Relationship between short-term exposure to sulfur dioxide and emergency ambulance dispatches due to cardiovascular disease.

IF 3.8 Q2 ENVIRONMENTAL SCIENCES
Environmental Epidemiology Pub Date : 2024-09-24 eCollection Date: 2024-10-01 DOI:10.1097/EE9.0000000000000341
Xuerui Bai, Hongying Qu, Zebing Ye, Ruoting Wang, Guanhao He, Zhongguo Huang, Zhiying Jiang, Changfa Zhang, Shuai Li, Guowei Li
{"title":"Relationship between short-term exposure to sulfur dioxide and emergency ambulance dispatches due to cardiovascular disease.","authors":"Xuerui Bai, Hongying Qu, Zebing Ye, Ruoting Wang, Guanhao He, Zhongguo Huang, Zhiying Jiang, Changfa Zhang, Shuai Li, Guowei Li","doi":"10.1097/EE9.0000000000000341","DOIUrl":null,"url":null,"abstract":"<p><strong>Background: </strong>The relationship between sulfur dioxide (SO<sub>2</sub>) and cardiovascular disease (CVD) remains inconclusive. We aimed to clarify the association between short-term exposure to SO<sub>2</sub> and emergency ambulance dispatches (EADs) due to CVD.</p><p><strong>Methods: </strong>We collected daily data on the number of EADs due to CVD, air pollutants, and meteorological factors between October 2013 and June 2018 in Guangzhou, China. We used the quasi-Poisson generalized additive model combined with a distributed lag nonlinear model to estimate the short-term effect of SO<sub>2</sub> on EADs due to CVD in multivariable models. Subgroup and sensitivity analyses were also performed.</p><p><strong>Results: </strong>A total of 37,889 EADs due to CVD were documented during the study period. The average daily SO<sub>2</sub> concentration was 12.5 μg/m<sup>3</sup>. A significant relationship between SO<sub>2</sub> and EADs due to CVD was found, with a relative risk of 1.04 (95% confidence interval: 1.02, 1.06) with each 10 μg/m<sup>3</sup> increment of SO<sub>2</sub> at lag 0-1<sub>.</sub> The relationship was stronger in males, for participants aged ≥65 years, and in the cold season; however, no significant modification by subgroup was found in the association between SO<sub>2</sub> and EADs due to CVD. Similar results from sensitivity analyses to the main findings were observed.</p><p><strong>Conclusions: </strong>Short-term exposure to SO<sub>2</sub> was significantly associated with increased EADs due to CVD.</p>","PeriodicalId":11713,"journal":{"name":"Environmental Epidemiology","volume":"8 5","pages":"e341"},"PeriodicalIF":3.8000,"publicationDate":"2024-09-24","publicationTypes":"Journal Article","fieldsOfStudy":null,"isOpenAccess":false,"openAccessPdf":"https://www.ncbi.nlm.nih.gov/pmc/articles/PMC11424135/pdf/","citationCount":"0","resultStr":null,"platform":"Semanticscholar","paperid":null,"PeriodicalName":"Environmental Epidemiology","FirstCategoryId":"1085","ListUrlMain":"https://doi.org/10.1097/EE9.0000000000000341","RegionNum":0,"RegionCategory":null,"ArticlePicture":[],"TitleCN":null,"AbstractTextCN":null,"PMCID":null,"EPubDate":"2024/10/1 0:00:00","PubModel":"eCollection","JCR":"Q2","JCRName":"ENVIRONMENTAL SCIENCES","Score":null,"Total":0}
引用次数: 0

Abstract

Background: The relationship between sulfur dioxide (SO2) and cardiovascular disease (CVD) remains inconclusive. We aimed to clarify the association between short-term exposure to SO2 and emergency ambulance dispatches (EADs) due to CVD.

Methods: We collected daily data on the number of EADs due to CVD, air pollutants, and meteorological factors between October 2013 and June 2018 in Guangzhou, China. We used the quasi-Poisson generalized additive model combined with a distributed lag nonlinear model to estimate the short-term effect of SO2 on EADs due to CVD in multivariable models. Subgroup and sensitivity analyses were also performed.

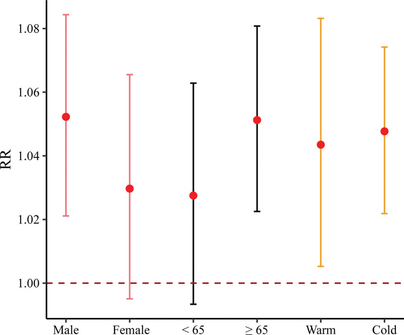
Results: A total of 37,889 EADs due to CVD were documented during the study period. The average daily SO2 concentration was 12.5 μg/m3. A significant relationship between SO2 and EADs due to CVD was found, with a relative risk of 1.04 (95% confidence interval: 1.02, 1.06) with each 10 μg/m3 increment of SO2 at lag 0-1. The relationship was stronger in males, for participants aged ≥65 years, and in the cold season; however, no significant modification by subgroup was found in the association between SO2 and EADs due to CVD. Similar results from sensitivity analyses to the main findings were observed.

Conclusions: Short-term exposure to SO2 was significantly associated with increased EADs due to CVD.

Abstract Image

Abstract Image

Abstract Image

短期暴露于二氧化硫与心血管疾病导致的紧急救护车调度之间的关系。
背景:二氧化硫(SO2)与心血管疾病(CVD)之间的关系仍无定论。我们的目的是澄清二氧化硫短期暴露与心血管疾病导致的紧急救护车派遣(EADs)之间的关系:我们收集了2013年10月至2018年6月期间中国广州市因心血管疾病、空气污染物和气象因素导致的EADs数量的每日数据。我们采用准泊松广义加法模型结合分布滞后非线性模型,在多变量模型中估算二氧化硫对心血管疾病所致EAD的短期影响。研究还进行了分组分析和敏感性分析:研究期间共记录了 37,889 例心血管疾病导致的 EAD。二氧化硫的日平均浓度为 12.5 μg/m3。研究发现,二氧化硫与心血管疾病导致的急性呼吸衰竭之间存在明显关系,在滞后 0-1 期,二氧化硫每增加 10 μg/m3 ,相对风险为 1.04(95% 置信区间:1.02,1.06)。这种关系在男性、年龄≥65 岁的参与者和寒冷季节更为明显;然而,在二氧化硫与心血管疾病导致的 EADs 之间的关系中,没有发现亚组的显著变化。敏感性分析结果与主要研究结果相似:结论:短期暴露于二氧化硫与心血管疾病导致的急性心血管疾病发生率增加有显著相关性。
本文章由计算机程序翻译,如有差异,请以英文原文为准。
求助全文
约1分钟内获得全文 求助全文
来源期刊
Environmental Epidemiology
Environmental Epidemiology Medicine-Public Health, Environmental and Occupational Health
CiteScore
5.70
自引率
2.80%
发文量
71
审稿时长
25 weeks
×
引用
GB/T 7714-2015
复制
MLA
复制
APA
复制
导出至
BibTeX EndNote RefMan NoteFirst NoteExpress
×
提示
您的信息不完整,为了账户安全,请先补充。
现在去补充
×
提示
您因"违规操作"
具体请查看互助需知
我知道了
×
提示
确定
请完成安全验证×
copy
已复制链接
快去分享给好友吧!
我知道了
右上角分享
点击右上角分享
0
联系我们:info@booksci.cn Book学术提供免费学术资源搜索服务,方便国内外学者检索中英文文献。致力于提供最便捷和优质的服务体验。 Copyright © 2023 布克学术 All rights reserved.
京ICP备2023020795号-1
ghs 京公网安备 11010802042870号
Book学术文献互助
Book学术文献互助群
群 号:604180095
Book学术官方微信