Evaluation of Neutralizing Capacity of Tixagevimab plus Cilgavimab (AZD7442) against Different SARS-CoV-2 Variants: A Case Report Study with Comparison to a Vaccinated Population.

IF 0.8 Q4 INFECTIOUS DISEASES
Case Reports in Infectious Diseases Pub Date : 2024-08-31 eCollection Date: 2024-01-01 DOI:10.1155/2024/9163490
Constant Gillot, Jean-Louis Bayart, Vincent Maloteau, Jean-Michel Dogné, Jonathan Douxfils, Julien Favresse
{"title":"Evaluation of Neutralizing Capacity of Tixagevimab plus Cilgavimab (AZD7442) against Different SARS-CoV-2 Variants: A Case Report Study with Comparison to a Vaccinated Population.","authors":"Constant Gillot, Jean-Louis Bayart, Vincent Maloteau, Jean-Michel Dogné, Jonathan Douxfils, Julien Favresse","doi":"10.1155/2024/9163490","DOIUrl":null,"url":null,"abstract":"<p><p>AZD7442 (150 mg of tixagevimab plus 150 mg of cilgavimab) has been approved for the preexposure prophylaxis of COVID-19 and for the treatment of adults and adolescents with COVID-19 who do not require supplemental oxygen and who are at increased risk of severe COVID-19. Thus, the aim of the present study is to evaluate the neutralizing capacity of tixagevimab and cilgavimab across different SARS-CoV-2 variants in two patients who received AZD7442 for immunoprophylaxis. A cohort of subjects (<i>n</i> = 45) who had received the BNT162b2 mRNA COVID-19 vaccine has been included to compare these two preventive strategies. Neutralizing antibody (NAb) titers against several variants were assessed against the wild-type, alpha, beta, gamma, delta, omicron BA.5, and XBB.1.5 variants. Binding antibodies have also been measured. NAbs <i>T</i> <sub>1/2</sub> for AZD7442 was 8.1 days (95% CI: 5.1-19.5 days) and was 11.8 days (95% CI: 7.9-23.7 days) for the primo-vaccination cohort. The time to reach neutralization negativity was 108.3 days (95% CI: 66.9-130.7) for AZD7442 compared to 95.4 days (95% CI: 31.0-119.7 days) for the primo-vaccination cohort. The time to reach NAbs' negativity differs between variants with the maximum value obtained for alpha (i.e., 101.1 days (95% CI: 30.0-135.4 days)) and the minimum obtained for beta (i.e., 61.2 days (95% CI: 37.8-77.1 days)). Our results reinforce the need of reviewing the use of AZD7442 in relation to variants of concern and potentially adapting its administration schedule. AZD7442 could be indicated for short-term prophylaxis in frail patients who may be acutely exposed to SARS-CoV-2.</p>","PeriodicalId":9608,"journal":{"name":"Case Reports in Infectious Diseases","volume":"2024 ","pages":"9163490"},"PeriodicalIF":0.8000,"publicationDate":"2024-08-31","publicationTypes":"Journal Article","fieldsOfStudy":null,"isOpenAccess":false,"openAccessPdf":"https://www.ncbi.nlm.nih.gov/pmc/articles/PMC11380708/pdf/","citationCount":"0","resultStr":null,"platform":"Semanticscholar","paperid":null,"PeriodicalName":"Case Reports in Infectious Diseases","FirstCategoryId":"1085","ListUrlMain":"https://doi.org/10.1155/2024/9163490","RegionNum":0,"RegionCategory":null,"ArticlePicture":[],"TitleCN":null,"AbstractTextCN":null,"PMCID":null,"EPubDate":"2024/1/1 0:00:00","PubModel":"eCollection","JCR":"Q4","JCRName":"INFECTIOUS DISEASES","Score":null,"Total":0}
引用次数: 0

Abstract

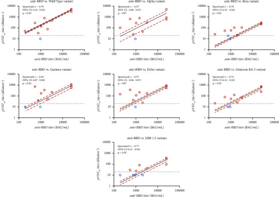
AZD7442 (150 mg of tixagevimab plus 150 mg of cilgavimab) has been approved for the preexposure prophylaxis of COVID-19 and for the treatment of adults and adolescents with COVID-19 who do not require supplemental oxygen and who are at increased risk of severe COVID-19. Thus, the aim of the present study is to evaluate the neutralizing capacity of tixagevimab and cilgavimab across different SARS-CoV-2 variants in two patients who received AZD7442 for immunoprophylaxis. A cohort of subjects (n = 45) who had received the BNT162b2 mRNA COVID-19 vaccine has been included to compare these two preventive strategies. Neutralizing antibody (NAb) titers against several variants were assessed against the wild-type, alpha, beta, gamma, delta, omicron BA.5, and XBB.1.5 variants. Binding antibodies have also been measured. NAbs T 1/2 for AZD7442 was 8.1 days (95% CI: 5.1-19.5 days) and was 11.8 days (95% CI: 7.9-23.7 days) for the primo-vaccination cohort. The time to reach neutralization negativity was 108.3 days (95% CI: 66.9-130.7) for AZD7442 compared to 95.4 days (95% CI: 31.0-119.7 days) for the primo-vaccination cohort. The time to reach NAbs' negativity differs between variants with the maximum value obtained for alpha (i.e., 101.1 days (95% CI: 30.0-135.4 days)) and the minimum obtained for beta (i.e., 61.2 days (95% CI: 37.8-77.1 days)). Our results reinforce the need of reviewing the use of AZD7442 in relation to variants of concern and potentially adapting its administration schedule. AZD7442 could be indicated for short-term prophylaxis in frail patients who may be acutely exposed to SARS-CoV-2.

Abstract Image

Abstract Image

Abstract Image

评估 Tixagevimab 加 Cilgavimab (AZD7442) 对不同 SARS-CoV-2 变体的中和能力:与接种疫苗人群进行比较的病例报告研究。
AZD7442 (150 毫克 tixagevimab 加 150 毫克 cilgavimab)已被批准用于 COVID-19 的暴露前预防,以及治疗不需要补充氧气但 COVID-19 严重风险增加的成人和青少年患者。因此,本研究旨在评估 tixagevimab 和 cilgavimab 在接受 AZD7442 免疫预防的两名患者中不同 SARS-CoV-2 变体的中和能力。为了比较这两种预防策略,还纳入了一组接受过 BNT162b2 mRNA COVID-19 疫苗的受试者(n = 45)。针对几种变体的中和抗体(NAb)滴度进行了评估,包括野生型、α、β、γ、δ、Omicron BA.5和XBB.1.5变体。还测定了结合抗体。AZD7442 的 NAbs T 1/2 为 8.1 天(95% CI:5.1-19.5 天),初次接种队列的 NAbs T 1/2 为 11.8 天(95% CI:7.9-23.7 天)。AZD7442达到中和阴性的时间为108.3天(95% CI:66.9-130.7天),而初次接种队列为95.4天(95% CI:31.0-119.7天)。不同变异株达到 NAbs 阴性的时间不同,α 变异株的时间最长(101.1 天(95% CI:30.0-135.4 天)),β 变异株的时间最短(61.2 天(95% CI:37.8-77.1 天))。我们的研究结果进一步说明,有必要审查 AZD7442 的使用是否与所关注的变异体有关,并有可能调整其给药时间表。AZD7442可用于可能急性感染SARS-CoV-2的体弱患者的短期预防。
本文章由计算机程序翻译,如有差异,请以英文原文为准。
求助全文
约1分钟内获得全文 求助全文
来源期刊
自引率
0.00%
发文量
64
审稿时长
13 weeks
×
引用
GB/T 7714-2015
复制
MLA
复制
APA
复制
导出至
BibTeX EndNote RefMan NoteFirst NoteExpress
×
提示
您的信息不完整,为了账户安全,请先补充。
现在去补充
×
提示
您因"违规操作"
具体请查看互助需知
我知道了
×
提示
确定
请完成安全验证×
copy
已复制链接
快去分享给好友吧!
我知道了
右上角分享
点击右上角分享
0
联系我们:info@booksci.cn Book学术提供免费学术资源搜索服务,方便国内外学者检索中英文文献。致力于提供最便捷和优质的服务体验。 Copyright © 2023 布克学术 All rights reserved.
京ICP备2023020795号-1
ghs 京公网安备 11010802042870号
Book学术文献互助
Book学术文献互助群
群 号:604180095
Book学术官方微信