Lions (Panthera leo persicus).

IF 1.4 4区 生物学 Q3 VETERINARY SCIENCES
Zoo Biology Pub Date : 2024-11-01 Epub Date: 2024-09-30 DOI:10.1002/zoo.21857
Leonie Fitskie, Jeroen Kappelhof, Filipe Cunha
{"title":"Effects of Random Feeding Schedule on Pacing in Asiatic Lions (Panthera leo persicus).","authors":"Leonie Fitskie, Jeroen Kappelhof, Filipe Cunha","doi":"10.1002/zoo.21857","DOIUrl":null,"url":null,"abstract":"<p><p>For large felids in the wild, intervals between feeding events are irregular since these depend on prey availability and individual hunting success. In contrast, many zoos feed their large felids on fixed schedules. Predictable feeding schedules could induce food anticipatory behavior, like pacing, and randomizing feeding schedules may reduce this anticipatory behavior. Furthermore, random feeding schedules create more variability in the animals environment, which may reduce frustration or boredom. This case study aimed to investigate the effects of a random feeding schedule on pacing behavior of captive Asiatic lions (Panthera leo persica) in the Rotterdam Zoo, The Netherlands. Study animals were observed directly under two treatments: \"fixed feeding\" (i.e., two fixed feeding days per week) and \"random feeding\" (i.e., two semi-randomly picked feeding days per week). Under the random feeding schedule, the mean pacing proportion of lions significantly decreased compared to the fixed feeding schedule. These findings suggest that a random feeding schedule could reduce pacing, either of anticipatory or stereotypic nature, in Asiatic lions. Random feeding schedules do pose a few logistic challenges, such as zookeeper schedules and transport or storage of feed. Nevertheless, random feeding could be a relatively inexpensive strategy to reduce pacing.</p>","PeriodicalId":24035,"journal":{"name":"Zoo Biology","volume":" ","pages":"590-594"},"PeriodicalIF":1.4000,"publicationDate":"2024-11-01","publicationTypes":"Journal Article","fieldsOfStudy":null,"isOpenAccess":false,"openAccessPdf":"https://www.ncbi.nlm.nih.gov/pmc/articles/PMC11624625/pdf/","citationCount":"0","resultStr":null,"platform":"Semanticscholar","paperid":null,"PeriodicalName":"Zoo Biology","FirstCategoryId":"99","ListUrlMain":"https://doi.org/10.1002/zoo.21857","RegionNum":4,"RegionCategory":"生物学","ArticlePicture":[],"TitleCN":null,"AbstractTextCN":null,"PMCID":null,"EPubDate":"2024/9/30 0:00:00","PubModel":"Epub","JCR":"Q3","JCRName":"VETERINARY SCIENCES","Score":null,"Total":0}
引用次数: 0

Abstract

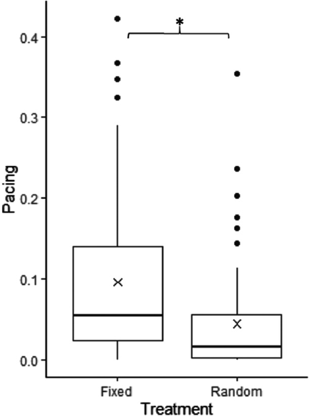
For large felids in the wild, intervals between feeding events are irregular since these depend on prey availability and individual hunting success. In contrast, many zoos feed their large felids on fixed schedules. Predictable feeding schedules could induce food anticipatory behavior, like pacing, and randomizing feeding schedules may reduce this anticipatory behavior. Furthermore, random feeding schedules create more variability in the animals environment, which may reduce frustration or boredom. This case study aimed to investigate the effects of a random feeding schedule on pacing behavior of captive Asiatic lions (Panthera leo persica) in the Rotterdam Zoo, The Netherlands. Study animals were observed directly under two treatments: "fixed feeding" (i.e., two fixed feeding days per week) and "random feeding" (i.e., two semi-randomly picked feeding days per week). Under the random feeding schedule, the mean pacing proportion of lions significantly decreased compared to the fixed feeding schedule. These findings suggest that a random feeding schedule could reduce pacing, either of anticipatory or stereotypic nature, in Asiatic lions. Random feeding schedules do pose a few logistic challenges, such as zookeeper schedules and transport or storage of feed. Nevertheless, random feeding could be a relatively inexpensive strategy to reduce pacing.

Abstract Image

Abstract Image

随机喂食计划对亚洲狮(Panthera leo persicus)踱步的影响
对于野外的大型猫科动物来说,喂食的间隔时间是不固定的,因为这取决于猎物的可获得性和个体的狩猎成功率。相反,许多动物园都按照固定的时间表喂养大型猫科动物。可预测的喂食时间表可能会诱发食物期待行为,如踱步,而随机喂食时间表可能会减少这种期待行为。此外,随机喂食时间安排会使动物所处的环境更加多变,从而减少挫折感或无聊感。本案例研究旨在调查随机喂食计划对荷兰鹿特丹动物园圈养亚洲狮(Panthera leo persica)踱步行为的影响。研究动物在两种处理方式下直接接受观察:"固定喂食"(即每周两个固定喂食日)和 "随机喂食"(即每周两个半随机喂食日)。与固定喂食法相比,随机喂食法下狮子的平均踱步比例明显降低。这些研究结果表明,随机喂食计划可以减少亚洲狮的步态,无论是预期性步态还是刻板性步态。随机喂食确实会带来一些后勤方面的挑战,例如动物园管理员的时间安排、饲料的运输或储存。尽管如此,随机喂食仍不失为一种成本相对较低的减少步态的策略。
本文章由计算机程序翻译,如有差异,请以英文原文为准。
求助全文
约1分钟内获得全文 求助全文
来源期刊
Zoo Biology
Zoo Biology 生物-动物学
CiteScore
2.50
自引率
15.40%
发文量
85
审稿时长
6-12 weeks
期刊介绍: Zoo Biology is concerned with reproduction, demographics, genetics, behavior, medicine, husbandry, nutrition, conservation and all empirical aspects of the exhibition and maintenance of wild animals in wildlife parks, zoos, and aquariums. This diverse journal offers a forum for effectively communicating scientific findings, original ideas, and critical thinking related to the role of wildlife collections and their unique contribution to conservation.
×
引用
GB/T 7714-2015
复制
MLA
复制
APA
复制
导出至
BibTeX EndNote RefMan NoteFirst NoteExpress
×
提示
您的信息不完整,为了账户安全,请先补充。
现在去补充
×
提示
您因"违规操作"
具体请查看互助需知
我知道了
×
提示
确定
请完成安全验证×
copy
已复制链接
快去分享给好友吧!
我知道了
右上角分享
点击右上角分享
0
联系我们:info@booksci.cn Book学术提供免费学术资源搜索服务,方便国内外学者检索中英文文献。致力于提供最便捷和优质的服务体验。 Copyright © 2023 布克学术 All rights reserved.
京ICP备2023020795号-1
ghs 京公网安备 11010802042870号
Book学术文献互助
Book学术文献互助群
群 号:604180095
Book学术官方微信