Comparison between the Efficacy and Tolerability of Polyvinylpyrrolidone-Iodine Eye Drops 0.6% and 1% in Adenoviral Keratoconjunctivitis: A Randomized Clinical Trial.

IF 0.9 Q3 OPHTHALMOLOGY
Journal of Current Ophthalmology Pub Date : 2024-08-10 eCollection Date: 2023-10-01 DOI:10.4103/joco.joco_251_23
Ali Makateb, Mahdi Soleymanzadeh, Saeed Soleiman-Meigooni, Ali Asgari, Mohammad Reza Etemadi, Amir Reza Mafi, Nader Mohammadi
{"title":"Comparison between the Efficacy and Tolerability of Polyvinylpyrrolidone-Iodine Eye Drops 0.6% and 1% in Adenoviral Keratoconjunctivitis: A Randomized Clinical Trial.","authors":"Ali Makateb, Mahdi Soleymanzadeh, Saeed Soleiman-Meigooni, Ali Asgari, Mohammad Reza Etemadi, Amir Reza Mafi, Nader Mohammadi","doi":"10.4103/joco.joco_251_23","DOIUrl":null,"url":null,"abstract":"<p><strong>Purpose: </strong>To investigate the effect of topical Polyvinylpyrrolidone-iodine (PVP-I) 0.6% on the clinical course of adenoviral keratoconjunctivitis compared with PVP-I 1% and artificial tears.</p><p><strong>Methods: </strong>We prospectively enrolled all patients over 18 years of age with a polymerase chain reaction (PCR)-confirmed diagnosis of adenoviral keratoconjunctivitis who presented to the hospital between November 2022 and June 2023. Patients were randomized into 3 groups: artificial tears (control), PVP-I 1%, and PVP-I 0.6% eye drops, 4 times daily for 5 days. Clinical signs at presentation and at 6 follow-up visits during the 1<sup>st</sup> 3 weeks of the acute phase were recorded. Patients were also followed up at 1 and 3 months.</p><p><strong>Results: </strong>Ninety-four patients completed the study, of which 30, 31, and 33 were in the control, PVP-I 1%, and PVP-I 0.6% groups, respectively. The mean age of the patients was 37.2 years (interquartile range: 25-46). The PCR result was positive in 75.6% of patients with the clinical suspicion. PVP-I, regardless of the concentration, was superior to the artificial tears in terms of time to resolution of lid swelling, discharge, and incidence of subsequent subepithelial infiltrates (<i>P</i> < 0.05). However, a concentration of 0.6% was equivalent to 1%. No significant adverse events were reported in any group.</p><p><strong>Conclusions: </strong>The PVP-I 0.6% topical drops are safe and well tolerated in patients with acute adenoviral keratoconjunctivitis. It can be substituted for the 1% solution as it has comparable effects in improving the clinical course and reducing subsequent complications.</p>","PeriodicalId":15423,"journal":{"name":"Journal of Current Ophthalmology","volume":"35 4","pages":"337-344"},"PeriodicalIF":0.9000,"publicationDate":"2024-08-10","publicationTypes":"Journal Article","fieldsOfStudy":null,"isOpenAccess":false,"openAccessPdf":"https://www.ncbi.nlm.nih.gov/pmc/articles/PMC11392302/pdf/","citationCount":"0","resultStr":null,"platform":"Semanticscholar","paperid":null,"PeriodicalName":"Journal of Current Ophthalmology","FirstCategoryId":"1085","ListUrlMain":"https://doi.org/10.4103/joco.joco_251_23","RegionNum":0,"RegionCategory":null,"ArticlePicture":[],"TitleCN":null,"AbstractTextCN":null,"PMCID":null,"EPubDate":"2023/10/1 0:00:00","PubModel":"eCollection","JCR":"Q3","JCRName":"OPHTHALMOLOGY","Score":null,"Total":0}
引用次数: 0

Abstract

Purpose: To investigate the effect of topical Polyvinylpyrrolidone-iodine (PVP-I) 0.6% on the clinical course of adenoviral keratoconjunctivitis compared with PVP-I 1% and artificial tears.

Methods: We prospectively enrolled all patients over 18 years of age with a polymerase chain reaction (PCR)-confirmed diagnosis of adenoviral keratoconjunctivitis who presented to the hospital between November 2022 and June 2023. Patients were randomized into 3 groups: artificial tears (control), PVP-I 1%, and PVP-I 0.6% eye drops, 4 times daily for 5 days. Clinical signs at presentation and at 6 follow-up visits during the 1st 3 weeks of the acute phase were recorded. Patients were also followed up at 1 and 3 months.

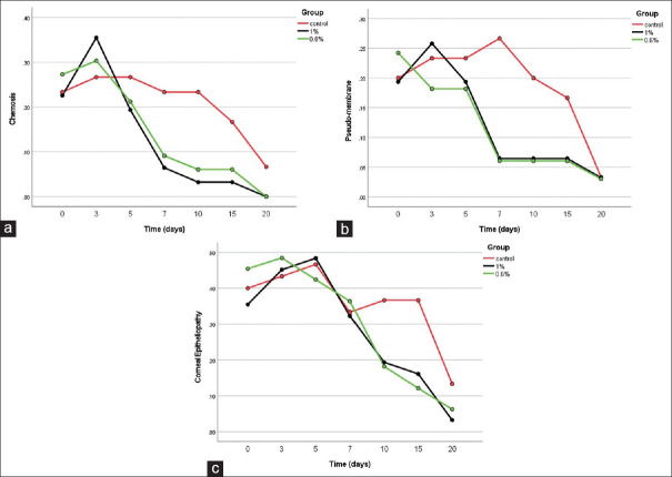
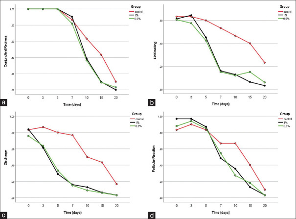
Results: Ninety-four patients completed the study, of which 30, 31, and 33 were in the control, PVP-I 1%, and PVP-I 0.6% groups, respectively. The mean age of the patients was 37.2 years (interquartile range: 25-46). The PCR result was positive in 75.6% of patients with the clinical suspicion. PVP-I, regardless of the concentration, was superior to the artificial tears in terms of time to resolution of lid swelling, discharge, and incidence of subsequent subepithelial infiltrates (P < 0.05). However, a concentration of 0.6% was equivalent to 1%. No significant adverse events were reported in any group.

Conclusions: The PVP-I 0.6% topical drops are safe and well tolerated in patients with acute adenoviral keratoconjunctivitis. It can be substituted for the 1% solution as it has comparable effects in improving the clinical course and reducing subsequent complications.

Abstract Image

Abstract Image

Abstract Image

0.6% 和 1% 聚乙烯吡咯烷酮碘滴眼液对腺病毒性角膜结膜炎的疗效和耐受性比较:随机临床试验。
目的:与1%聚乙烯吡咯烷酮碘(PVP-I)和人工泪液相比,研究0.6%聚乙烯吡咯烷酮碘(PVP-I)外用药对腺病毒性角膜结膜炎临床病程的影响:我们对所有在2022年11月至2023年6月期间来院就诊并经聚合酶链反应(PCR)确诊为腺病毒性角膜结膜炎的18岁以上患者进行了前瞻性登记。患者被随机分为 3 组:人工泪液(对照组)、1% PVP-I 和 0.6% PVP-I 滴眼液,每天 4 次,连续使用 5 天。记录患者发病时的临床症状以及急性期前 3 周的 6 次随访。此外,还对患者进行了 1 个月和 3 个月的随访:94名患者完成了研究,其中对照组、PVP-I 1%组和PVP-I 0.6%组分别有30人、31人和33人。患者的平均年龄为 37.2 岁(四分位数间距:25-46)。75.6%的临床怀疑患者的 PCR 结果呈阳性。无论浓度如何,PVP-I 在睑肿消退时间、分泌物和随后上皮下浸润的发生率方面均优于人工泪液(P < 0.05)。不过,0.6% 的浓度相当于 1%。各组均未报告重大不良事件:PVP-I 0.6%局部滴眼液对急性腺病毒性角膜结膜炎患者安全且耐受性良好。它在改善临床病程和减少后续并发症方面的效果与 1%溶液相当,因此可以替代 1%溶液。
本文章由计算机程序翻译,如有差异,请以英文原文为准。
求助全文
约1分钟内获得全文 求助全文
来源期刊
CiteScore
2.50
自引率
6.70%
发文量
45
审稿时长
8 weeks
期刊介绍: Peer Review under the responsibility of Iranian Society of Ophthalmology Journal of Current Ophthalmology, the official publication of the Iranian Society of Ophthalmology, is a peer-reviewed, open-access, scientific journal that welcomes high quality original articles related to vision science and all fields of ophthalmology. Journal of Current Ophthalmology is the continuum of Iranian Journal of Ophthalmology published since 1969.
×
引用
GB/T 7714-2015
复制
MLA
复制
APA
复制
导出至
BibTeX EndNote RefMan NoteFirst NoteExpress
×
提示
您的信息不完整,为了账户安全,请先补充。
现在去补充
×
提示
您因"违规操作"
具体请查看互助需知
我知道了
×
提示
确定
请完成安全验证×
copy
已复制链接
快去分享给好友吧!
我知道了
右上角分享
点击右上角分享
0
联系我们:info@booksci.cn Book学术提供免费学术资源搜索服务,方便国内外学者检索中英文文献。致力于提供最便捷和优质的服务体验。 Copyright © 2023 布克学术 All rights reserved.
京ICP备2023020795号-1
ghs 京公网安备 11010802042870号
Book学术文献互助
Book学术文献互助群
群 号:604180095
Book学术官方微信