How does mindfulness skills training work to improve emotion dysregulation in borderline personality disorder?

IF 2.7 2区 医学 Q1 PSYCHIATRY
Carlos Schmidt, Joaquim Soler, Daniel Vega, Stella Nicolaou, Laia Arias, Juan C Pascual
{"title":"How does mindfulness skills training work to improve emotion dysregulation in borderline personality disorder?","authors":"Carlos Schmidt, Joaquim Soler, Daniel Vega, Stella Nicolaou, Laia Arias, Juan C Pascual","doi":"10.1186/s40479-024-00265-0","DOIUrl":null,"url":null,"abstract":"<p><strong>Background: </strong>Mindfulness skills training is a core component of Dialectical Behavior Therapy and aims to improve emotion dysregulation (ED) in people with Borderline Personality Disorder (BPD). However, the underlying mechanisms of change are not fully understood.</p><p><strong>Methods: </strong>A total of 75 BPD outpatients participated in a 10-week mindfulness skills training. Multilevel models with a time-lagged approach were conducted to examine the temporal dynamics between the proposed mechanisms and ED. Decentering, nonjudgment, body awareness and attention awareness as putative mechanisms and ED as outcome were assessed on a session-by-session basis.</p><p><strong>Results: </strong>Greater nonjudgment and body awareness showed within-person effects; participants who reported higher nonjudgement of inner experience and body awareness than their own personal average at a given week showed improvement in ED at the following week. Notably, decentering moderated these associations, such that increased nonjudgment and body awareness predicted improvements in ED more strongly in those participants with high decentering ability. Lastly, a bidirectional relationship between the mechanisms and ED was found; when participants were more emotionally dysregulated than their usual state, they showed less gain in the mechanisms at the following week.</p><p><strong>Conclusions: </strong>Knowing how mindfulness training works is relevant to optimize treatments. Clinicians may use strategies to increase these mechanisms when the goal is to improve emotion regulation difficulties in BPD.</p>","PeriodicalId":48586,"journal":{"name":"Borderline Personality Disorder and Emotion Dysregulation","volume":"11 1","pages":"22"},"PeriodicalIF":2.7000,"publicationDate":"2024-09-02","publicationTypes":"Journal Article","fieldsOfStudy":null,"isOpenAccess":false,"openAccessPdf":"https://www.ncbi.nlm.nih.gov/pmc/articles/PMC11367780/pdf/","citationCount":"0","resultStr":null,"platform":"Semanticscholar","paperid":null,"PeriodicalName":"Borderline Personality Disorder and Emotion Dysregulation","FirstCategoryId":"3","ListUrlMain":"https://doi.org/10.1186/s40479-024-00265-0","RegionNum":2,"RegionCategory":"医学","ArticlePicture":[],"TitleCN":null,"AbstractTextCN":null,"PMCID":null,"EPubDate":"","PubModel":"","JCR":"Q1","JCRName":"PSYCHIATRY","Score":null,"Total":0}
引用次数: 0

Abstract

Background: Mindfulness skills training is a core component of Dialectical Behavior Therapy and aims to improve emotion dysregulation (ED) in people with Borderline Personality Disorder (BPD). However, the underlying mechanisms of change are not fully understood.

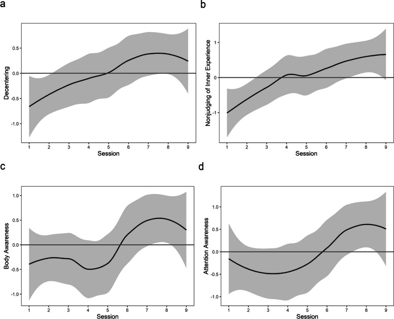
Methods: A total of 75 BPD outpatients participated in a 10-week mindfulness skills training. Multilevel models with a time-lagged approach were conducted to examine the temporal dynamics between the proposed mechanisms and ED. Decentering, nonjudgment, body awareness and attention awareness as putative mechanisms and ED as outcome were assessed on a session-by-session basis.

Results: Greater nonjudgment and body awareness showed within-person effects; participants who reported higher nonjudgement of inner experience and body awareness than their own personal average at a given week showed improvement in ED at the following week. Notably, decentering moderated these associations, such that increased nonjudgment and body awareness predicted improvements in ED more strongly in those participants with high decentering ability. Lastly, a bidirectional relationship between the mechanisms and ED was found; when participants were more emotionally dysregulated than their usual state, they showed less gain in the mechanisms at the following week.

Conclusions: Knowing how mindfulness training works is relevant to optimize treatments. Clinicians may use strategies to increase these mechanisms when the goal is to improve emotion regulation difficulties in BPD.

Abstract Image

Abstract Image

Abstract Image

正念技能训练如何改善边缘型人格障碍患者的情绪失调?
背景:正念技能训练是辩证行为疗法的核心组成部分,旨在改善边缘型人格障碍(BPD)患者的情绪失调(ED)。然而,改变的内在机制尚未完全明了:共有 75 名 BPD 门诊患者参加了为期 10 周的正念技能培训。方法:共有75名BPD门诊患者参加了为期10周的正念技能训练,并采用时滞法建立了多层次模型,以考察所提出的机制与ED之间的时间动态关系。对作为推定机制的去中心化、不做判断、身体意识和注意力意识以及作为结果的ED进行了逐次评估:更强的非批判性和身体意识表现出了人际效应;如果参与者在某一周对内心体验的非批判性和身体意识高于其个人平均水平,那么在下一周,他们的教育问题就会有所改善。值得注意的是,"去中心化"(decentering)调节了这些关联,因此在那些 "去中心化 "能力强的参与者中,非判断力和身体意识的提高更能预测 ED 的改善。最后,研究还发现了正念机制与情绪失调之间的双向关系;当参与者的情绪失调程度高于其通常状态时,他们在下周正念机制方面的收益就会减少:结论:了解正念训练是如何起作用的对于优化治疗具有重要意义。结论:了解正念训练如何起作用与优化治疗有关,临床医生可以采用增加这些机制的策略,以改善 BPD 患者的情绪调节障碍。
本文章由计算机程序翻译,如有差异,请以英文原文为准。
求助全文
约1分钟内获得全文 求助全文
来源期刊
CiteScore
6.00
自引率
9.80%
发文量
30
审稿时长
28 weeks
期刊介绍: Borderline Personality Disorder and Emotion Dysregulation provides a platform for researchers and clinicians interested in borderline personality disorder (BPD) as a currently highly challenging psychiatric disorder. Emotion dysregulation is at the core of BPD but also stands on its own as a major pathological component of the underlying neurobiology of various other psychiatric disorders. The journal focuses on the psychological, social and neurobiological aspects of emotion dysregulation as well as epidemiology, phenomenology, pathophysiology, treatment, neurobiology, genetics, and animal models of BPD.
×
引用
GB/T 7714-2015
复制
MLA
复制
APA
复制
导出至
BibTeX EndNote RefMan NoteFirst NoteExpress
×
提示
您的信息不完整,为了账户安全,请先补充。
现在去补充
×
提示
您因"违规操作"
具体请查看互助需知
我知道了
×
提示
确定
请完成安全验证×
copy
已复制链接
快去分享给好友吧!
我知道了
右上角分享
点击右上角分享
0
联系我们:info@booksci.cn Book学术提供免费学术资源搜索服务,方便国内外学者检索中英文文献。致力于提供最便捷和优质的服务体验。 Copyright © 2023 布克学术 All rights reserved.
京ICP备2023020795号-1
ghs 京公网安备 11010802042870号
Book学术文献互助
Book学术文献互助群
群 号:604180095
Book学术官方微信