Cardiac autonomic regulation during submaximal exercise in women with fibromyalgia.

IF 1.6 Q3 REHABILITATION
Journal of Exercise Rehabilitation Pub Date : 2024-08-31 eCollection Date: 2024-08-01 DOI:10.12965/jer.2448300.150
Julio Cezar Schamne, Pamela Souza Santos, Victor Henrique Vieira Cavalcante, Felippi Gonçalves, Gislaine Cristina-Souza, Alisson Henrique Marinho, Saulo Senoski, Romulo Bertuzzi, Nilo Massaru Okuno, Adriano Eduardo Lima-Silva
{"title":"Cardiac autonomic regulation during submaximal exercise in women with fibromyalgia.","authors":"Julio Cezar Schamne, Pamela Souza Santos, Victor Henrique Vieira Cavalcante, Felippi Gonçalves, Gislaine Cristina-Souza, Alisson Henrique Marinho, Saulo Senoski, Romulo Bertuzzi, Nilo Massaru Okuno, Adriano Eduardo Lima-Silva","doi":"10.12965/jer.2448300.150","DOIUrl":null,"url":null,"abstract":"<p><p>Fibromyalgia (FM) patients present impaired cardiac autonomic regulation during maximal exercise; however, it is unknown whether these alterations also manifest during submaximal exercise. The aim of this study was to compare the on-transient heart rate (HR) response and HR variability during a constant-load submaximal cycling exercise between FM and control (CON) women. Ten women with FM (age: 45.2±9.3 years) and 10 age-matched CON women (age: 48.4±6.1 years) performed a 15-min cycling exercise, with the work rate fixed at 50% of the individual peak power output attained in a maximal graded exercise test. The time intervals between consecutive heartbeats were recorded regularly during the exercise for subsequent analysis of on-transient HR response and HR variability indices. The on-transient HR time constant was similar (<i>P</i>=0.83) between the FM (41.0±14.1 sec) and CON (42.2±10.4 sec). During the 5-10 and 10-15 min of exercise, HR variability indices indicating sympathetic and parasympathetic activities were similar (<i>P</i>>0.05) between FM and CON groups. In conclusion, women with FM presented a normal cardiac autonomic response to submaximal cycling exercise. These findings have clinical relevance, as submaximal exercises are commonly prescribed for FM patients.</p>","PeriodicalId":15771,"journal":{"name":"Journal of Exercise Rehabilitation","volume":"20 4","pages":"137-144"},"PeriodicalIF":1.6000,"publicationDate":"2024-08-31","publicationTypes":"Journal Article","fieldsOfStudy":null,"isOpenAccess":false,"openAccessPdf":"https://www.ncbi.nlm.nih.gov/pmc/articles/PMC11366482/pdf/","citationCount":"0","resultStr":null,"platform":"Semanticscholar","paperid":null,"PeriodicalName":"Journal of Exercise Rehabilitation","FirstCategoryId":"1085","ListUrlMain":"https://doi.org/10.12965/jer.2448300.150","RegionNum":0,"RegionCategory":null,"ArticlePicture":[],"TitleCN":null,"AbstractTextCN":null,"PMCID":null,"EPubDate":"2024/8/1 0:00:00","PubModel":"eCollection","JCR":"Q3","JCRName":"REHABILITATION","Score":null,"Total":0}
引用次数: 0

Abstract

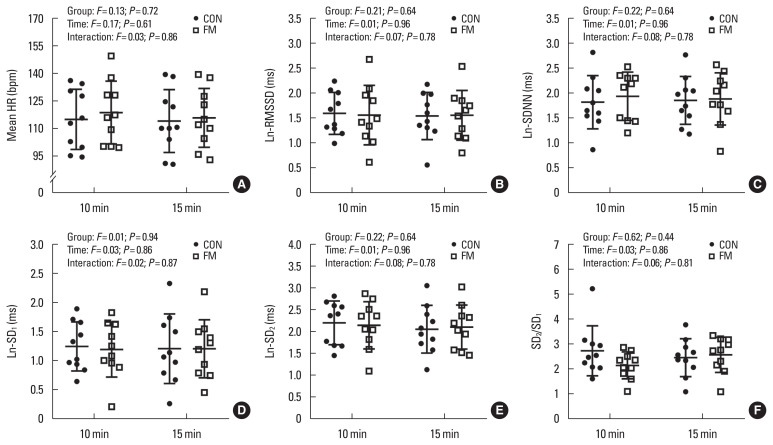
Fibromyalgia (FM) patients present impaired cardiac autonomic regulation during maximal exercise; however, it is unknown whether these alterations also manifest during submaximal exercise. The aim of this study was to compare the on-transient heart rate (HR) response and HR variability during a constant-load submaximal cycling exercise between FM and control (CON) women. Ten women with FM (age: 45.2±9.3 years) and 10 age-matched CON women (age: 48.4±6.1 years) performed a 15-min cycling exercise, with the work rate fixed at 50% of the individual peak power output attained in a maximal graded exercise test. The time intervals between consecutive heartbeats were recorded regularly during the exercise for subsequent analysis of on-transient HR response and HR variability indices. The on-transient HR time constant was similar (P=0.83) between the FM (41.0±14.1 sec) and CON (42.2±10.4 sec). During the 5-10 and 10-15 min of exercise, HR variability indices indicating sympathetic and parasympathetic activities were similar (P>0.05) between FM and CON groups. In conclusion, women with FM presented a normal cardiac autonomic response to submaximal cycling exercise. These findings have clinical relevance, as submaximal exercises are commonly prescribed for FM patients.

Abstract Image

Abstract Image

纤维肌痛女性患者在进行亚极限运动时的心脏自律神经调节。
纤维肌痛(FM)患者在最大运动量时心脏自主神经调节功能受损;然而,这些改变是否在亚最大运动量时也会表现出来,目前尚不清楚。本研究旨在比较 FM 患者和对照组(CON)女性在恒定负荷亚极限自行车运动中的瞬时心率(HR)反应和心率变异性。10 名患有 FM 的妇女(年龄:45.2±9.3 岁)和 10 名年龄匹配的患有 FM 的妇女(年龄:48.4±6.1 岁)进行了 15 分钟的自行车运动,工作速率固定为个人在最大分级运动测试中达到的峰值功率输出的 50%。在运动过程中定期记录连续心跳的时间间隔,以便随后分析瞬时心率反应和心率变异性指数。FM(41.0±14.1 秒)和 CON(42.2±10.4 秒)之间的瞬时心率时间常数相似(P=0.83)。在运动的5-10分钟和10-15分钟期间,FM组和CON组交感和副交感活动的心率变异指数相似(P>0.05)。总之,患有 FM 的女性在进行亚极限自行车运动时心脏自主神经反应正常。这些发现具有临床意义,因为亚极限运动是 FM 患者的常用处方。
本文章由计算机程序翻译,如有差异,请以英文原文为准。
求助全文
约1分钟内获得全文 求助全文
来源期刊
CiteScore
3.50
自引率
5.30%
发文量
45
审稿时长
10 weeks
期刊介绍: The Journal of Exercise Rehabilitation is the official journal of the Korean Society of Exercise Rehabilitation, and is published six times a year. Supplementary issues may be published. Its official abbreviation is "J Exerc Rehabil". It was launched in 2005. The title of the first volume was Journal of the Korean Society of Exercise Rehabilitation (pISSN 1976-6319). The journal title was changed to Journal of Exercise Rehabilitation from Volume 9 Number 2, 2013. The effects of exercise rehabilitation are very broad and in some cases exercise rehabilitation has different treatment areas than traditional rehabilitation. Exercise rehabilitation can be presented as a solution to new diseases in modern society and it can replace traditional medicine in economically disadvantaged areas. Exercise rehabilitation is very effective in overcoming metabolic diseases and also has no side effects. Furthermore, exercise rehabilitation shows new possibility for neuropsychiatric diseases, such as depression, autism, attention deficit hyperactivity disorder, schizophrenia, etc. The purpose of the Journal of Exercise Rehabilitation is to identify the effects of exercise rehabilitation on a variety of diseases and to identify mechanisms for exercise rehabilitation treatment. The Journal of Exercise Rehabilitation aims to serve as an intermediary for objective and scientific validation on the effects of exercise rehabilitation worldwide. The types of manuscripts include research articles, review articles, and articles invited by the Editorial Board. The Journal of Exercise Rehabilitation contains 6 sections: Basic research on exercise rehabilitation, Clinical research on exercise rehabilitation, Exercise rehabilitation pedagogy, Exercise rehabilitation education, Exercise rehabilitation psychology, and Exercise rehabilitation welfare.
×
引用
GB/T 7714-2015
复制
MLA
复制
APA
复制
导出至
BibTeX EndNote RefMan NoteFirst NoteExpress
×
提示
您的信息不完整,为了账户安全,请先补充。
现在去补充
×
提示
您因"违规操作"
具体请查看互助需知
我知道了
×
提示
确定
请完成安全验证×
copy
已复制链接
快去分享给好友吧!
我知道了
右上角分享
点击右上角分享
0
联系我们:info@booksci.cn Book学术提供免费学术资源搜索服务,方便国内外学者检索中英文文献。致力于提供最便捷和优质的服务体验。 Copyright © 2023 布克学术 All rights reserved.
京ICP备2023020795号-1
ghs 京公网安备 11010802042870号
Book学术文献互助
Book学术文献互助群
群 号:604180095
Book学术官方微信