Low asparagine wheat: Europe's first field trial of genome edited wheat amid rapidly changing regulations on acrylamide in food and genome editing of crops.

IF 2.2 4区 农林科学 Q2 AGRONOMY
Breeding Science Pub Date : 2024-03-01 Epub Date: 2024-03-20 DOI:10.1270/jsbbs.23058
Navneet Kaur, Natasha Brock, Sarah Raffan, Nigel G Halford
{"title":"Low asparagine wheat: Europe's first field trial of genome edited wheat amid rapidly changing regulations on acrylamide in food and genome editing of crops.","authors":"Navneet Kaur, Natasha Brock, Sarah Raffan, Nigel G Halford","doi":"10.1270/jsbbs.23058","DOIUrl":null,"url":null,"abstract":"<p><p>We review the undertaking of a field trial of low asparagine wheat lines in which the asparagine synthetase gene, <i>TaASN2</i>, has been knocked out using CRISPR/Cas9. The field trial was undertaken in 2021-2022 and represented the first field release of genome edited wheat in Europe. The year of the field trial and the period since have seen rapid changes in the regulations covering both the field release and commercialisation of genome edited crops in the UK. These historic developments are reviewed in detail. Free asparagine is the precursor for acrylamide formation during high-temperature cooking and processing of grains, tubers, storage roots, beans and other crop products. Consequently, work on reducing the free asparagine concentration of wheat and other cereal grains, as well as the tubers, beans and storage roots of other crops, is driven by the need for food businesses to comply with current and potential future regulations on acrylamide content of foods. The topic illustrates how strategic and applied crop research is driven by regulations and also needs a supportive regulatory environment in which to thrive.</p>","PeriodicalId":9258,"journal":{"name":"Breeding Science","volume":"74 1","pages":"37-46"},"PeriodicalIF":2.2000,"publicationDate":"2024-03-01","publicationTypes":"Journal Article","fieldsOfStudy":null,"isOpenAccess":false,"openAccessPdf":"https://www.ncbi.nlm.nih.gov/pmc/articles/PMC11375425/pdf/","citationCount":"0","resultStr":null,"platform":"Semanticscholar","paperid":null,"PeriodicalName":"Breeding Science","FirstCategoryId":"97","ListUrlMain":"https://doi.org/10.1270/jsbbs.23058","RegionNum":4,"RegionCategory":"农林科学","ArticlePicture":[],"TitleCN":null,"AbstractTextCN":null,"PMCID":null,"EPubDate":"2024/3/20 0:00:00","PubModel":"Epub","JCR":"Q2","JCRName":"AGRONOMY","Score":null,"Total":0}
引用次数: 0

Abstract

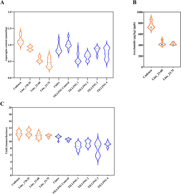
We review the undertaking of a field trial of low asparagine wheat lines in which the asparagine synthetase gene, TaASN2, has been knocked out using CRISPR/Cas9. The field trial was undertaken in 2021-2022 and represented the first field release of genome edited wheat in Europe. The year of the field trial and the period since have seen rapid changes in the regulations covering both the field release and commercialisation of genome edited crops in the UK. These historic developments are reviewed in detail. Free asparagine is the precursor for acrylamide formation during high-temperature cooking and processing of grains, tubers, storage roots, beans and other crop products. Consequently, work on reducing the free asparagine concentration of wheat and other cereal grains, as well as the tubers, beans and storage roots of other crops, is driven by the need for food businesses to comply with current and potential future regulations on acrylamide content of foods. The topic illustrates how strategic and applied crop research is driven by regulations and also needs a supportive regulatory environment in which to thrive.

Abstract Image

Abstract Image

Abstract Image

低天门冬酰胺小麦:在有关食品中丙烯酰胺和作物基因组编辑的法规快速变化的背景下,欧洲首次对基因组编辑小麦进行田间试验。
我们回顾了利用 CRISPR/Cas9 基因敲除天门冬酰胺合成酶基因 TaASN2 的低天门冬酰胺小麦品系的田间试验。田间试验于 2021-2022 年进行,是基因组编辑小麦在欧洲的首次田间发布。在田间试验当年及此后的一段时间里,英国有关基因组编辑作物的田间发布和商业化的法规发生了迅速变化。本文对这些历史性发展进行了详细回顾。游离天冬酰胺是谷物、块茎、贮藏根茎、豆类和其他作物产品在高温烹饪和加工过程中形成丙烯酰胺的前体。因此,降低小麦和其他谷物以及其他作物的块茎、豆类和贮藏根中游离天门冬酰胺浓度的工作,是由食品企业遵守当前和未来可能出台的食品丙烯酰胺含量法规的需要所驱动的。该主题说明了战略性和应用性作物研究如何受到法规的驱动,同时也需要一个支持性的法规环境才能蓬勃发展。
本文章由计算机程序翻译,如有差异,请以英文原文为准。
求助全文
约1分钟内获得全文 求助全文
来源期刊
Breeding Science
Breeding Science 农林科学-农艺学
CiteScore
4.90
自引率
4.20%
发文量
37
审稿时长
1.5 months
期刊介绍: Breeding Science is published by the Japanese Society of Breeding. Breeding Science publishes research papers, notes and reviews related to breeding. Research Papers are standard original articles. Notes report new cultivars, breeding lines, germplasms, genetic stocks, mapping populations, database, software, and techniques significant and useful for breeding. Reviews summarize recent and historical events related breeding. Manuscripts should be submitted by corresponding author. Corresponding author must have obtained permission from all authors prior to submission. Correspondence, proofs, and charges of excess page and color figures should be handled by the corresponding author.
×
引用
GB/T 7714-2015
复制
MLA
复制
APA
复制
导出至
BibTeX EndNote RefMan NoteFirst NoteExpress
×
提示
您的信息不完整,为了账户安全,请先补充。
现在去补充
×
提示
您因"违规操作"
具体请查看互助需知
我知道了
×
提示
确定
请完成安全验证×
copy
已复制链接
快去分享给好友吧!
我知道了
右上角分享
点击右上角分享
0
联系我们:info@booksci.cn Book学术提供免费学术资源搜索服务,方便国内外学者检索中英文文献。致力于提供最便捷和优质的服务体验。 Copyright © 2023 布克学术 All rights reserved.
京ICP备2023020795号-1
ghs 京公网安备 11010802042870号
Book学术文献互助
Book学术文献互助群
群 号:604180095
Book学术官方微信