The husband's mental health is affected by the wife's happiness, but not vice versa: a longitudinal observation.

IF 1.6 4区 医学 Q3 ENVIRONMENTAL SCIENCES
Industrial Health Pub Date : 2024-11-26 Epub Date: 2024-09-16 DOI:10.2486/indhealth.2024-0118
Noboru Iwata, Akihito Shimazu, Takeo Fujiwara, Kyoko Shimada, Masahiro Tokita, Izumi Watai, Norito Kawakami
{"title":"The husband's mental health is affected by the wife's happiness, but not vice versa: a longitudinal observation.","authors":"Noboru Iwata, Akihito Shimazu, Takeo Fujiwara, Kyoko Shimada, Masahiro Tokita, Izumi Watai, Norito Kawakami","doi":"10.2486/indhealth.2024-0118","DOIUrl":null,"url":null,"abstract":"<p><p>The psychological states of wives and husbands are thought to influence each other to varying degrees. However, relatively little is known from a longitudinal observation about the effects of spouses' psychological distress and well-being on their mental health. To address this question, we analyzed the TWIN Study II dataset using a three-wave annual survey of the psychological distress and happiness of 379 dual-income families. A group-based trajectory modeling analysis was conducted to identify psychological distress patterns and happiness over time, while estimating the effects of spouses' psychological distress and happiness and their own job demands, control, and support as time-varying covariates. The two- or three-group trajectory model best fit husbands' and wives' psychological distress and happiness trajectories. Husbands' trajectories of psychological distress and happiness were significantly influenced by wives' happiness as well as their own job demands and/or support, whereas wives' happiness and psychological distress were not.</p>","PeriodicalId":13531,"journal":{"name":"Industrial Health","volume":" ","pages":"402-406"},"PeriodicalIF":1.6000,"publicationDate":"2024-11-26","publicationTypes":"Journal Article","fieldsOfStudy":null,"isOpenAccess":false,"openAccessPdf":"https://www.ncbi.nlm.nih.gov/pmc/articles/PMC11611531/pdf/","citationCount":"0","resultStr":null,"platform":"Semanticscholar","paperid":null,"PeriodicalName":"Industrial Health","FirstCategoryId":"3","ListUrlMain":"https://doi.org/10.2486/indhealth.2024-0118","RegionNum":4,"RegionCategory":"医学","ArticlePicture":[],"TitleCN":null,"AbstractTextCN":null,"PMCID":null,"EPubDate":"2024/9/16 0:00:00","PubModel":"Epub","JCR":"Q3","JCRName":"ENVIRONMENTAL SCIENCES","Score":null,"Total":0}
引用次数: 0

Abstract

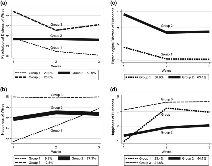
The psychological states of wives and husbands are thought to influence each other to varying degrees. However, relatively little is known from a longitudinal observation about the effects of spouses' psychological distress and well-being on their mental health. To address this question, we analyzed the TWIN Study II dataset using a three-wave annual survey of the psychological distress and happiness of 379 dual-income families. A group-based trajectory modeling analysis was conducted to identify psychological distress patterns and happiness over time, while estimating the effects of spouses' psychological distress and happiness and their own job demands, control, and support as time-varying covariates. The two- or three-group trajectory model best fit husbands' and wives' psychological distress and happiness trajectories. Husbands' trajectories of psychological distress and happiness were significantly influenced by wives' happiness as well as their own job demands and/or support, whereas wives' happiness and psychological distress were not.

Abstract Image

丈夫的心理健康受妻子幸福的影响,但反之亦然:纵向观察。
人们认为妻子和丈夫的心理状态会在不同程度上相互影响。然而,从纵向观察来看,人们对配偶的心理困扰和幸福感对其心理健康的影响知之甚少。为了解决这个问题,我们分析了 TWIN 研究 II 数据集,对 379 个双职工家庭的心理困扰和幸福感进行了三波年度调查。我们进行了基于群体的轨迹建模分析,以确定随时间变化的心理困扰模式和幸福感,同时估计配偶的心理困扰和幸福感以及配偶自身的工作需求、控制和支持作为随时间变化的协变量的影响。两组或三组轨迹模型最适合丈夫和妻子的心理困扰和幸福轨迹。丈夫的心理困扰和幸福感轨迹受到妻子幸福感以及自身工作要求和/或支持的显著影响,而妻子的幸福感和心理困扰则不受影响。
本文章由计算机程序翻译,如有差异,请以英文原文为准。
求助全文
约1分钟内获得全文 求助全文
来源期刊
Industrial Health
Industrial Health 医学-毒理学
CiteScore
3.40
自引率
5.00%
发文量
64
审稿时长
6-12 weeks
期刊介绍: INDUSTRIAL HEALTH covers all aspects of occupational medicine, ergonomics, industrial hygiene, engineering, safety and policy sciences. The journal helps promote solutions for the control and improvement of working conditions, and for the application of valuable research findings to the actual working environment.
×
引用
GB/T 7714-2015
复制
MLA
复制
APA
复制
导出至
BibTeX EndNote RefMan NoteFirst NoteExpress
×
提示
您的信息不完整,为了账户安全,请先补充。
现在去补充
×
提示
您因"违规操作"
具体请查看互助需知
我知道了
×
提示
确定
请完成安全验证×
copy
已复制链接
快去分享给好友吧!
我知道了
右上角分享
点击右上角分享
0
联系我们:info@booksci.cn Book学术提供免费学术资源搜索服务,方便国内外学者检索中英文文献。致力于提供最便捷和优质的服务体验。 Copyright © 2023 布克学术 All rights reserved.
京ICP备2023020795号-1
ghs 京公网安备 11010802042870号
Book学术文献互助
Book学术文献互助群
群 号:604180095
Book学术官方微信