Factors related to the occurrence of fetal birth defects and the construction of a Nomogram model.

IF 1.7 Q2 PEDIATRICS
Pediatric health, medicine and therapeutics Pub Date : 2024-09-09 eCollection Date: 2024-01-01 DOI:10.2147/PHMT.S468176
Xiaoqin Chen, Lifang Lin, Qiuping Zhong, Heming Wu, Zhiyuan Zheng, Baisen Zhang, Liubing Lan
{"title":"Factors related to the occurrence of fetal birth defects and the construction of a Nomogram model.","authors":"Xiaoqin Chen, Lifang Lin, Qiuping Zhong, Heming Wu, Zhiyuan Zheng, Baisen Zhang, Liubing Lan","doi":"10.2147/PHMT.S468176","DOIUrl":null,"url":null,"abstract":"<p><strong>Objective: </strong>To explore the influencing factors of fetal birth defects (BD) and construct a nomogram model.</p><p><strong>Methods: </strong>A total of 341 newborns admitted to Meizhou people's hospital from September 2021 to September 2023 were randomly grouped into a modeling group (239 cases) and a validation group (102 cases). The modeling group fetuses were separated into BD and non-BD groups. Multivariate logistic regression analyzed risk factors for BD; R software constructed a nomogram model; Receiver operating characteristic (ROC) curve evaluated the model's discrimination for BD.</p><p><strong>Results: </strong>The top 5 types of BD were congenital heart disease, polydactyly/syndactyly, cleft lip/palate, ear malformation, and foot malformation, with incidence rates of 23.81%, 20.63%, 12.70%, 11.11%, and 7.94%, respectively. BD incidence was 26.36% (63/239). Significant differences between BD and non-BD groups were found in maternal age, gestational age, history of adverse pregnancy/childbirth, gestational hypertension, adverse emotions during pregnancy, and folic acid intake duration (P<0.05). Logistic regression showed maternal age (OR: 4.125), gestational age (OR: 3.066), adverse pregnancy history (OR: 10.628), gestational hypertension (OR: 5.658), adverse emotions (OR: 5.467), and folic acid intake duration (OR: 4.586) were risk factors for BD (P<0.05). The modeling group's ROC AUC was 0.938, calibration curve slope close to 1, H-L test =8.342, P=0.692; external validation AUC was 0.961, calibration slope close to 1, H-L test =7.634, P=0.635.</p><p><strong>Conclusion: </strong>Identified risk factors include maternal age, gestational age, adverse pregnancy history, gestational hypertension, adverse emotions, and folic acid intake duration. The nomogram model shows good discrimination and consistency for evaluating neonatal BD risk.</p>","PeriodicalId":74410,"journal":{"name":"Pediatric health, medicine and therapeutics","volume":"15 ","pages":"289-298"},"PeriodicalIF":1.7000,"publicationDate":"2024-09-09","publicationTypes":"Journal Article","fieldsOfStudy":null,"isOpenAccess":false,"openAccessPdf":"https://www.ncbi.nlm.nih.gov/pmc/articles/PMC11397176/pdf/","citationCount":"0","resultStr":null,"platform":"Semanticscholar","paperid":null,"PeriodicalName":"Pediatric health, medicine and therapeutics","FirstCategoryId":"1085","ListUrlMain":"https://doi.org/10.2147/PHMT.S468176","RegionNum":0,"RegionCategory":null,"ArticlePicture":[],"TitleCN":null,"AbstractTextCN":null,"PMCID":null,"EPubDate":"2024/1/1 0:00:00","PubModel":"eCollection","JCR":"Q2","JCRName":"PEDIATRICS","Score":null,"Total":0}
引用次数: 0

Abstract

Objective: To explore the influencing factors of fetal birth defects (BD) and construct a nomogram model.

Methods: A total of 341 newborns admitted to Meizhou people's hospital from September 2021 to September 2023 were randomly grouped into a modeling group (239 cases) and a validation group (102 cases). The modeling group fetuses were separated into BD and non-BD groups. Multivariate logistic regression analyzed risk factors for BD; R software constructed a nomogram model; Receiver operating characteristic (ROC) curve evaluated the model's discrimination for BD.

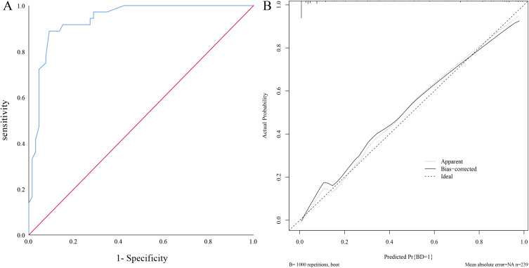
Results: The top 5 types of BD were congenital heart disease, polydactyly/syndactyly, cleft lip/palate, ear malformation, and foot malformation, with incidence rates of 23.81%, 20.63%, 12.70%, 11.11%, and 7.94%, respectively. BD incidence was 26.36% (63/239). Significant differences between BD and non-BD groups were found in maternal age, gestational age, history of adverse pregnancy/childbirth, gestational hypertension, adverse emotions during pregnancy, and folic acid intake duration (P<0.05). Logistic regression showed maternal age (OR: 4.125), gestational age (OR: 3.066), adverse pregnancy history (OR: 10.628), gestational hypertension (OR: 5.658), adverse emotions (OR: 5.467), and folic acid intake duration (OR: 4.586) were risk factors for BD (P<0.05). The modeling group's ROC AUC was 0.938, calibration curve slope close to 1, H-L test =8.342, P=0.692; external validation AUC was 0.961, calibration slope close to 1, H-L test =7.634, P=0.635.

Conclusion: Identified risk factors include maternal age, gestational age, adverse pregnancy history, gestational hypertension, adverse emotions, and folic acid intake duration. The nomogram model shows good discrimination and consistency for evaluating neonatal BD risk.

Abstract Image

Abstract Image

Abstract Image

与胎儿出生缺陷发生有关的因素及 Nomogram 模型的构建。
目的:探讨胎儿出生缺陷(BD)的影响因素,并构建提名图模型:探讨胎儿出生缺陷(BD)的影响因素,并构建提名图模型:方法:将梅州市人民医院2021年9月至2023年9月收治的341例新生儿随机分为建模组(239例)和验证组(102例)。模型组胎儿分为BD组和非BD组。多变量逻辑回归分析了BD的风险因素;R软件构建了一个提名图模型;接收者操作特征曲线(ROC)评估了该模型对BD的判别能力:结果:先天性心脏病、多指畸形/三指畸形、唇裂/腭裂、耳畸形和足畸形是BD的前五大类型,发病率分别为23.81%、20.63%、12.70%、11.11%和7.94%。BD发病率为26.36%(63/239)。在孕产妇年龄、孕龄、不良妊娠史/分娩史、妊娠高血压、孕期不良情绪和叶酸摄入持续时间方面,BD 组和非 BD 组之间存在显著差异(PC 结论:已确定的风险因素包括孕产妇年龄、孕龄、不良妊娠史/分娩史、妊娠高血压、孕期不良情绪和叶酸摄入持续时间:确定的风险因素包括产妇年龄、孕龄、不良妊娠史、妊娠高血压、不良情绪和叶酸摄入时间。提名图模型在评估新生儿 BD 风险方面显示出良好的区分度和一致性。
本文章由计算机程序翻译,如有差异,请以英文原文为准。
求助全文
约1分钟内获得全文 求助全文
来源期刊
自引率
0.00%
发文量
0
审稿时长
16 weeks
×
引用
GB/T 7714-2015
复制
MLA
复制
APA
复制
导出至
BibTeX EndNote RefMan NoteFirst NoteExpress
×
提示
您的信息不完整,为了账户安全,请先补充。
现在去补充
×
提示
您因"违规操作"
具体请查看互助需知
我知道了
×
提示
确定
请完成安全验证×
copy
已复制链接
快去分享给好友吧!
我知道了
右上角分享
点击右上角分享
0
联系我们:info@booksci.cn Book学术提供免费学术资源搜索服务,方便国内外学者检索中英文文献。致力于提供最便捷和优质的服务体验。 Copyright © 2023 布克学术 All rights reserved.
京ICP备2023020795号-1
ghs 京公网安备 11010802042870号
Book学术文献互助
Book学术文献互助群
群 号:604180095
Book学术官方微信