Evaluation of the Disk Diffusion Test for Bacteroides fragilis Group Clinical Isolates.

IF 3.9 2区 医学 Q1 MEDICAL LABORATORY TECHNOLOGY
Annals of Laboratory Medicine Pub Date : 2025-01-01 Epub Date: 2024-09-30 DOI:10.3343/alm.2024.0159
Yangsoon Lee, Mi-Hyun Bae, Hyukmin Lee, Myungsook Kim, Kyungwon Lee
{"title":"Evaluation of the Disk Diffusion Test for <i>Bacteroides fragilis</i> Group Clinical Isolates.","authors":"Yangsoon Lee, Mi-Hyun Bae, Hyukmin Lee, Myungsook Kim, Kyungwon Lee","doi":"10.3343/alm.2024.0159","DOIUrl":null,"url":null,"abstract":"<p><strong>Background: </strong><i>Bacteroides fragilis</i> group (BFG) isolates are the most frequently isolated gram-negative anaerobic bacteria and exhibit higher levels of antimicrobial resistance than other anaerobic bacteria. Reliable susceptibility testing is needed because of reports of resistance to the most active antibiotics. Recently, the European Committee on Antimicrobial Susceptibility Testing (EUCAST) introduced disk zone diameter breakpoints. We evaluated the disk diffusion test (DDT) for susceptibility testing of BFG isolates compared with the agar dilution method.</p><p><strong>Methods: </strong>In total, 150 BFG isolates were collected from three institutes in Korea. The agar dilution method was conducted according to the CLSI guidelines. DDT was performed following the EUCAST guideline. Fastidious anaerobe agar supplemented with 5% defibrinated horse blood was used as the culture medium. Nine antimicrobials were evaluated: penicillin, cefoxitin, cefotetan, imipenem, meropenem, piperacillin-tazobactam, clindamycin, moxifloxacin, and metronidazole.</p><p><strong>Results: </strong>The categorical agreement (CA) between the two methods was >90.0% for imipenem, meropenem, clindamycin, and metronidazole. However, the CA for piperacillintazobactam was low, at 83.2%. Major errors were found: 5.4% for imipenem, 7.4% for meropenem, and 12.8% for piperacillin-tazobactam. All minor errors were <10%. We propose using the area of technical uncertainty (ATU) zone-overlapping area for susceptible and resistant strains to reduce errors in the DDT. Outside the ATU, the CAs of cefoxitin, cefotetan, and piperacillin-tazobactam were >90.0%, whereas that of moxifloxacin was increased to 88.5%.</p><p><strong>Conclusions: </strong>The DDT can be a useful alternative antimicrobial susceptibility test for BFG isolates when using the ATU zone to reduce errors.</p>","PeriodicalId":8421,"journal":{"name":"Annals of Laboratory Medicine","volume":" ","pages":"70-76"},"PeriodicalIF":3.9000,"publicationDate":"2025-01-01","publicationTypes":"Journal Article","fieldsOfStudy":null,"isOpenAccess":false,"openAccessPdf":"https://www.ncbi.nlm.nih.gov/pmc/articles/PMC11609709/pdf/","citationCount":"0","resultStr":null,"platform":"Semanticscholar","paperid":null,"PeriodicalName":"Annals of Laboratory Medicine","FirstCategoryId":"3","ListUrlMain":"https://doi.org/10.3343/alm.2024.0159","RegionNum":2,"RegionCategory":"医学","ArticlePicture":[],"TitleCN":null,"AbstractTextCN":null,"PMCID":null,"EPubDate":"2024/9/30 0:00:00","PubModel":"Epub","JCR":"Q1","JCRName":"MEDICAL LABORATORY TECHNOLOGY","Score":null,"Total":0}
引用次数: 0

Abstract

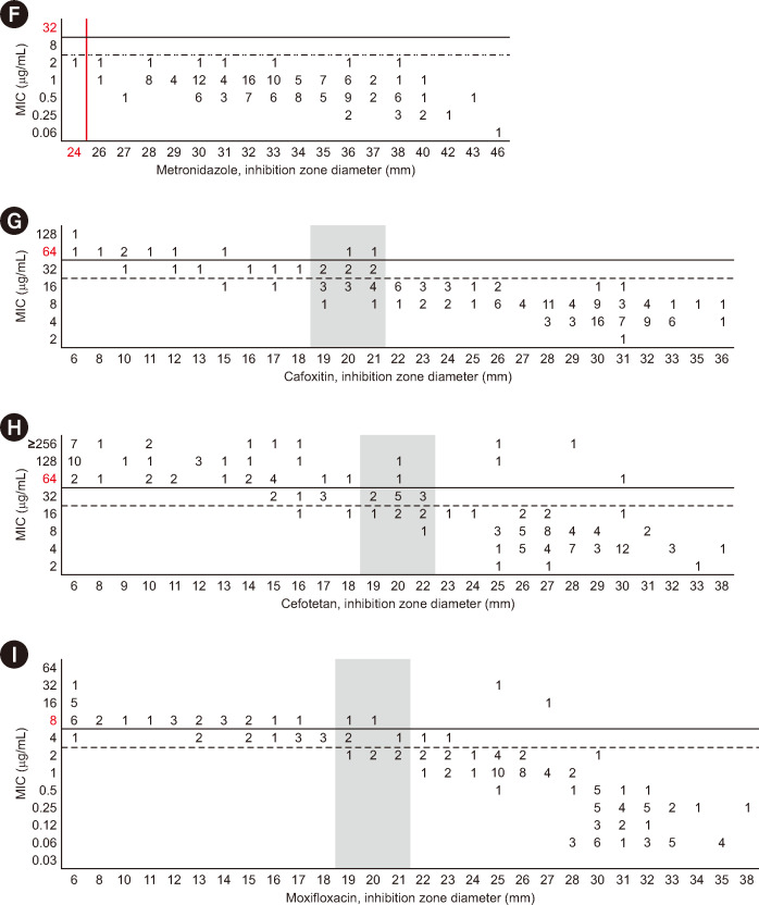
Background: Bacteroides fragilis group (BFG) isolates are the most frequently isolated gram-negative anaerobic bacteria and exhibit higher levels of antimicrobial resistance than other anaerobic bacteria. Reliable susceptibility testing is needed because of reports of resistance to the most active antibiotics. Recently, the European Committee on Antimicrobial Susceptibility Testing (EUCAST) introduced disk zone diameter breakpoints. We evaluated the disk diffusion test (DDT) for susceptibility testing of BFG isolates compared with the agar dilution method.

Methods: In total, 150 BFG isolates were collected from three institutes in Korea. The agar dilution method was conducted according to the CLSI guidelines. DDT was performed following the EUCAST guideline. Fastidious anaerobe agar supplemented with 5% defibrinated horse blood was used as the culture medium. Nine antimicrobials were evaluated: penicillin, cefoxitin, cefotetan, imipenem, meropenem, piperacillin-tazobactam, clindamycin, moxifloxacin, and metronidazole.

Results: The categorical agreement (CA) between the two methods was >90.0% for imipenem, meropenem, clindamycin, and metronidazole. However, the CA for piperacillintazobactam was low, at 83.2%. Major errors were found: 5.4% for imipenem, 7.4% for meropenem, and 12.8% for piperacillin-tazobactam. All minor errors were <10%. We propose using the area of technical uncertainty (ATU) zone-overlapping area for susceptible and resistant strains to reduce errors in the DDT. Outside the ATU, the CAs of cefoxitin, cefotetan, and piperacillin-tazobactam were >90.0%, whereas that of moxifloxacin was increased to 88.5%.

Conclusions: The DDT can be a useful alternative antimicrobial susceptibility test for BFG isolates when using the ATU zone to reduce errors.

Abstract Image

Abstract Image

对脆弱拟杆菌群临床分离菌的盘扩散试验进行评估。
背景:脆弱拟杆菌属(BFG)分离菌是最常分离到的革兰氏阴性厌氧菌,与其他厌氧菌相比具有更高的抗菌药耐药性。由于存在对最有效抗生素产生耐药性的报告,因此需要进行可靠的药敏试验。最近,欧洲抗菌药物敏感性检测委员会(EUCAST)引入了盘区直径断点。与琼脂稀释法相比,我们评估了用于 BFG 分离物药敏试验的磁盘扩散试验(DDT):方法:我们从韩国的三个机构共收集了 150 株 BFG 分离物。琼脂稀释法根据 CLSI 指南进行。DDT按照EUCAST指南进行。培养基为添加了 5%去纤维马血的快速厌氧菌琼脂。评估了九种抗菌药物:青霉素、头孢西丁、头孢替坦、亚胺培南、美罗培南、哌拉西林-他唑巴坦、克林霉素、莫西沙星和甲硝唑:对于亚胺培南、美罗培南、克林霉素和甲硝唑,两种方法的分类一致性(CA)大于 90.0%。然而,哌拉西林他唑巴坦的 CA 值较低,仅为 83.2%。发现的主要错误有:亚胺培南 5.4%、美罗培南 7.4%、哌拉西林-他唑巴坦 12.8%。所有轻微错误率为 90.0%,而莫西沙星的轻微错误率上升至 88.5%:结论:在使用 ATU 区时,DDT 可以作为 BFG 分离物抗菌药物敏感性检测的有效替代方法,以减少误差。
本文章由计算机程序翻译,如有差异,请以英文原文为准。
求助全文
约1分钟内获得全文 求助全文
来源期刊
Annals of Laboratory Medicine
Annals of Laboratory Medicine MEDICAL LABORATORY TECHNOLOGY-
CiteScore
8.30
自引率
12.20%
发文量
100
审稿时长
6-12 weeks
期刊介绍: Annals of Laboratory Medicine is the official journal of Korean Society for Laboratory Medicine. The journal title has been recently changed from the Korean Journal of Laboratory Medicine (ISSN, 1598-6535) from the January issue of 2012. The JCR 2017 Impact factor of Ann Lab Med was 1.916.
×
引用
GB/T 7714-2015
复制
MLA
复制
APA
复制
导出至
BibTeX EndNote RefMan NoteFirst NoteExpress
×
提示
您的信息不完整,为了账户安全,请先补充。
现在去补充
×
提示
您因"违规操作"
具体请查看互助需知
我知道了
×
提示
确定
请完成安全验证×
copy
已复制链接
快去分享给好友吧!
我知道了
右上角分享
点击右上角分享
0
联系我们:info@booksci.cn Book学术提供免费学术资源搜索服务,方便国内外学者检索中英文文献。致力于提供最便捷和优质的服务体验。 Copyright © 2023 布克学术 All rights reserved.
京ICP备2023020795号-1
ghs 京公网安备 11010802042870号
Book学术文献互助
Book学术文献互助群
群 号:604180095
Book学术官方微信