The change of epicardial adipose tissue characteristics and vulnerability for atrial fibrillation upon drastic weight loss.

IF 3.1 4区 生物学 Q2 ENDOCRINOLOGY & METABOLISM
Adipocyte Pub Date : 2024-12-01 Epub Date: 2024-09-09 DOI:10.1080/21623945.2024.2395565
Eva R Meulendijks, Carolina Janssen-Telders, Elise L Hulsman, Nick Lobe, Pietro Zappala, Marc M Terpstra, Robin Wesselink, Tim A C de Vries, Rushd F Al-Shama, Ruben N van Veen, Steve M M de Castro, Claire E E de Vries, Leontien M G Nijland, R Nils Planken, Sebastien P J Krul, Joris R de Groot
{"title":"The change of epicardial adipose tissue characteristics and vulnerability for atrial fibrillation upon drastic weight loss.","authors":"Eva R Meulendijks, Carolina Janssen-Telders, Elise L Hulsman, Nick Lobe, Pietro Zappala, Marc M Terpstra, Robin Wesselink, Tim A C de Vries, Rushd F Al-Shama, Ruben N van Veen, Steve M M de Castro, Claire E E de Vries, Leontien M G Nijland, R Nils Planken, Sebastien P J Krul, Joris R de Groot","doi":"10.1080/21623945.2024.2395565","DOIUrl":null,"url":null,"abstract":"<p><strong>Background: </strong>Obesity increases the risk of atrial fibrillation (AF). We hypothesize that 'obese' epicardial adipose tissue (EAT) is, regardless of comorbidities, associated with markers of AF vulnerability.</p><p><strong>Methods: </strong>Patients >40y of age undergoing bariatric surgery and using <2 antihypertensive drugs and no insulin were prospectively included. Study investigations were conducted before and 1y after surgery. Heart rhythm and p-wave duration were measured through ECGs and 7-d-holters. EAT-volume and attenuation were determined on non-enhanced CT scans. Serum markers were quantified by ELISA.</p><p><strong>Results: </strong>Thirty-seven patients underwent surgery (age: 52.1 ± 5.9y; 27 women; no AF). Increased p-wave duration correlated with higher BMI, larger EAT volumes, and lower EAT attenuations (p < 0.05). Post-surgery, p-wave duration decreased from 109 ± 11 to 102 ± 11ms. Concurrently, EAT volume decreased from 132 ± 49 to 87 ± 52ml, BMI from 43.2 ± 5.2 to 28.9 ± 4.6kg/m<sup>2</sup>, and EAT attenuation increased from -76.1 ± 4.0 to -71.7 ± 4.4HU (p <0.001). Adiponectin increased from 8.7 ± 0.8 to 14.2 ± 1.0 μg/ml (p <0.001). However, decreased p-wave durations were not related to changed EAT characteristics, BMI or adiponectin.</p><p><strong>Conclusion: </strong>In this explorative study, longer p-wave durations related to higher BMIs, larger EAT volume, and lower EAT attenuations. P-wave duration and EAT volume decreased, and EAT attenuation increased upon drastic weightloss. However, there was no relation between decreased p-wave duration and changed BMI or EAT characteristics.</p>","PeriodicalId":7226,"journal":{"name":"Adipocyte","volume":"13 1","pages":"2395565"},"PeriodicalIF":3.1000,"publicationDate":"2024-12-01","publicationTypes":"Journal Article","fieldsOfStudy":null,"isOpenAccess":false,"openAccessPdf":"https://www.ncbi.nlm.nih.gov/pmc/articles/PMC11385166/pdf/","citationCount":"0","resultStr":null,"platform":"Semanticscholar","paperid":null,"PeriodicalName":"Adipocyte","FirstCategoryId":"99","ListUrlMain":"https://doi.org/10.1080/21623945.2024.2395565","RegionNum":4,"RegionCategory":"生物学","ArticlePicture":[],"TitleCN":null,"AbstractTextCN":null,"PMCID":null,"EPubDate":"2024/9/9 0:00:00","PubModel":"Epub","JCR":"Q2","JCRName":"ENDOCRINOLOGY & METABOLISM","Score":null,"Total":0}
引用次数: 0

Abstract

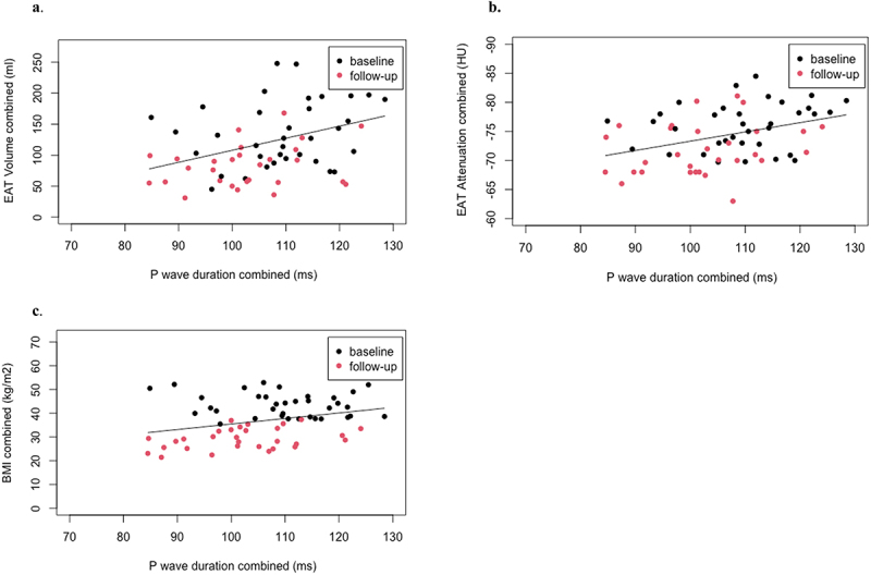
Background: Obesity increases the risk of atrial fibrillation (AF). We hypothesize that 'obese' epicardial adipose tissue (EAT) is, regardless of comorbidities, associated with markers of AF vulnerability.

Methods: Patients >40y of age undergoing bariatric surgery and using <2 antihypertensive drugs and no insulin were prospectively included. Study investigations were conducted before and 1y after surgery. Heart rhythm and p-wave duration were measured through ECGs and 7-d-holters. EAT-volume and attenuation were determined on non-enhanced CT scans. Serum markers were quantified by ELISA.

Results: Thirty-seven patients underwent surgery (age: 52.1 ± 5.9y; 27 women; no AF). Increased p-wave duration correlated with higher BMI, larger EAT volumes, and lower EAT attenuations (p < 0.05). Post-surgery, p-wave duration decreased from 109 ± 11 to 102 ± 11ms. Concurrently, EAT volume decreased from 132 ± 49 to 87 ± 52ml, BMI from 43.2 ± 5.2 to 28.9 ± 4.6kg/m2, and EAT attenuation increased from -76.1 ± 4.0 to -71.7 ± 4.4HU (p <0.001). Adiponectin increased from 8.7 ± 0.8 to 14.2 ± 1.0 μg/ml (p <0.001). However, decreased p-wave durations were not related to changed EAT characteristics, BMI or adiponectin.

Conclusion: In this explorative study, longer p-wave durations related to higher BMIs, larger EAT volume, and lower EAT attenuations. P-wave duration and EAT volume decreased, and EAT attenuation increased upon drastic weightloss. However, there was no relation between decreased p-wave duration and changed BMI or EAT characteristics.

Abstract Image

Abstract Image

Abstract Image

体重急剧下降时心外膜脂肪组织特征和心房颤动易感性的变化
背景:肥胖会增加心房颤动(房颤)的风险。我们假设 "肥胖 "的心外膜脂肪组织(EAT)与心房颤动易感性标志物相关,而与合并症无关:方法:年龄大于 40 岁、接受减肥手术并使用减肥药的患者:37 名患者接受了手术(年龄:52.1 ± 5.9 岁;27 名女性;无房颤)。p 波持续时间的增加与较高的体重指数、较大的 EAT 容量和较低的 EAT 衰减相关(p < 0.05)。手术后,p 波持续时间从 109 ± 11 毫秒降至 102 ± 11 毫秒。同时,EAT容积从132±49毫升降至87±52毫升,BMI从43.2±5.2降至28.9±4.6kg/m2,EAT衰减从-76.1±4.0增至-71.7±4.4HU(p 结论:手术后,P波持续时间从109±11毫秒降至102±11毫秒:在这项探索性研究中,较长的 P 波持续时间与较高的体重指数、较大的 EAT 容量和较低的 EAT 衰减有关。体重急剧下降时,P 波持续时间和 EAT 容量减少,EAT 衰减增加。然而,p波持续时间的缩短与体重指数或EAT特征的改变没有关系。
本文章由计算机程序翻译,如有差异,请以英文原文为准。
求助全文
约1分钟内获得全文 求助全文
来源期刊
Adipocyte
Adipocyte Medicine-Histology
CiteScore
6.50
自引率
3.00%
发文量
46
审稿时长
32 weeks
期刊介绍: Adipocyte recognizes that the adipose tissue is the largest endocrine organ in the body, and explores the link between dysfunctional adipose tissue and the growing number of chronic diseases including diabetes, hypertension, cardiovascular disease and cancer. Historically, the primary function of the adipose tissue was limited to energy storage and thermoregulation. However, a plethora of research over the past 3 decades has recognized the dynamic role of the adipose tissue and its contribution to a variety of physiological processes including reproduction, angiogenesis, apoptosis, inflammation, blood pressure, coagulation, fibrinolysis, immunity and general metabolic homeostasis. The field of Adipose Tissue research has grown tremendously, and Adipocyte is the first international peer-reviewed journal of its kind providing a multi-disciplinary forum for research focusing exclusively on all aspects of adipose tissue physiology and pathophysiology. Adipocyte accepts high-profile submissions in basic, translational and clinical research.
×
引用
GB/T 7714-2015
复制
MLA
复制
APA
复制
导出至
BibTeX EndNote RefMan NoteFirst NoteExpress
×
提示
您的信息不完整,为了账户安全,请先补充。
现在去补充
×
提示
您因"违规操作"
具体请查看互助需知
我知道了
×
提示
确定
请完成安全验证×
copy
已复制链接
快去分享给好友吧!
我知道了
右上角分享
点击右上角分享
0
联系我们:info@booksci.cn Book学术提供免费学术资源搜索服务,方便国内外学者检索中英文文献。致力于提供最便捷和优质的服务体验。 Copyright © 2023 布克学术 All rights reserved.
京ICP备2023020795号-1
ghs 京公网安备 11010802042870号
Book学术文献互助
Book学术文献互助群
群 号:604180095
Book学术官方微信