Novel Antibody-Drug-Conjugates in Routine Clinical Practice for the Treatment of Metastatic Breast Cancer: Adherence, Efficacy and Tolerability - Real-World Data from German Breast Centers.

IF 1.9 4区 医学 Q2 OBSTETRICS & GYNECOLOGY
Geburtshilfe Und Frauenheilkunde Pub Date : 2024-09-02 eCollection Date: 2024-09-01 DOI:10.1055/a-2375-5194
Henning Schäffler, Dorothee Jakob, Sophia Huesmann, Kerstin Pfister, Kristina Veselinovic, Fabienne Schochter, Elena Leinert, Visnja Fink, Brigitte Rack, Alexander Englisch, Lea-Louise Volmer, Tobias Engler, Marie Louise Frevert, Ingolf Juhasz-Böss, Sara Brucker, Sabine Heublein, Wolfgang Janni, Florin-Andrei Taran, Andreas Hartkopf, Dominik Dannehl
{"title":"Novel Antibody-Drug-Conjugates in Routine Clinical Practice for the Treatment of Metastatic Breast Cancer: Adherence, Efficacy and Tolerability - Real-World Data from German Breast Centers.","authors":"Henning Schäffler, Dorothee Jakob, Sophia Huesmann, Kerstin Pfister, Kristina Veselinovic, Fabienne Schochter, Elena Leinert, Visnja Fink, Brigitte Rack, Alexander Englisch, Lea-Louise Volmer, Tobias Engler, Marie Louise Frevert, Ingolf Juhasz-Böss, Sara Brucker, Sabine Heublein, Wolfgang Janni, Florin-Andrei Taran, Andreas Hartkopf, Dominik Dannehl","doi":"10.1055/a-2375-5194","DOIUrl":null,"url":null,"abstract":"<p><strong>Introduction: </strong>The third-generation antibody-drug conjugates (ADC), trastuzumab deruxtecan (T-DXd) and sacituzumab govitecan (SG), recently obtained approval for metastatic breast cancer treatment across various subtypes and therapeutic contexts.</p><p><strong>Materials and methods: </strong>This retrospective, multicentric study evaluated real-world tolerability, feasibility and efficacy in a pre-treated, real-world cohort at three major German breast cancer centers.</p><p><strong>Results: </strong>125 patients treated with T-DXd or SG from November 2020 to June 2023 were included (T-DXd: 77 patients; SG: 48 patients). The median treatment duration was 6.0 months for T-DXd and 3.5 months for SG therapy, with a median follow-up duration of 10.4 months for T-DXd (95% CI: 8.4-11.6) and 11.8 months for SG (95% CI: 8.0-14.4). Severe neutropenia (CTC ≥ III°) occurred in 33.3% during SG therapy, with a numerical reduction observed following primary, prophylactic use of G-CSF. T-DXd-associated pneumonitis occurred in 8 out of 77 patients (10.4 %). Median progression-free survival (mPFS) was 8.6 months (95% CI: 5.8-12.4) with T-DXd (HER2+: 10.8; HER2-low: 4.7) and 4.9 months (95% CI: 2.8-6.3) with SG (TNBC 4.9; HR+/HER2-: not reached). Median overall survival (OS) was 23.8 months (95% CI: 16.1-not estimable) with T-DXd (HER2+: 27.1; HER2-low: not reached), and 12.4 months (95% CI: 8.7-not estimable) with SG therapy (TNBC: 12.4, HR+/HER2-: not reached). 95.7% of the protocol-specified, therapeutic dose was administered for T-DXd and 89.6% for SG.</p><p><strong>Conclusion: </strong>Overall, this indicates good feasibility, tolerability, and effectiveness of ADC therapies in the real-world setting.</p>","PeriodicalId":12481,"journal":{"name":"Geburtshilfe Und Frauenheilkunde","volume":"84 9","pages":"855-865"},"PeriodicalIF":1.9000,"publicationDate":"2024-09-02","publicationTypes":"Journal Article","fieldsOfStudy":null,"isOpenAccess":false,"openAccessPdf":"https://www.ncbi.nlm.nih.gov/pmc/articles/PMC11368468/pdf/","citationCount":"0","resultStr":null,"platform":"Semanticscholar","paperid":null,"PeriodicalName":"Geburtshilfe Und Frauenheilkunde","FirstCategoryId":"3","ListUrlMain":"https://doi.org/10.1055/a-2375-5194","RegionNum":4,"RegionCategory":"医学","ArticlePicture":[],"TitleCN":null,"AbstractTextCN":null,"PMCID":null,"EPubDate":"2024/9/1 0:00:00","PubModel":"eCollection","JCR":"Q2","JCRName":"OBSTETRICS & GYNECOLOGY","Score":null,"Total":0}
引用次数: 0

Abstract

Introduction: The third-generation antibody-drug conjugates (ADC), trastuzumab deruxtecan (T-DXd) and sacituzumab govitecan (SG), recently obtained approval for metastatic breast cancer treatment across various subtypes and therapeutic contexts.

Materials and methods: This retrospective, multicentric study evaluated real-world tolerability, feasibility and efficacy in a pre-treated, real-world cohort at three major German breast cancer centers.

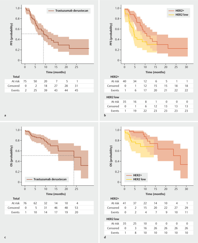
Results: 125 patients treated with T-DXd or SG from November 2020 to June 2023 were included (T-DXd: 77 patients; SG: 48 patients). The median treatment duration was 6.0 months for T-DXd and 3.5 months for SG therapy, with a median follow-up duration of 10.4 months for T-DXd (95% CI: 8.4-11.6) and 11.8 months for SG (95% CI: 8.0-14.4). Severe neutropenia (CTC ≥ III°) occurred in 33.3% during SG therapy, with a numerical reduction observed following primary, prophylactic use of G-CSF. T-DXd-associated pneumonitis occurred in 8 out of 77 patients (10.4 %). Median progression-free survival (mPFS) was 8.6 months (95% CI: 5.8-12.4) with T-DXd (HER2+: 10.8; HER2-low: 4.7) and 4.9 months (95% CI: 2.8-6.3) with SG (TNBC 4.9; HR+/HER2-: not reached). Median overall survival (OS) was 23.8 months (95% CI: 16.1-not estimable) with T-DXd (HER2+: 27.1; HER2-low: not reached), and 12.4 months (95% CI: 8.7-not estimable) with SG therapy (TNBC: 12.4, HR+/HER2-: not reached). 95.7% of the protocol-specified, therapeutic dose was administered for T-DXd and 89.6% for SG.

Conclusion: Overall, this indicates good feasibility, tolerability, and effectiveness of ADC therapies in the real-world setting.

Abstract Image

Abstract Image

常规临床实践中用于治疗转移性乳腺癌的新型抗体药物轭合物:依从性、疗效和耐受性--来自德国乳腺中心的真实世界数据。
导言:第三代抗体药物共轭物(ADC)--曲妥珠单抗德鲁司坦(T-DXd)和萨希珠单抗戈维替康(SG)最近获批用于不同亚型和治疗背景下的转移性乳腺癌治疗:这项回顾性多中心研究评估了德国三大乳腺癌中心预先治疗的真实世界队列的耐受性、可行性和疗效:纳入了2020年11月至2023年6月期间接受T-DXd或SG治疗的125例患者(T-DXd:77例;SG:48例)。T-DXd的中位治疗时间为6.0个月,SG的中位治疗时间为3.5个月,T-DXd的中位随访时间为10.4个月(95% CI:8.4-11.6),SG的中位随访时间为11.8个月(95% CI:8.0-14.4)。在 SG 治疗期间,33.3% 的患者出现了严重的中性粒细胞减少症(CTC ≥ III°),而在主要预防性使用 G-CSF 后,这一数字有所下降。77 例患者中有 8 例(10.4%)发生了 T-DXd 相关性肺炎。T-DXd的中位无进展生存期(mPFS)为8.6个月(95% CI:5.8-12.4)(HER2+:10.8;HER2-low:4.7),SG的中位无进展生存期(mPFS)为4.9个月(95% CI:2.8-6.3)(TNBC:4.9;HR+/HER2-:未达到)。T-DXd疗法的中位总生存期(OS)为23.8个月(95% CI:16.1个月,无法估计)(HER2+:27.1个月;HER2-low:未达到),SG疗法的中位总生存期(OS)为12.4个月(95% CI:8.7个月,无法估计)(TNBC:12.4个月;HR+/HER2-:未达到)。T-DXd和SG的治疗剂量分别达到了方案规定的95.7%和89.6%:总体而言,这表明 ADC 疗法在现实世界中具有良好的可行性、耐受性和有效性。
本文章由计算机程序翻译,如有差异,请以英文原文为准。
求助全文
约1分钟内获得全文 求助全文
来源期刊
Geburtshilfe Und Frauenheilkunde
Geburtshilfe Und Frauenheilkunde 医学-妇产科学
CiteScore
2.50
自引率
22.20%
发文量
828
审稿时长
6-12 weeks
期刊介绍: Geburtshilfe und Frauenheilkunde (GebFra) addresses the whole field of obstetrics and gynecology and is concerned with research as much as with clinical practice. In its scientific section, it publishes original articles, reviews and case reports in all fields of the discipline, namely gynecological oncology, including oncology of the breast obstetrics and perinatal medicine, reproductive medicine, and urogynecology. GebFra invites the submission of original articles and review articles. In addition, the journal publishes guidelines, statements and recommendations in cooperation with the DGGG, SGGG, OEGGG and the Arbeitsgemeinschaft der Wissenschaftlichen Medizinischen Fachgesellschaften (AWMF, Association of Scientific Medical Societies, www.awmf.org). Apart from the scientific section, Geburtshilfe und Frauenheilkunde has a news and views section that also includes discussions, book reviews and professional information. Letters to the editors are welcome. If a letter discusses an article that has been published in our journal, the corresponding author of the article will be informed and invited to comment on the letter. The comment will be published along with the letter.
×
引用
GB/T 7714-2015
复制
MLA
复制
APA
复制
导出至
BibTeX EndNote RefMan NoteFirst NoteExpress
×
提示
您的信息不完整,为了账户安全,请先补充。
现在去补充
×
提示
您因"违规操作"
具体请查看互助需知
我知道了
×
提示
确定
请完成安全验证×
copy
已复制链接
快去分享给好友吧!
我知道了
右上角分享
点击右上角分享
0
联系我们:info@booksci.cn Book学术提供免费学术资源搜索服务,方便国内外学者检索中英文文献。致力于提供最便捷和优质的服务体验。 Copyright © 2023 布克学术 All rights reserved.
京ICP备2023020795号-1
ghs 京公网安备 11010802042870号
Book学术文献互助
Book学术文献互助群
群 号:604180095
Book学术官方微信