Diagnostic Accuracy of ChatGPT for Patients' Triage; a Systematic Review and Meta-Analysis.

IF 2 Q1 EMERGENCY MEDICINE
Archives of Academic Emergency Medicine Pub Date : 2024-07-30 eCollection Date: 2024-01-01 DOI:10.22037/aaem.v12i1.2384
Navid Kaboudi, Saeedeh Firouzbakht, Mohammad Shahir Eftekhar, Fatemeh Fayazbakhsh, Niloufar Joharivarnoosfaderani, Salar Ghaderi, Mohammadreza Dehdashti, Yasmin Mohtasham Kia, Maryam Afshari, Maryam Vasaghi-Gharamaleki, Leila Haghani, Zahra Moradzadeh, Fattaneh Khalaj, Zahra Mohammadi, Zahra Hasanabadi, Ramin Shahidi
{"title":"Diagnostic Accuracy of ChatGPT for Patients' Triage; a Systematic Review and Meta-Analysis.","authors":"Navid Kaboudi, Saeedeh Firouzbakht, Mohammad Shahir Eftekhar, Fatemeh Fayazbakhsh, Niloufar Joharivarnoosfaderani, Salar Ghaderi, Mohammadreza Dehdashti, Yasmin Mohtasham Kia, Maryam Afshari, Maryam Vasaghi-Gharamaleki, Leila Haghani, Zahra Moradzadeh, Fattaneh Khalaj, Zahra Mohammadi, Zahra Hasanabadi, Ramin Shahidi","doi":"10.22037/aaem.v12i1.2384","DOIUrl":null,"url":null,"abstract":"<p><strong>Introduction: </strong>Artificial intelligence (AI), particularly ChatGPT developed by OpenAI, has shown the potential to improve diagnostic accuracy and efficiency in emergency department (ED) triage. This study aims to evaluate the diagnostic performance and safety of ChatGPT in prioritizing patients based on urgency in ED settings.</p><p><strong>Methods: </strong>A systematic review and meta-analysis were conducted following PRISMA guidelines. Comprehensive literature searches were performed in Scopus, Web of Science, PubMed, and Embase. Studies evaluating ChatGPT's diagnostic performance in ED triage were included. Quality assessment was conducted using the QUADAS-2 tool. Pooled accuracy estimates were calculated using a random-effects model, and heterogeneity was assessed with the I² statistic.</p><p><strong>Results: </strong>Fourteen studies with a total of 1,412 patients or scenarios were included. ChatGPT 4.0 demonstrated a pooled accuracy of 0.86 (95% CI: 0.64-0.98) with substantial heterogeneity (I² = 93%). ChatGPT 3.5 showed a pooled accuracy of 0.63 (95% CI: 0.43-0.81) with significant heterogeneity (I² = 84%). Funnel plots indicated potential publication bias, particularly for ChatGPT 3.5. Quality assessments revealed varying levels of risk of bias and applicability concerns.</p><p><strong>Conclusion: </strong>ChatGPT, especially version 4.0, shows promise in improving ED triage accuracy. However, significant variability and potential biases highlight the need for further evaluation and enhancement.</p>","PeriodicalId":8146,"journal":{"name":"Archives of Academic Emergency Medicine","volume":"12 1","pages":"e60"},"PeriodicalIF":2.0000,"publicationDate":"2024-07-30","publicationTypes":"Journal Article","fieldsOfStudy":null,"isOpenAccess":false,"openAccessPdf":"https://www.ncbi.nlm.nih.gov/pmc/articles/PMC11407534/pdf/","citationCount":"0","resultStr":null,"platform":"Semanticscholar","paperid":null,"PeriodicalName":"Archives of Academic Emergency Medicine","FirstCategoryId":"1085","ListUrlMain":"https://doi.org/10.22037/aaem.v12i1.2384","RegionNum":0,"RegionCategory":null,"ArticlePicture":[],"TitleCN":null,"AbstractTextCN":null,"PMCID":null,"EPubDate":"2024/1/1 0:00:00","PubModel":"eCollection","JCR":"Q1","JCRName":"EMERGENCY MEDICINE","Score":null,"Total":0}
引用次数: 0

Abstract

Introduction: Artificial intelligence (AI), particularly ChatGPT developed by OpenAI, has shown the potential to improve diagnostic accuracy and efficiency in emergency department (ED) triage. This study aims to evaluate the diagnostic performance and safety of ChatGPT in prioritizing patients based on urgency in ED settings.

Methods: A systematic review and meta-analysis were conducted following PRISMA guidelines. Comprehensive literature searches were performed in Scopus, Web of Science, PubMed, and Embase. Studies evaluating ChatGPT's diagnostic performance in ED triage were included. Quality assessment was conducted using the QUADAS-2 tool. Pooled accuracy estimates were calculated using a random-effects model, and heterogeneity was assessed with the I² statistic.

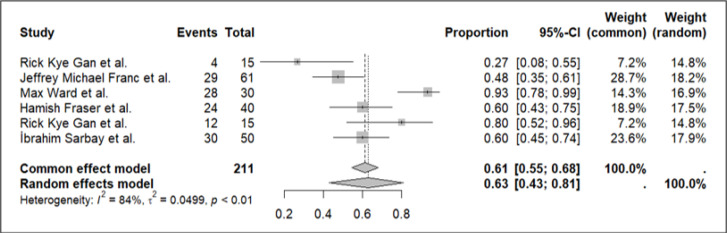
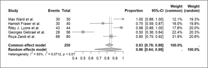
Results: Fourteen studies with a total of 1,412 patients or scenarios were included. ChatGPT 4.0 demonstrated a pooled accuracy of 0.86 (95% CI: 0.64-0.98) with substantial heterogeneity (I² = 93%). ChatGPT 3.5 showed a pooled accuracy of 0.63 (95% CI: 0.43-0.81) with significant heterogeneity (I² = 84%). Funnel plots indicated potential publication bias, particularly for ChatGPT 3.5. Quality assessments revealed varying levels of risk of bias and applicability concerns.

Conclusion: ChatGPT, especially version 4.0, shows promise in improving ED triage accuracy. However, significant variability and potential biases highlight the need for further evaluation and enhancement.

Abstract Image

Abstract Image

Abstract Image

用于患者分诊的 ChatGPT 的诊断准确性;系统回顾和 Meta 分析。
引言人工智能(AI),尤其是 OpenAI 开发的 ChatGPT,已显示出提高急诊科(ED)分诊诊断准确性和效率的潜力。本研究旨在评估 ChatGPT 在急诊室根据紧急程度对患者进行优先排序时的诊断性能和安全性:方法:按照 PRISMA 指南进行了系统回顾和荟萃分析。在 Scopus、Web of Science、PubMed 和 Embase 中进行了全面的文献检索。纳入了评估 ChatGPT 在急诊室分诊中诊断性能的研究。采用 QUADAS-2 工具进行质量评估。使用随机效应模型计算汇总的准确性估计值,并使用 I² 统计量评估异质性:结果:共纳入 14 项研究,涉及 1412 名患者或场景。ChatGPT 4.0 的汇总准确率为 0.86(95% CI:0.64-0.98),异质性很大(I² = 93%)。ChatGPT 3.5 的汇总准确率为 0.63(95% CI:0.43-0.81),具有显著的异质性(I² = 84%)。漏斗图显示了潜在的发表偏倚,尤其是 ChatGPT 3.5。质量评估显示存在不同程度的偏倚风险和适用性问题:结论:ChatGPT(尤其是 4.0 版)有望提高急诊室分诊的准确性。结论:ChatGPT(尤其是 4.0 版)在提高急诊室分诊准确性方面前景广阔,但其显著的差异性和潜在的偏差凸显了进一步评估和改进的必要性。
本文章由计算机程序翻译,如有差异,请以英文原文为准。
求助全文
约1分钟内获得全文 求助全文
来源期刊
Archives of Academic Emergency Medicine
Archives of Academic Emergency Medicine Medicine-Emergency Medicine
CiteScore
8.90
自引率
7.40%
发文量
0
审稿时长
6 weeks
×
引用
GB/T 7714-2015
复制
MLA
复制
APA
复制
导出至
BibTeX EndNote RefMan NoteFirst NoteExpress
×
提示
您的信息不完整,为了账户安全,请先补充。
现在去补充
×
提示
您因"违规操作"
具体请查看互助需知
我知道了
×
提示
确定
请完成安全验证×
copy
已复制链接
快去分享给好友吧!
我知道了
右上角分享
点击右上角分享
0
联系我们:info@booksci.cn Book学术提供免费学术资源搜索服务,方便国内外学者检索中英文文献。致力于提供最便捷和优质的服务体验。 Copyright © 2023 布克学术 All rights reserved.
京ICP备2023020795号-1
ghs 京公网安备 11010802042870号
Book学术文献互助
Book学术文献互助群
群 号:604180095
Book学术官方微信