Efficacy and safety evaluation of imidafenacin administered twice daily for continency recovery following radical prostatectomy in prostate cancer patients: Prospective open-label case-controlled randomized trial.

IF 2.1 3区 医学 Q2 UROLOGY & NEPHROLOGY
Jun Hee Lee, Hyeok Jun Goh, Kisoo Lee, Dong Won Choi, Kwang Min Lee, Soodong Kim
{"title":"Efficacy and safety evaluation of imidafenacin administered twice daily for continency recovery following radical prostatectomy in prostate cancer patients: Prospective open-label case-controlled randomized trial.","authors":"Jun Hee Lee, Hyeok Jun Goh, Kisoo Lee, Dong Won Choi, Kwang Min Lee, Soodong Kim","doi":"10.4111/icu.20240129","DOIUrl":null,"url":null,"abstract":"<p><strong>Purpose: </strong>This study aims to prospectively analyze the effects of anticholinergic therapy using imidafenacin on detrusor overactivity occurring after robot-assisted radical prostatectomy (RARP).</p><p><strong>Materials and methods: </strong>Patients were followed-up at outpatient visits 2-4 weeks post-surgery (visit 2) to confirm the presence of urinary incontinence. Those confirmed with urinary incontinence were randomly assigned in a 1:1 ratio to the anticholinergic medication group (imidafenacin 0.1 mg twice daily) or the control group. Patients were followed-up at 1, 3, and 6 months post-surgery for observational assessments, including the International Prostate Symptom Score (IPSS) and Overactive Bladder Symptom Score (OABSS).</p><p><strong>Results: </strong>A total of 49 patients (25 in the treatment group and 24 in the control group) were randomized for the study. There were no differences observed between the groups in terms of age, comorbidities, prostate size, or pathological staging. According to the IPSS questionnaire results, there was no statistically significant difference between the medication and control groups (p=0.161). However, when comparing storage and voiding symptoms separately, there was a statistically significant improvement in storage symptom scores (p=0.012). OABSS also revealed statistically significant improvement in symptoms from 3 months post-surgery (p=0.005), which persisted until 6 months post-surgery (IPSS storage: p=0.023, OABSS: p=0.013).</p><p><strong>Conclusions: </strong>In the case of urinary incontinence that occurs after RARP, even if the function of the intrinsic sphincter is sufficiently preserved, if urinary incontinence persists due to changes in the bladder, pharmacological therapy using imidafenacin can be beneficial in managing urinary incontinence.</p>","PeriodicalId":14522,"journal":{"name":"Investigative and Clinical Urology","volume":"65 5","pages":"466-472"},"PeriodicalIF":2.1000,"publicationDate":"2024-09-01","publicationTypes":"Journal Article","fieldsOfStudy":null,"isOpenAccess":false,"openAccessPdf":"https://www.ncbi.nlm.nih.gov/pmc/articles/PMC11390266/pdf/","citationCount":"0","resultStr":null,"platform":"Semanticscholar","paperid":null,"PeriodicalName":"Investigative and Clinical Urology","FirstCategoryId":"3","ListUrlMain":"https://doi.org/10.4111/icu.20240129","RegionNum":3,"RegionCategory":"医学","ArticlePicture":[],"TitleCN":null,"AbstractTextCN":null,"PMCID":null,"EPubDate":"","PubModel":"","JCR":"Q2","JCRName":"UROLOGY & NEPHROLOGY","Score":null,"Total":0}
引用次数: 0

Abstract

Purpose: This study aims to prospectively analyze the effects of anticholinergic therapy using imidafenacin on detrusor overactivity occurring after robot-assisted radical prostatectomy (RARP).

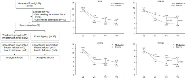
Materials and methods: Patients were followed-up at outpatient visits 2-4 weeks post-surgery (visit 2) to confirm the presence of urinary incontinence. Those confirmed with urinary incontinence were randomly assigned in a 1:1 ratio to the anticholinergic medication group (imidafenacin 0.1 mg twice daily) or the control group. Patients were followed-up at 1, 3, and 6 months post-surgery for observational assessments, including the International Prostate Symptom Score (IPSS) and Overactive Bladder Symptom Score (OABSS).

Results: A total of 49 patients (25 in the treatment group and 24 in the control group) were randomized for the study. There were no differences observed between the groups in terms of age, comorbidities, prostate size, or pathological staging. According to the IPSS questionnaire results, there was no statistically significant difference between the medication and control groups (p=0.161). However, when comparing storage and voiding symptoms separately, there was a statistically significant improvement in storage symptom scores (p=0.012). OABSS also revealed statistically significant improvement in symptoms from 3 months post-surgery (p=0.005), which persisted until 6 months post-surgery (IPSS storage: p=0.023, OABSS: p=0.013).

Conclusions: In the case of urinary incontinence that occurs after RARP, even if the function of the intrinsic sphincter is sufficiently preserved, if urinary incontinence persists due to changes in the bladder, pharmacological therapy using imidafenacin can be beneficial in managing urinary incontinence.

Abstract Image

Abstract Image

Abstract Image

前列腺癌患者根治性前列腺切除术后,每日两次服用咪达那新促进尿失禁恢复的有效性和安全性评估:前瞻性开放标签病例对照随机试验。
目的:本研究旨在前瞻性地分析使用咪达那新进行抗胆碱能治疗对机器人辅助前列腺癌根治术(RARP)后发生的逼尿肌过度活动的影响:患者在手术后 2-4 周(第 2 次就诊)接受门诊随访,以确认是否存在尿失禁。确认有尿失禁的患者按 1:1 的比例随机分配到抗胆碱能药物组(咪达那新 0.1 毫克,每天两次)或对照组。术后1、3和6个月对患者进行随访,进行观察评估,包括国际前列腺症状评分(IPSS)和膀胱过度活动症状评分(OABSS):共有 49 名患者(治疗组 25 人,对照组 24 人)被随机纳入研究。两组患者在年龄、合并症、前列腺大小或病理分期方面均无差异。根据 IPSS 问卷调查结果,药物治疗组和对照组之间没有统计学差异(P=0.161)。不过,如果分别比较储尿症状和排尿症状,储尿症状得分有统计学意义的显著改善(P=0.012)。OABSS也显示,从术后3个月起,症状有了统计学意义上的明显改善(p=0.005),这种改善一直持续到术后6个月(IPSS储尿:p=0.023,OABSS:p=0.013):结论:在RARP术后出现尿失禁的情况下,即使内在括约肌的功能得到了充分的保留,如果由于膀胱的变化而导致尿失禁持续存在,使用咪达那新进行药物治疗对控制尿失禁是有益的。
本文章由计算机程序翻译,如有差异,请以英文原文为准。
求助全文
约1分钟内获得全文 求助全文
来源期刊
CiteScore
4.10
自引率
4.30%
发文量
82
审稿时长
4 weeks
期刊介绍: Investigative and Clinical Urology (Investig Clin Urol, ICUrology) is an international, peer-reviewed, platinum open access journal published bimonthly. ICUrology aims to provide outstanding scientific and clinical research articles, that will advance knowledge and understanding of urological diseases and current therapeutic treatments. ICUrology publishes Original Articles, Rapid Communications, Review Articles, Special Articles, Innovations in Urology, Editorials, and Letters to the Editor, with a focus on the following areas of expertise: • Precision Medicine in Urology • Urological Oncology • Robotics/Laparoscopy • Endourology/Urolithiasis • Lower Urinary Tract Dysfunction • Female Urology • Sexual Dysfunction/Infertility • Infection/Inflammation • Reconstruction/Transplantation • Geriatric Urology • Pediatric Urology • Basic/Translational Research One of the notable features of ICUrology is the application of multimedia platforms facilitating easy-to-access online video clips of newly developed surgical techniques from the journal''s website, by a QR (quick response) code located in the article, or via YouTube. ICUrology provides current and highly relevant knowledge to a broad audience at the cutting edge of urological research and clinical practice.
×
引用
GB/T 7714-2015
复制
MLA
复制
APA
复制
导出至
BibTeX EndNote RefMan NoteFirst NoteExpress
×
提示
您的信息不完整,为了账户安全,请先补充。
现在去补充
×
提示
您因"违规操作"
具体请查看互助需知
我知道了
×
提示
确定
请完成安全验证×
copy
已复制链接
快去分享给好友吧!
我知道了
右上角分享
点击右上角分享
0
联系我们:info@booksci.cn Book学术提供免费学术资源搜索服务,方便国内外学者检索中英文文献。致力于提供最便捷和优质的服务体验。 Copyright © 2023 布克学术 All rights reserved.
京ICP备2023020795号-1
ghs 京公网安备 11010802042870号
Book学术文献互助
Book学术文献互助群
群 号:604180095
Book学术官方微信