Exploring the relationship between Total Athleticism score and CrossFit® Open Performance in amateur athletes: single measure involving body fat percentage, aerobic capacity, muscle power and local muscle endurance.

IF 1.8 Q3 MEDICINE, RESEARCH & EXPERIMENTAL
Ramires Alsamir Tibana, Fábio Hech Dominski, Alexandro Andrade, Nuno Manuel Frade De Sousa, Fabricio Azevedo Voltarelli, Ivo Vieira de Sousa Neto
{"title":"Exploring the relationship between Total Athleticism score and CrossFit® Open Performance in amateur athletes: single measure involving body fat percentage, aerobic capacity, muscle power and local muscle endurance.","authors":"Ramires Alsamir Tibana, Fábio Hech Dominski, Alexandro Andrade, Nuno Manuel Frade De Sousa, Fabricio Azevedo Voltarelli, Ivo Vieira de Sousa Neto","doi":"10.4081/ejtm.2024.12309","DOIUrl":null,"url":null,"abstract":"<p><p>There has been an increasing interest among CrossFit® coaches and practitioners in identifying indicators of sport performance. This study aimed to examine the correlation between anthropometric measures, cardiorespiratory capacity, power, local muscle endurance, and total athleticism score, with performance in the CrossFit® Open 2021. Fourteen male volunteers (aged 30.3 ± 5.8 years) participated in the study and underwent a series of tests on separate weeks. These tests included assessments of body fat percentage (subcutaneous adipose thickness measured at seven sites), maximal oxygen consumption (2 km test in rowing ergometer), muscle power (one repetition maximum in power clean), and muscle endurance (Tibana test, which included the conclusion of four distinct rounds of work). These results were used to calculate the total score of athleticism, which was then compared to the participants performance during the CrossFit® Open 2021. The athletes presented an average of body fat (8.6 ± 2.0%), maximal oxygen consumption (53.3 ± 2.4 mL. (kg.min)-1), 2km row time (07:00 ± 00:21 mm:ss), 1-Repetition maximum in power clean (125.2 ± 21.2 kg) and Tibana test performance (281.0 ± 35.9 repetitions). Interestingly, the top five athletes with the highest scores also achieved the highest z-scores in the CrossFit® Open 2021. Conversely, the four athletes with the lowest TSA score had the lowest z-scores in the CrossFit® Open. Moreover, almost perfect correlation (r = 0.91; p<0.01) was found between the total athleticism score and z-scores in the CrossFit® Open 2021. The total score may be a single measure and holistic indication of athleticism level in CrossFit®. Furthermore, coaches can potentially apply this useful tool for monitoring athletic performance and designing training sessions that address specific areas of CrossFit® performance.</p>","PeriodicalId":46459,"journal":{"name":"European Journal of Translational Myology","volume":" ","pages":""},"PeriodicalIF":1.8000,"publicationDate":"2024-08-23","publicationTypes":"Journal Article","fieldsOfStudy":null,"isOpenAccess":false,"openAccessPdf":"https://www.ncbi.nlm.nih.gov/pmc/articles/PMC11487649/pdf/","citationCount":"0","resultStr":null,"platform":"Semanticscholar","paperid":null,"PeriodicalName":"European Journal of Translational Myology","FirstCategoryId":"1085","ListUrlMain":"https://doi.org/10.4081/ejtm.2024.12309","RegionNum":0,"RegionCategory":null,"ArticlePicture":[],"TitleCN":null,"AbstractTextCN":null,"PMCID":null,"EPubDate":"","PubModel":"","JCR":"Q3","JCRName":"MEDICINE, RESEARCH & EXPERIMENTAL","Score":null,"Total":0}
引用次数: 0

Abstract

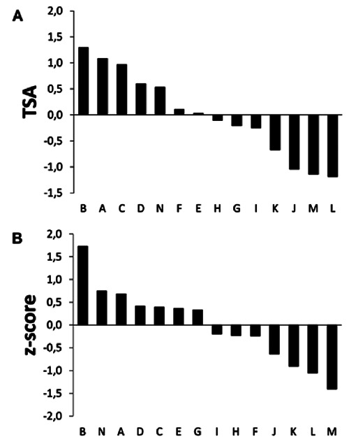
There has been an increasing interest among CrossFit® coaches and practitioners in identifying indicators of sport performance. This study aimed to examine the correlation between anthropometric measures, cardiorespiratory capacity, power, local muscle endurance, and total athleticism score, with performance in the CrossFit® Open 2021. Fourteen male volunteers (aged 30.3 ± 5.8 years) participated in the study and underwent a series of tests on separate weeks. These tests included assessments of body fat percentage (subcutaneous adipose thickness measured at seven sites), maximal oxygen consumption (2 km test in rowing ergometer), muscle power (one repetition maximum in power clean), and muscle endurance (Tibana test, which included the conclusion of four distinct rounds of work). These results were used to calculate the total score of athleticism, which was then compared to the participants performance during the CrossFit® Open 2021. The athletes presented an average of body fat (8.6 ± 2.0%), maximal oxygen consumption (53.3 ± 2.4 mL. (kg.min)-1), 2km row time (07:00 ± 00:21 mm:ss), 1-Repetition maximum in power clean (125.2 ± 21.2 kg) and Tibana test performance (281.0 ± 35.9 repetitions). Interestingly, the top five athletes with the highest scores also achieved the highest z-scores in the CrossFit® Open 2021. Conversely, the four athletes with the lowest TSA score had the lowest z-scores in the CrossFit® Open. Moreover, almost perfect correlation (r = 0.91; p<0.01) was found between the total athleticism score and z-scores in the CrossFit® Open 2021. The total score may be a single measure and holistic indication of athleticism level in CrossFit®. Furthermore, coaches can potentially apply this useful tool for monitoring athletic performance and designing training sessions that address specific areas of CrossFit® performance.

Abstract Image

Abstract Image

Abstract Image

探索业余运动员总运动能力得分与 CrossFit® 公开赛成绩之间的关系:涉及体脂率、有氧能力、肌肉力量和局部肌肉耐力的单一测量。
CrossFit® 教练和从业人员对确定运动成绩指标的兴趣与日俱增。本研究旨在探讨人体测量指标、心肺能力、力量、局部肌肉耐力和运动能力总分与 2021 年 CrossFit® 公开赛成绩之间的相关性。14 名男性志愿者(年龄为 30.3 ± 5.8 岁)参加了这项研究,并在不同的星期接受了一系列测试。这些测试包括身体脂肪百分比(在七个部位测量皮下脂肪厚度)、最大耗氧量(划船测力计 2 公里测试)、肌肉力量(力量清扫一次重复最大值)和肌肉耐力(蒂巴纳测试,包括完成四轮不同的工作)的评估。这些结果被用来计算运动能力总分,然后与参赛者在 2021 年 CrossFit® 公开赛中的表现进行比较。运动员的平均体脂率(8.6 ± 2.0%)、最大耗氧量(53.3 ± 2.4 mL.(kg.min)、2 公里划船时间(07:00 ± 00:21 mm:ss)、1 次重复最大力量清扫(125.2 ± 21.2 kg)和 Tibana 测试成绩(281.0 ± 35.9 次重复)。有趣的是,得分最高的前五名运动员在 CrossFit® 2021 年公开赛中也取得了最高的 Z 值。相反,TSA 得分最低的四名运动员在 CrossFit® 公开赛中的 z 值也最低。此外,几乎完美的相关性(r = 0.91; p
本文章由计算机程序翻译,如有差异,请以英文原文为准。
求助全文
约1分钟内获得全文 求助全文
来源期刊
European Journal of Translational Myology
European Journal of Translational Myology MEDICINE, RESEARCH & EXPERIMENTAL-
CiteScore
3.30
自引率
27.30%
发文量
74
审稿时长
10 weeks
×
引用
GB/T 7714-2015
复制
MLA
复制
APA
复制
导出至
BibTeX EndNote RefMan NoteFirst NoteExpress
×
提示
您的信息不完整,为了账户安全,请先补充。
现在去补充
×
提示
您因"违规操作"
具体请查看互助需知
我知道了
×
提示
确定
请完成安全验证×
copy
已复制链接
快去分享给好友吧!
我知道了
右上角分享
点击右上角分享
0
联系我们:info@booksci.cn Book学术提供免费学术资源搜索服务,方便国内外学者检索中英文文献。致力于提供最便捷和优质的服务体验。 Copyright © 2023 布克学术 All rights reserved.
京ICP备2023020795号-1
ghs 京公网安备 11010802042870号
Book学术文献互助
Book学术文献互助群
群 号:604180095
Book学术官方微信