Association between upper limb muscle quality and knee osteoarthritis in dynapenia: an observational cross-sectional study.

IF 1.7 4区 医学 Q3 NUTRITION & DIETETICS
Journal of Clinical Biochemistry and Nutrition Pub Date : 2024-09-01 Epub Date: 2024-05-08 DOI:10.3164/jcbn.24-58
Takahiro Kishimoto, Hidenori Onishi, Hiromasa Tsubouchi, Yasutaka Mizukami, Masafumi Kubota, Ryouko Ikeda, Naohiro Konoshita, Tokuharu Tanaka, Koji Kobayashi, Hiroyuki Hayashi, Osamu Yamamura
{"title":"Association between upper limb muscle quality and knee osteoarthritis in dynapenia: an observational cross-sectional study.","authors":"Takahiro Kishimoto, Hidenori Onishi, Hiromasa Tsubouchi, Yasutaka Mizukami, Masafumi Kubota, Ryouko Ikeda, Naohiro Konoshita, Tokuharu Tanaka, Koji Kobayashi, Hiroyuki Hayashi, Osamu Yamamura","doi":"10.3164/jcbn.24-58","DOIUrl":null,"url":null,"abstract":"<p><p>Neurological and skeletal muscle properties are suggested causes of dynapenia. This study aimed to evaluate the relationship between upper limb muscle quality (grip strength/upper extremity muscle mass) and knee osteoarthritis in dynapenia, and to identify dynapenia-associated factors. Elderly individuals who responded to a public call for screening in Wakasa Town, Fukui Prefecture between June 2019 and November 2021 were included. The analysis included 433 participants (304 women aged 76.0 ± 7.1 years). Examination comprised (consecutively) a basic interview, physical function measurement, body composition measurement, and explanation of results. Dynapenia was observed in 67 patients. Binomial logistic regression analysis revealed that age, upper limb muscle quality score, and knee osteoarthritis were independent factors for dynapenia. Receiver operating characteristic analysis of the relationship between dynapenia and upper limb muscle quality showed an area under the curve of 0.806 (95% confidence interval: 0.658-0.953) for men (cut-off value, 14.3 kg/kg) and 0.849 for women (95% confidence interval: 0.858-0.968; cut-off value, 14.0 kg/kg). In conclusion, age, upper limb muscle quality, and knee osteoarthritis were independent factors of dynapenia. We demonstrated that upper limb muscle quality has good accuracy in detecting dynapenia in both men and women.</p>","PeriodicalId":15429,"journal":{"name":"Journal of Clinical Biochemistry and Nutrition","volume":"75 2","pages":"145-152"},"PeriodicalIF":1.7000,"publicationDate":"2024-09-01","publicationTypes":"Journal Article","fieldsOfStudy":null,"isOpenAccess":false,"openAccessPdf":"https://www.ncbi.nlm.nih.gov/pmc/articles/PMC11425073/pdf/","citationCount":"0","resultStr":null,"platform":"Semanticscholar","paperid":null,"PeriodicalName":"Journal of Clinical Biochemistry and Nutrition","FirstCategoryId":"3","ListUrlMain":"https://doi.org/10.3164/jcbn.24-58","RegionNum":4,"RegionCategory":"医学","ArticlePicture":[],"TitleCN":null,"AbstractTextCN":null,"PMCID":null,"EPubDate":"2024/5/8 0:00:00","PubModel":"Epub","JCR":"Q3","JCRName":"NUTRITION & DIETETICS","Score":null,"Total":0}
引用次数: 0

Abstract

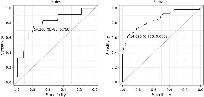
Neurological and skeletal muscle properties are suggested causes of dynapenia. This study aimed to evaluate the relationship between upper limb muscle quality (grip strength/upper extremity muscle mass) and knee osteoarthritis in dynapenia, and to identify dynapenia-associated factors. Elderly individuals who responded to a public call for screening in Wakasa Town, Fukui Prefecture between June 2019 and November 2021 were included. The analysis included 433 participants (304 women aged 76.0 ± 7.1 years). Examination comprised (consecutively) a basic interview, physical function measurement, body composition measurement, and explanation of results. Dynapenia was observed in 67 patients. Binomial logistic regression analysis revealed that age, upper limb muscle quality score, and knee osteoarthritis were independent factors for dynapenia. Receiver operating characteristic analysis of the relationship between dynapenia and upper limb muscle quality showed an area under the curve of 0.806 (95% confidence interval: 0.658-0.953) for men (cut-off value, 14.3 kg/kg) and 0.849 for women (95% confidence interval: 0.858-0.968; cut-off value, 14.0 kg/kg). In conclusion, age, upper limb muscle quality, and knee osteoarthritis were independent factors of dynapenia. We demonstrated that upper limb muscle quality has good accuracy in detecting dynapenia in both men and women.

Abstract Image

达达尼尼亚人上肢肌肉质量与膝关节骨关节炎之间的关系:一项观察性横断面研究。
神经系统和骨骼肌特性是导致动态关节炎的原因。本研究旨在评估动态关节炎患者的上肢肌肉质量(握力/上肢肌肉质量)与膝关节骨关节炎之间的关系,并找出动态关节炎的相关因素。研究对象包括在 2019 年 6 月至 2021 年 11 月期间响应福井县若狭町公众号召进行筛查的老年人。分析包括 433 名参与者(304 名女性,年龄为 76.0 ± 7.1 岁)。检查包括(连续的)基本面谈、身体机能测量、身体成分测量和结果解释。在 67 名患者中观察到了动态肌无力症。二项式逻辑回归分析显示,年龄、上肢肌肉质量评分和膝关节骨关节炎是导致动态关节炎的独立因素。动态关节炎与上肢肌肉质量之间关系的接收器操作特征分析显示,男性的曲线下面积为 0.806(95% 置信区间:0.658-0.953)(临界值为 14.3 千克/千克),女性的曲线下面积为 0.849(95% 置信区间:0.858-0.968;临界值为 14.0 千克/千克)。总之,年龄、上肢肌肉质量和膝关节骨关节炎是导致动态关节炎的独立因素。我们证明,上肢肌肉质量在检测男性和女性的动能不足症方面都有很好的准确性。
本文章由计算机程序翻译,如有差异,请以英文原文为准。
求助全文
约1分钟内获得全文 求助全文
来源期刊
CiteScore
4.30
自引率
8.30%
发文量
57
审稿时长
6-12 weeks
期刊介绍: Journal of Clinical Biochemistry and Nutrition (JCBN) is an international, interdisciplinary publication encompassing chemical, biochemical, physiological, pathological, toxicological and medical approaches to research on lipid peroxidation, free radicals, oxidative stress and nutrition. The Journal welcomes original contributions dealing with all aspects of clinical biochemistry and clinical nutrition including both in vitro and in vivo studies.
×
引用
GB/T 7714-2015
复制
MLA
复制
APA
复制
导出至
BibTeX EndNote RefMan NoteFirst NoteExpress
×
提示
您的信息不完整,为了账户安全,请先补充。
现在去补充
×
提示
您因"违规操作"
具体请查看互助需知
我知道了
×
提示
确定
请完成安全验证×
copy
已复制链接
快去分享给好友吧!
我知道了
右上角分享
点击右上角分享
0
联系我们:info@booksci.cn Book学术提供免费学术资源搜索服务,方便国内外学者检索中英文文献。致力于提供最便捷和优质的服务体验。 Copyright © 2023 布克学术 All rights reserved.
京ICP备2023020795号-1
ghs 京公网安备 11010802042870号
Book学术文献互助
Book学术文献互助群
群 号:604180095
Book学术官方微信