Impact of work pace on cardiorespiratory outcomes, perceived effort and carried load in industrial workers: a randomised cross-over trial.

IF 3.1 2区 医学 Q1 PUBLIC, ENVIRONMENTAL & OCCUPATIONAL HEALTH
Sasha Javanmardi, Ludwig Rappelt, Lars Heinke, Daniel Niederer, Janis Alexander Zemke, Jürgen Freiwald, Christian Baumgart
{"title":"Impact of work pace on cardiorespiratory outcomes, perceived effort and carried load in industrial workers: a randomised cross-over trial.","authors":"Sasha Javanmardi, Ludwig Rappelt, Lars Heinke, Daniel Niederer, Janis Alexander Zemke, Jürgen Freiwald, Christian Baumgart","doi":"10.1136/oemed-2024-109563","DOIUrl":null,"url":null,"abstract":"<p><strong>Objectives: </strong>This study investigates the impact of different work paces on cardiorespiratory outcomes, perceived effort and carried load (CL) in industrial workers.</p><p><strong>Methods: </strong>A randomised cross-over trial was conducted at a mid-sized steel company. We included 12 healthy industrial workers (8 females, age: mean 44±SD 9 years, height: 1.70±0.08 m, body mass: 79.5±13.4 kg) with at least 6 months of working experience. All participants performed 5 min of piece work at 100% (P100), 115% (P115) and 130% (P130) of the company's internal target yielded in a randomised order, separated by 5 min familiarisation breaks. The primary outcome was energy expenditure (EE), calculated from a respiratory gas exchange using a metabolic analyser. Secondary outcomes were total ventilation, oxygen uptake, carbon dioxide release, respiratory exchange ratio, heart rate and rating of perceived effort (0-10). Furthermore, the metabolic equivalent and the CL were calculated. Data were analysed with repeated measure analyses of variance.</p><p><strong>Results: </strong>For EE, a large 'pace' effect with a small difference between P100 and P130 (165.9±33.4 vs 178.8±40.1 kcal/hour<sup>-1</sup>, p=0.008, standard mean difference, SMD=0.35) was revealed. Additionally, a large difference in CL between all paces (p<0.001, SMD≥1.10) was revealed. No adverse events occurred.</p><p><strong>Conclusions: </strong>Cardiorespiratory outcomes rise with increased work pace, but the practical relevance of these differences still needs to be specified. However, the CL will add up over time and may impact musculoskeletal health in the long term.</p>","PeriodicalId":19459,"journal":{"name":"Occupational and Environmental Medicine","volume":" ","pages":"456-461"},"PeriodicalIF":3.1000,"publicationDate":"2024-10-08","publicationTypes":"Journal Article","fieldsOfStudy":null,"isOpenAccess":false,"openAccessPdf":"https://www.ncbi.nlm.nih.gov/pmc/articles/PMC11503203/pdf/","citationCount":"0","resultStr":null,"platform":"Semanticscholar","paperid":null,"PeriodicalName":"Occupational and Environmental Medicine","FirstCategoryId":"3","ListUrlMain":"https://doi.org/10.1136/oemed-2024-109563","RegionNum":2,"RegionCategory":"医学","ArticlePicture":[],"TitleCN":null,"AbstractTextCN":null,"PMCID":null,"EPubDate":"","PubModel":"","JCR":"Q1","JCRName":"PUBLIC, ENVIRONMENTAL & OCCUPATIONAL HEALTH","Score":null,"Total":0}
引用次数: 0

Abstract

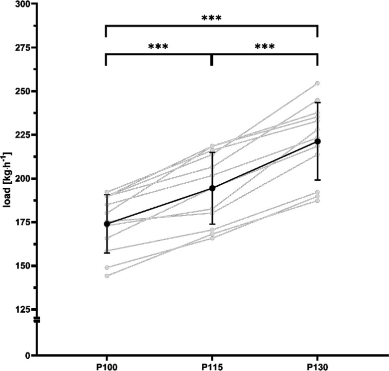
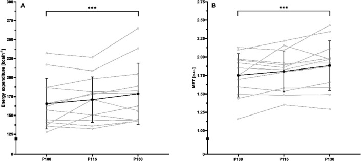
Objectives: This study investigates the impact of different work paces on cardiorespiratory outcomes, perceived effort and carried load (CL) in industrial workers.

Methods: A randomised cross-over trial was conducted at a mid-sized steel company. We included 12 healthy industrial workers (8 females, age: mean 44±SD 9 years, height: 1.70±0.08 m, body mass: 79.5±13.4 kg) with at least 6 months of working experience. All participants performed 5 min of piece work at 100% (P100), 115% (P115) and 130% (P130) of the company's internal target yielded in a randomised order, separated by 5 min familiarisation breaks. The primary outcome was energy expenditure (EE), calculated from a respiratory gas exchange using a metabolic analyser. Secondary outcomes were total ventilation, oxygen uptake, carbon dioxide release, respiratory exchange ratio, heart rate and rating of perceived effort (0-10). Furthermore, the metabolic equivalent and the CL were calculated. Data were analysed with repeated measure analyses of variance.

Results: For EE, a large 'pace' effect with a small difference between P100 and P130 (165.9±33.4 vs 178.8±40.1 kcal/hour-1, p=0.008, standard mean difference, SMD=0.35) was revealed. Additionally, a large difference in CL between all paces (p<0.001, SMD≥1.10) was revealed. No adverse events occurred.

Conclusions: Cardiorespiratory outcomes rise with increased work pace, but the practical relevance of these differences still needs to be specified. However, the CL will add up over time and may impact musculoskeletal health in the long term.

Abstract Image

Abstract Image

工作节奏对工业工人心肺功能结果、感知努力和负荷的影响:随机交叉试验。
目的:本研究调查了不同的工作节奏对工业工人心肺功能结果、感知努力和携带负荷(CL)的影响:本研究调查了不同的工作节奏对工业工人心肺功能结果、感知努力和负荷(CL)的影响:在一家中型钢铁公司进行了随机交叉试验。我们纳入了 12 名有至少 6 个月工作经验的健康产业工人(8 名女性,年龄:平均 44±SD 9 岁,身高:1.70±0.08 米,体重:79.5±13.4 千克)。所有参与者按照公司内部目标产量的 100% (P100)、115% (P115) 和 130% (P130) 的随机顺序进行 5 分钟的计件工作,中间休息 5 分钟熟悉情况。主要结果是能量消耗(EE),通过使用代谢分析仪进行呼吸气体交换计算得出。次要结果是总通气量、摄氧量、二氧化碳释放量、呼吸交换比、心率和感知努力评级(0-10)。此外,还计算了代谢当量和 CL。数据采用重复测量方差分析:结果:就 EE 而言,P100 和 P130 之间差异较小(165.9±33.4 vs 178.8±40.1 千卡/小时-1,P=0.008,标准均值差异 SMD=0.35),显示出较大的 "步伐 "效应。此外,所有步速之间的 CL 差异也很大(p 结论:心肺功能结果会随着步速的增加而增加:心肺功能结果随着工作速度的增加而增加,但这些差异的实际意义仍有待明确。不过,CL 会随着时间的推移而增加,从长远来看可能会影响肌肉骨骼的健康。
本文章由计算机程序翻译,如有差异,请以英文原文为准。
求助全文
约1分钟内获得全文 求助全文
来源期刊
Occupational and Environmental Medicine
Occupational and Environmental Medicine 医学-公共卫生、环境卫生与职业卫生
CiteScore
8.30
自引率
2.00%
发文量
98
审稿时长
2 months
期刊介绍: Occupational and Environmental Medicine is an international peer reviewed journal covering current developments in occupational and environmental health worldwide. Occupational and Environmental Medicine publishes high-quality research relating to the full range of chemical, physical, ergonomic, biological and psychosocial hazards in the workplace and to environmental contaminants and their health effects. The journal welcomes research aimed at improving the evidence-based practice of occupational and environmental research; including the development and application of novel biological and statistical techniques in addition to evaluation of interventions in controlling occupational and environmental risks.
×
引用
GB/T 7714-2015
复制
MLA
复制
APA
复制
导出至
BibTeX EndNote RefMan NoteFirst NoteExpress
×
提示
您的信息不完整,为了账户安全,请先补充。
现在去补充
×
提示
您因"违规操作"
具体请查看互助需知
我知道了
×
提示
确定
请完成安全验证×
copy
已复制链接
快去分享给好友吧!
我知道了
右上角分享
点击右上角分享
0
联系我们:info@booksci.cn Book学术提供免费学术资源搜索服务,方便国内外学者检索中英文文献。致力于提供最便捷和优质的服务体验。 Copyright © 2023 布克学术 All rights reserved.
京ICP备2023020795号-1
ghs 京公网安备 11010802042870号
Book学术文献互助
Book学术文献互助群
群 号:604180095
Book学术官方微信