Water-Soluble Vitamins Stability by Robust Liquid Chromatography-Mass Spectrometry.

IF 2.9 3区 医学 Q2 ENDOCRINOLOGY & METABOLISM
Annals of Nutrition and Metabolism Pub Date : 2025-01-01 Epub Date: 2024-09-30 DOI:10.1159/000541587
Wei Luo, Danchen Wang, Yueming Tang, Qian Cheng, Xiaoli Ma, Songlin Yu, Ling Qiu
{"title":"Water-Soluble Vitamins Stability by Robust Liquid Chromatography-Mass Spectrometry.","authors":"Wei Luo, Danchen Wang, Yueming Tang, Qian Cheng, Xiaoli Ma, Songlin Yu, Ling Qiu","doi":"10.1159/000541587","DOIUrl":null,"url":null,"abstract":"<p><strong>Introduction: </strong>The measurement of water-soluble vitamins is essential to diagnose and monitor various vitamin deficiencies. Establishing stability limits for these vitamins is crucial to ensure accurate laboratory testing. This study aimed to assess the stability of commonly measured water-soluble vitamins under different storage conditions to improve the accuracy of water-soluble vitamins measurement.</p><p><strong>Methods: </strong>The stability of thiamine, riboflavin, nicotinamide, pantothenic acid, pyridoxic acid and pyridoxal, biotin, 5-methyltetrahydrofolic acid (5-MTHF), and ascorbic acid was measured using liquid chromatography-tandem mass spectrometry. We investigated some pre-analytical factors: the effect of different storage temperatures and times variation between serum and plasma samples, and the impact of ice bath on the sample before centrifugation. We evaluated stability based on differences from the baseline.</p><p><strong>Results: </strong>Thiamine, pyridoxal, and ascorbic acid in serum exhibited instability at room temperature and 2-8°C. Riboflavin and 5-MTHF in serum were only stable for up to 48 and 72 h at 2-8°C. However, when stored at -20°C, all water-soluble vitamins remained stable for up to 72 h, whereas at -80°C, stability was maintained for up to 7 days. All vitamins in whole blood, except nicotinamide, were stable for up to 2-4 h when stored in an ice bath.</p><p><strong>Conclusions: </strong>Water-soluble vitamins, such as thiamine, riboflavin, pyridoxal, and ascorbic acid, are unstable at room temperature and 2-8°C. All vitamins were stable for up to 7 days and stored at -80°C. The ice bath improved the stability of whole blood samples before centrifugation. Thus, laboratories should ensure appropriate storage conditions to maintain pre-analytical quality for vitamin measurements.</p><p><strong>Introduction: </strong>The measurement of water-soluble vitamins is essential to diagnose and monitor various vitamin deficiencies. Establishing stability limits for these vitamins is crucial to ensure accurate laboratory testing. This study aimed to assess the stability of commonly measured water-soluble vitamins under different storage conditions to improve the accuracy of water-soluble vitamins measurement.</p><p><strong>Methods: </strong>The stability of thiamine, riboflavin, nicotinamide, pantothenic acid, pyridoxic acid and pyridoxal, biotin, 5-methyltetrahydrofolic acid (5-MTHF), and ascorbic acid was measured using liquid chromatography-tandem mass spectrometry. We investigated some pre-analytical factors: the effect of different storage temperatures and times variation between serum and plasma samples, and the impact of ice bath on the sample before centrifugation. We evaluated stability based on differences from the baseline.</p><p><strong>Results: </strong>Thiamine, pyridoxal, and ascorbic acid in serum exhibited instability at room temperature and 2-8°C. Riboflavin and 5-MTHF in serum were only stable for up to 48 and 72 h at 2-8°C. However, when stored at -20°C, all water-soluble vitamins remained stable for up to 72 h, whereas at -80°C, stability was maintained for up to 7 days. All vitamins in whole blood, except nicotinamide, were stable for up to 2-4 h when stored in an ice bath.</p><p><strong>Conclusions: </strong>Water-soluble vitamins, such as thiamine, riboflavin, pyridoxal, and ascorbic acid, are unstable at room temperature and 2-8°C. All vitamins were stable for up to 7 days and stored at -80°C. The ice bath improved the stability of whole blood samples before centrifugation. Thus, laboratories should ensure appropriate storage conditions to maintain pre-analytical quality for vitamin measurements.</p>","PeriodicalId":8269,"journal":{"name":"Annals of Nutrition and Metabolism","volume":" ","pages":"32-40"},"PeriodicalIF":2.9000,"publicationDate":"2025-01-01","publicationTypes":"Journal Article","fieldsOfStudy":null,"isOpenAccess":false,"openAccessPdf":"https://www.ncbi.nlm.nih.gov/pmc/articles/PMC11797916/pdf/","citationCount":"0","resultStr":null,"platform":"Semanticscholar","paperid":null,"PeriodicalName":"Annals of Nutrition and Metabolism","FirstCategoryId":"3","ListUrlMain":"https://doi.org/10.1159/000541587","RegionNum":3,"RegionCategory":"医学","ArticlePicture":[],"TitleCN":null,"AbstractTextCN":null,"PMCID":null,"EPubDate":"2024/9/30 0:00:00","PubModel":"Epub","JCR":"Q2","JCRName":"ENDOCRINOLOGY & METABOLISM","Score":null,"Total":0}
引用次数: 0

Abstract

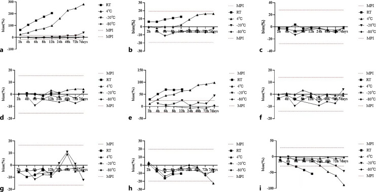
Introduction: The measurement of water-soluble vitamins is essential to diagnose and monitor various vitamin deficiencies. Establishing stability limits for these vitamins is crucial to ensure accurate laboratory testing. This study aimed to assess the stability of commonly measured water-soluble vitamins under different storage conditions to improve the accuracy of water-soluble vitamins measurement.

Methods: The stability of thiamine, riboflavin, nicotinamide, pantothenic acid, pyridoxic acid and pyridoxal, biotin, 5-methyltetrahydrofolic acid (5-MTHF), and ascorbic acid was measured using liquid chromatography-tandem mass spectrometry. We investigated some pre-analytical factors: the effect of different storage temperatures and times variation between serum and plasma samples, and the impact of ice bath on the sample before centrifugation. We evaluated stability based on differences from the baseline.

Results: Thiamine, pyridoxal, and ascorbic acid in serum exhibited instability at room temperature and 2-8°C. Riboflavin and 5-MTHF in serum were only stable for up to 48 and 72 h at 2-8°C. However, when stored at -20°C, all water-soluble vitamins remained stable for up to 72 h, whereas at -80°C, stability was maintained for up to 7 days. All vitamins in whole blood, except nicotinamide, were stable for up to 2-4 h when stored in an ice bath.

Conclusions: Water-soluble vitamins, such as thiamine, riboflavin, pyridoxal, and ascorbic acid, are unstable at room temperature and 2-8°C. All vitamins were stable for up to 7 days and stored at -80°C. The ice bath improved the stability of whole blood samples before centrifugation. Thus, laboratories should ensure appropriate storage conditions to maintain pre-analytical quality for vitamin measurements.

Introduction: The measurement of water-soluble vitamins is essential to diagnose and monitor various vitamin deficiencies. Establishing stability limits for these vitamins is crucial to ensure accurate laboratory testing. This study aimed to assess the stability of commonly measured water-soluble vitamins under different storage conditions to improve the accuracy of water-soluble vitamins measurement.

Methods: The stability of thiamine, riboflavin, nicotinamide, pantothenic acid, pyridoxic acid and pyridoxal, biotin, 5-methyltetrahydrofolic acid (5-MTHF), and ascorbic acid was measured using liquid chromatography-tandem mass spectrometry. We investigated some pre-analytical factors: the effect of different storage temperatures and times variation between serum and plasma samples, and the impact of ice bath on the sample before centrifugation. We evaluated stability based on differences from the baseline.

Results: Thiamine, pyridoxal, and ascorbic acid in serum exhibited instability at room temperature and 2-8°C. Riboflavin and 5-MTHF in serum were only stable for up to 48 and 72 h at 2-8°C. However, when stored at -20°C, all water-soluble vitamins remained stable for up to 72 h, whereas at -80°C, stability was maintained for up to 7 days. All vitamins in whole blood, except nicotinamide, were stable for up to 2-4 h when stored in an ice bath.

Conclusions: Water-soluble vitamins, such as thiamine, riboflavin, pyridoxal, and ascorbic acid, are unstable at room temperature and 2-8°C. All vitamins were stable for up to 7 days and stored at -80°C. The ice bath improved the stability of whole blood samples before centrifugation. Thus, laboratories should ensure appropriate storage conditions to maintain pre-analytical quality for vitamin measurements.

Abstract Image

Abstract Image

Abstract Image

利用强效液相色谱-质谱法测定水溶性维生素的稳定性。
简介测量水溶性维生素对诊断和监测各种维生素缺乏症至关重要。确定这些维生素的稳定性限值对于确保实验室检测的准确性至关重要。本研究旨在评估常用水溶性维生素在不同储存条件下的稳定性,以提高水溶性维生素测量的准确性:方法:采用液相色谱-串联质谱法测定了硫胺素、核黄素、烟酰胺、泛酸、吡哆醇、生物素、5-甲基四氢叶酸(5-MTHF)和抗坏血酸的稳定性。我们研究了三个分析前因素:不同温度和时间长度对血清稳定性的影响、血清和血浆样本之间的差异以及在血清分离前将样本转移到冰浴中的影响。我们根据与基线的差异来评估稳定性:结果:血清中的硫胺素、吡哆醛和抗坏血酸在室温和 2-8℃下不稳定。血清中的核黄素和 5-MTHF 在 2-8℃ 下最多只能稳定 48 和 72 小时。然而,在-20℃条件下储存时,所有水溶性维生素都能保持稳定达 72 小时,而在-80℃条件下则能保持稳定达 7 天。除烟酰胺外,全血中的所有维生素在冰浴中保存 2-4 小时后仍保持稳定:结论:硫胺素、核黄素、吡哆醛和抗坏血酸等水溶性维生素在室温和 2-8℃下不稳定。所有维生素在-80℃下储存 7 天内都很稳定。冰浴可提高离心前全血样本的稳定性。因此,实验室应确保适当的储存条件,以保持维生素测定的分析前质量。
本文章由计算机程序翻译,如有差异,请以英文原文为准。
求助全文
约1分钟内获得全文 求助全文
来源期刊
Annals of Nutrition and Metabolism
Annals of Nutrition and Metabolism 医学-内分泌学与代谢
CiteScore
6.50
自引率
0.00%
发文量
55
审稿时长
6-12 weeks
期刊介绍: ''Annals of Nutrition and Metabolism'' is a leading international peer-reviewed journal for sharing information on human nutrition, metabolism and related fields, covering the broad and multidisciplinary nature of science in nutrition and metabolism. As the official journal of both the International Union of Nutritional Sciences (IUNS) and the Federation of European Nutrition Societies (FENS), the journal has a high visibility among both researchers and users of research outputs, including policy makers, across Europe and around the world.
×
引用
GB/T 7714-2015
复制
MLA
复制
APA
复制
导出至
BibTeX EndNote RefMan NoteFirst NoteExpress
×
提示
您的信息不完整,为了账户安全,请先补充。
现在去补充
×
提示
您因"违规操作"
具体请查看互助需知
我知道了
×
提示
确定
请完成安全验证×
copy
已复制链接
快去分享给好友吧!
我知道了
右上角分享
点击右上角分享
0
联系我们:info@booksci.cn Book学术提供免费学术资源搜索服务,方便国内外学者检索中英文文献。致力于提供最便捷和优质的服务体验。 Copyright © 2023 布克学术 All rights reserved.
京ICP备2023020795号-1
ghs 京公网安备 11010802042870号
Book学术文献互助
Book学术文献互助群
群 号:604180095
Book学术官方微信