Assessing the Effects of a Diet of BPA Analogue-Exposed Microalgae in the Clam Ruditapes philippinarum.

IF 4.4 Q1 TOXICOLOGY
Jacopo Fabrello, Michela Dalla Fontana, Noemi Gaiani, Maria Ciscato, Marco Roverso, Sara Bogialli, Valerio Matozzo
{"title":"Assessing the Effects of a Diet of BPA Analogue-Exposed Microalgae in the Clam <i>Ruditapes philippinarum</i>.","authors":"Jacopo Fabrello, Michela Dalla Fontana, Noemi Gaiani, Maria Ciscato, Marco Roverso, Sara Bogialli, Valerio Matozzo","doi":"10.3390/jox14030069","DOIUrl":null,"url":null,"abstract":"<p><p>In our previous study, we demonstrated that the microalgae <i>Phaeodactylum tricornutum</i> can bioaccumulate bisphenol A analogues. Since this microalgae species is part of the diet of marine filter-feeding organisms, such as bivalves, in this study we tested the hypothesis that a diet based on exposed microalgae can exert negative effects on the clam <i>Ruditapes philippinarum</i>. Microalgae were exposed for 7 days to 300 ng/L of bisphenol AF (BPAF), bisphenol F (BPF), and bisphenol S (BPS), alone or as a mixture (MIX), to allow bioaccumulation. Microalgae were then supplied as food to bivalves. After 7 and 14 days of diet, the effects of exposed microalgae were evaluated on a battery of biomarkers measured in haemolymph/haemocytes, gills and digestive glands of clams. In addition, bioaccumulation of the three bisphenols was investigated in clams by UHPLC-HRMS. The results obtained demonstrated that total haemocyte count (THC) increased in clams following ingestion for 7 days of BPAF- and BPF-exposed microalgae, while BPS-exposed microalgae significantly reduced THC after 14 days of diet. MIX- and BPS-exposed microalgae increased haemocyte proliferation. The diet of exposed microalgae affected acid and alkaline phosphatase activity in clams, with an opposite response between haemolymph and haemocytes. Regarding antioxidants, an increase in catalase activity was observed in clams after ingestion of BPA analogue-exposed microalgae. The results also demonstrated marked oxidative stress in gills, the first tissue playing an important role in the feeding process. Oxidative damage was recorded in both the gills and digestive glands of clams fed BPA analogue-exposed microalgae. Alterations in epigenetic-involved enzyme activity were also found, demonstrating for the first time that BPA analogue-exposed food can alter epigenetic mechanisms in marine invertebrates. No bioaccumulation of BPA analogues was detected in clam soft tissues. Overall, this study demonstrated that a diet of BPA analogue-exposed microalgae can induce significant alterations of some important biological responses of <i>R. philippinarum</i>. To our knowledge, this is the first study demonstrating the effects of ingestion of BPA analogue-exposed microalgae in the clam <i>R. philippinarum</i>, suggesting a potential ecotoxicological risk for the marine food chain, at least at the first levels.</p>","PeriodicalId":42356,"journal":{"name":"Journal of Xenobiotics","volume":"14 3","pages":"1221-1237"},"PeriodicalIF":4.4000,"publicationDate":"2024-09-06","publicationTypes":"Journal Article","fieldsOfStudy":null,"isOpenAccess":false,"openAccessPdf":"https://www.ncbi.nlm.nih.gov/pmc/articles/PMC11417738/pdf/","citationCount":"0","resultStr":null,"platform":"Semanticscholar","paperid":null,"PeriodicalName":"Journal of Xenobiotics","FirstCategoryId":"1085","ListUrlMain":"https://doi.org/10.3390/jox14030069","RegionNum":0,"RegionCategory":null,"ArticlePicture":[],"TitleCN":null,"AbstractTextCN":null,"PMCID":null,"EPubDate":"","PubModel":"","JCR":"Q1","JCRName":"TOXICOLOGY","Score":null,"Total":0}
引用次数: 0

Abstract

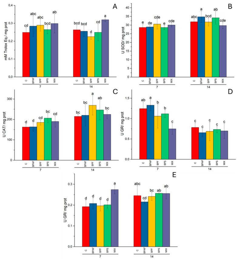
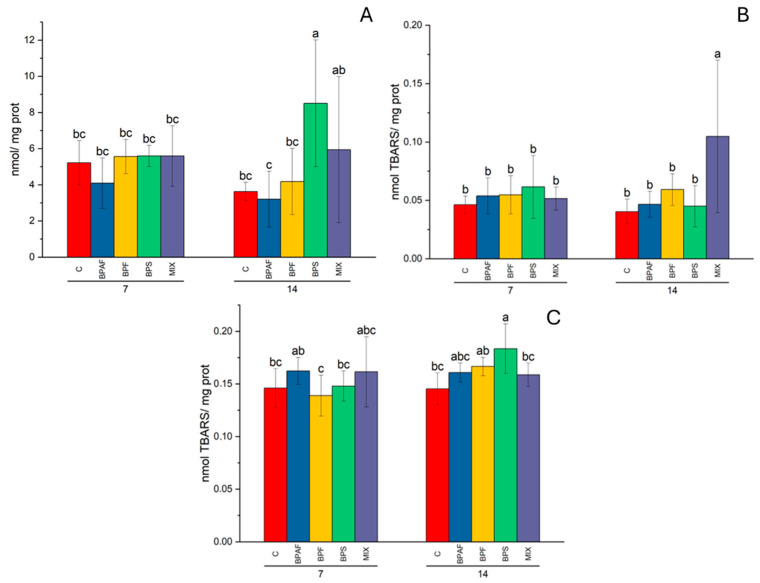
In our previous study, we demonstrated that the microalgae Phaeodactylum tricornutum can bioaccumulate bisphenol A analogues. Since this microalgae species is part of the diet of marine filter-feeding organisms, such as bivalves, in this study we tested the hypothesis that a diet based on exposed microalgae can exert negative effects on the clam Ruditapes philippinarum. Microalgae were exposed for 7 days to 300 ng/L of bisphenol AF (BPAF), bisphenol F (BPF), and bisphenol S (BPS), alone or as a mixture (MIX), to allow bioaccumulation. Microalgae were then supplied as food to bivalves. After 7 and 14 days of diet, the effects of exposed microalgae were evaluated on a battery of biomarkers measured in haemolymph/haemocytes, gills and digestive glands of clams. In addition, bioaccumulation of the three bisphenols was investigated in clams by UHPLC-HRMS. The results obtained demonstrated that total haemocyte count (THC) increased in clams following ingestion for 7 days of BPAF- and BPF-exposed microalgae, while BPS-exposed microalgae significantly reduced THC after 14 days of diet. MIX- and BPS-exposed microalgae increased haemocyte proliferation. The diet of exposed microalgae affected acid and alkaline phosphatase activity in clams, with an opposite response between haemolymph and haemocytes. Regarding antioxidants, an increase in catalase activity was observed in clams after ingestion of BPA analogue-exposed microalgae. The results also demonstrated marked oxidative stress in gills, the first tissue playing an important role in the feeding process. Oxidative damage was recorded in both the gills and digestive glands of clams fed BPA analogue-exposed microalgae. Alterations in epigenetic-involved enzyme activity were also found, demonstrating for the first time that BPA analogue-exposed food can alter epigenetic mechanisms in marine invertebrates. No bioaccumulation of BPA analogues was detected in clam soft tissues. Overall, this study demonstrated that a diet of BPA analogue-exposed microalgae can induce significant alterations of some important biological responses of R. philippinarum. To our knowledge, this is the first study demonstrating the effects of ingestion of BPA analogue-exposed microalgae in the clam R. philippinarum, suggesting a potential ecotoxicological risk for the marine food chain, at least at the first levels.

Abstract Image

Abstract Image

Abstract Image

评估摄入暴露于双酚 A 类似物的微藻对蛤蜊 Ruditapes philippinarum 的影响。
在我们之前的研究中,我们证明了微藻类 Phaeodactylum tricornutum 能够生物累积双酚 A 类似物。由于这种微藻是海洋滤食性生物(如双壳类)的食物之一,在本研究中,我们测试了一种假设,即以暴露的微藻为食物会对蛤蜊 Ruditapes philippinarum 产生负面影响。将微藻单独或以混合物(MIX)的形式暴露在 300 纳克/升的双酚 AF(BPAF)、双酚 F(BPF)和双酚 S(BPS)中 7 天,以便进行生物累积。然后将微藻作为双壳类动物的食物。经过 7 天和 14 天的饮食后,对接触微藻对蛤蜊血淋巴/血细胞、鳃和消化腺中一系列生物标志物的影响进行了评估。此外,还通过超高效液相色谱-高分辨质谱法(UHPLC-HRMS)研究了三种双酚在蛤蜊体内的生物累积性。结果表明,摄入双酚 AF 和双酚 BF 暴露的微藻 7 天后,蛤蜊的总血细胞数(THC)会增加,而摄入 BPS 暴露的微藻 14 天后,THC 会显著减少。暴露于 MIX 和 BPS 的微藻会增加血细胞增殖。暴露微藻的饮食会影响蛤蜊的酸性和碱性磷酸酶活性,血淋巴和血细胞之间的反应相反。在抗氧化剂方面,摄入暴露于双酚 A 类似物的微藻后,蛤蜊体内的过氧化氢酶活性有所增加。结果还表明,鳃中存在明显的氧化应激,而鳃是在摄食过程中发挥重要作用的第一个组织。喂食了暴露于双酚 A 类似物的微藻的蛤蜊的鳃和消化腺都出现了氧化损伤。此外,还发现与表观遗传有关的酶活性发生了变化,首次证明暴露于双酚 A 类似物的食物可改变海洋无脊椎动物的表观遗传机制。在蛤蜊软组织中未检测到双酚 A 类似物的生物累积。总之,这项研究表明,摄入暴露于双酚 A 类似物的微藻可诱导菲利宾氏蛤的一些重要生物反应发生显著改变。据我们所知,这是首次有研究表明摄入暴露于双酚 A 类似物的微藻会对菲利宾氏蛤产生影响,这表明至少在第一级,摄入双酚 A 类似物对海洋食物链具有潜在的生态毒理学风险。
本文章由计算机程序翻译,如有差异,请以英文原文为准。
求助全文
约1分钟内获得全文 求助全文
来源期刊
CiteScore
5.30
自引率
1.70%
发文量
21
审稿时长
10 weeks
期刊介绍: The Journal of Xenobiotics publishes original studies concerning the beneficial (pharmacology) and detrimental effects (toxicology) of xenobiotics in all organisms. A xenobiotic (“stranger to life”) is defined as a chemical that is not usually found at significant concentrations or expected to reside for long periods in organisms. In addition to man-made chemicals, natural products could also be of interest if they have potent biological properties, special medicinal properties or that a given organism is at risk of exposure in the environment. Topics dealing with abiotic- and biotic-based transformations in various media (xenobiochemistry) and environmental toxicology are also of interest. Areas of interests include the identification of key physical and chemical properties of molecules that predict biological effects and persistence in the environment; the molecular mode of action of xenobiotics; biochemical and physiological interactions leading to change in organism health; pathophysiological interactions of natural and synthetic chemicals; development of biochemical indicators including new “-omics” approaches to identify biomarkers of exposure or effects for xenobiotics.
×
引用
GB/T 7714-2015
复制
MLA
复制
APA
复制
导出至
BibTeX EndNote RefMan NoteFirst NoteExpress
×
提示
您的信息不完整,为了账户安全,请先补充。
现在去补充
×
提示
您因"违规操作"
具体请查看互助需知
我知道了
×
提示
确定
请完成安全验证×
copy
已复制链接
快去分享给好友吧!
我知道了
右上角分享
点击右上角分享
0
联系我们:info@booksci.cn Book学术提供免费学术资源搜索服务,方便国内外学者检索中英文文献。致力于提供最便捷和优质的服务体验。 Copyright © 2023 布克学术 All rights reserved.
京ICP备2023020795号-1
ghs 京公网安备 11010802042870号
Book学术文献互助
Book学术文献互助群
群 号:604180095
Book学术官方微信