Basic Reproduction Number (R0), Doubling Time, and Daily Growth Rate of the COVID-19 Epidemic: An Echological Study.

IF 2 Q1 EMERGENCY MEDICINE
Archives of Academic Emergency Medicine Pub Date : 2024-09-05 eCollection Date: 2024-01-01 DOI:10.22037/aaem.v12i1.2376
Roya Karimi, Mehrdad Farrokhi, Neda Izadi, Hadis Ghajari, Fatemeh Khosravi Shadmani, Farid Najafi, Ebrahim Shakiba, Manoochehr Karami, Masoud Shojaeian, Ghobad Moradi, Ebrahim Ghaderi, Elham Nouri, Ali Ahmadi, Abdollah Mohammadian Hafshejani, Majid Sartipi, Alireza Zali, Ayad Bahadori Monfared, Raha Davatgar, Seyed Saeed Hashemi Nazari
{"title":"Basic Reproduction Number (R0), Doubling Time, and Daily Growth Rate of the COVID-19 Epidemic: An Echological Study.","authors":"Roya Karimi, Mehrdad Farrokhi, Neda Izadi, Hadis Ghajari, Fatemeh Khosravi Shadmani, Farid Najafi, Ebrahim Shakiba, Manoochehr Karami, Masoud Shojaeian, Ghobad Moradi, Ebrahim Ghaderi, Elham Nouri, Ali Ahmadi, Abdollah Mohammadian Hafshejani, Majid Sartipi, Alireza Zali, Ayad Bahadori Monfared, Raha Davatgar, Seyed Saeed Hashemi Nazari","doi":"10.22037/aaem.v12i1.2376","DOIUrl":null,"url":null,"abstract":"<p><strong>Introduction: </strong>In infectious diseases, there are essential indices used to describe the disease state. In this study, we estimated the basic reproduction number, R0, peak level, doubling time, and daily growth rate of COVID-19.</p><p><strong>Methods: </strong>This ecological study was conducted in 5 provinces of Iran. The daily numbers of new COVID-19 cases from January 17 to February 8, 2020 were used to determine the basic reproduction number (R0), peak date, doubling time, and daily growth rates in all five provinces. A sensitivity analysis was conducted to estimate epidemiological parameters.</p><p><strong>Result: </strong>The highest and lowest number of deaths were observed in Hamedan (657 deaths) and Chaharmahal and Bakhtiari (54 deaths) provinces, respectively. The doubling time of confirmed cases in Kermanshah and Hamedan ranged widely from 18.59 days (95% confidence interval (CI): 17.38, 20) to 76.66 days (95% CI: 56.36, 119.78). In addition, the highest daily growth rates of confirmed cases were observed in Kermanshah (0.037, 95% CI: 0.034, 0.039) and Sistan and Baluchestan (0.032, 95% CI: 0.030, 0.034) provinces.</p><p><strong>Conclusion: </strong>In light of our findings, it is imperative to tailor containment strategies to the unique epidemiological profiles of each region in order to effectively mitigate the spread and impact of COVID-19. The wide variation in doubling times underscores the importance of flexibility in public health responses. By adapting measures to local conditions, we can better address the evolving dynamics of the pandemic and safeguard the well-being of communities.</p>","PeriodicalId":8146,"journal":{"name":"Archives of Academic Emergency Medicine","volume":"12 1","pages":"e66"},"PeriodicalIF":2.0000,"publicationDate":"2024-09-05","publicationTypes":"Journal Article","fieldsOfStudy":null,"isOpenAccess":false,"openAccessPdf":"https://www.ncbi.nlm.nih.gov/pmc/articles/PMC11407535/pdf/","citationCount":"0","resultStr":null,"platform":"Semanticscholar","paperid":null,"PeriodicalName":"Archives of Academic Emergency Medicine","FirstCategoryId":"1085","ListUrlMain":"https://doi.org/10.22037/aaem.v12i1.2376","RegionNum":0,"RegionCategory":null,"ArticlePicture":[],"TitleCN":null,"AbstractTextCN":null,"PMCID":null,"EPubDate":"2024/1/1 0:00:00","PubModel":"eCollection","JCR":"Q1","JCRName":"EMERGENCY MEDICINE","Score":null,"Total":0}
引用次数: 0

Abstract

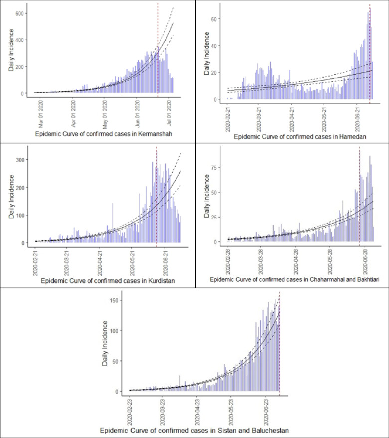
Introduction: In infectious diseases, there are essential indices used to describe the disease state. In this study, we estimated the basic reproduction number, R0, peak level, doubling time, and daily growth rate of COVID-19.

Methods: This ecological study was conducted in 5 provinces of Iran. The daily numbers of new COVID-19 cases from January 17 to February 8, 2020 were used to determine the basic reproduction number (R0), peak date, doubling time, and daily growth rates in all five provinces. A sensitivity analysis was conducted to estimate epidemiological parameters.

Result: The highest and lowest number of deaths were observed in Hamedan (657 deaths) and Chaharmahal and Bakhtiari (54 deaths) provinces, respectively. The doubling time of confirmed cases in Kermanshah and Hamedan ranged widely from 18.59 days (95% confidence interval (CI): 17.38, 20) to 76.66 days (95% CI: 56.36, 119.78). In addition, the highest daily growth rates of confirmed cases were observed in Kermanshah (0.037, 95% CI: 0.034, 0.039) and Sistan and Baluchestan (0.032, 95% CI: 0.030, 0.034) provinces.

Conclusion: In light of our findings, it is imperative to tailor containment strategies to the unique epidemiological profiles of each region in order to effectively mitigate the spread and impact of COVID-19. The wide variation in doubling times underscores the importance of flexibility in public health responses. By adapting measures to local conditions, we can better address the evolving dynamics of the pandemic and safeguard the well-being of communities.

Abstract Image

Abstract Image

Abstract Image

COVID-19 流行病的基本繁殖数 (R0)、倍增时间和日增长率:回声学研究。
引言在传染病中,有一些重要的指标用于描述疾病状态。在本研究中,我们估算了 COVID-19 的基本繁殖数 R0、峰值水平、加倍时间和日生长率:这项生态研究在伊朗 5 个省进行。根据 2020 年 1 月 17 日至 2 月 8 日期间每天新增的 COVID-19 病例数,确定了所有五个省份的基本繁殖数(R0)、峰值日期、加倍时间和日增长率。为估算流行病学参数进行了敏感性分析:死亡人数最多和最少的省份分别是哈马丹省(657 人死亡)、察哈哈尔省和巴赫季亚里省(54 人死亡)。在克尔曼沙阿省和哈马丹省,确诊病例的倍增时间从 18.59 天(95% 置信区间:17.38-20)到 76.66 天(95% 置信区间:56.36-119.78)不等。此外,在克尔曼沙阿省(0.037,95% CI:0.034,0.039)以及锡斯坦和俾路支斯坦省(0.032,95% CI:0.030,0.034)观察到的确诊病例日增长率最高:根据我们的研究结果,当务之急是根据各地区独特的流行病学特征制定遏制策略,以有效减轻 COVID-19 的传播和影响。加倍时间的巨大差异凸显了公共卫生应对措施灵活性的重要性。通过因地制宜地调整措施,我们可以更好地应对大流行病不断变化的态势,保障社区的福祉。
本文章由计算机程序翻译,如有差异,请以英文原文为准。
求助全文
约1分钟内获得全文 求助全文
来源期刊
Archives of Academic Emergency Medicine
Archives of Academic Emergency Medicine Medicine-Emergency Medicine
CiteScore
8.90
自引率
7.40%
发文量
0
审稿时长
6 weeks
×
引用
GB/T 7714-2015
复制
MLA
复制
APA
复制
导出至
BibTeX EndNote RefMan NoteFirst NoteExpress
×
提示
您的信息不完整,为了账户安全,请先补充。
现在去补充
×
提示
您因"违规操作"
具体请查看互助需知
我知道了
×
提示
确定
请完成安全验证×
copy
已复制链接
快去分享给好友吧!
我知道了
右上角分享
点击右上角分享
0
联系我们:info@booksci.cn Book学术提供免费学术资源搜索服务,方便国内外学者检索中英文文献。致力于提供最便捷和优质的服务体验。 Copyright © 2023 布克学术 All rights reserved.
京ICP备2023020795号-1
ghs 京公网安备 11010802042870号
Book学术文献互助
Book学术文献互助群
群 号:604180095
Book学术官方微信