Osmotolerant plant growth promoting bacteria mitigate adverse effects of drought stress on wheat growth.

IF 4.1 Q3 MICROBIOLOGY
AIMS Microbiology Pub Date : 2024-07-09 eCollection Date: 2024-01-01 DOI:10.3934/microbiol.2024025
Naoual Bouremani, Hafsa Cherif-Silini, Allaoua Silini, Nour El Houda Rabhi, Ali Chenari Bouket, Lassaad Belbahri
{"title":"Osmotolerant plant growth promoting bacteria mitigate adverse effects of drought stress on wheat growth.","authors":"Naoual Bouremani, Hafsa Cherif-Silini, Allaoua Silini, Nour El Houda Rabhi, Ali Chenari Bouket, Lassaad Belbahri","doi":"10.3934/microbiol.2024025","DOIUrl":null,"url":null,"abstract":"<p><p>Drought stress represents a major constraint with significant impacts on wheat crop globally. The use of plant growth-promoting bacteria (PGPB) has emerged as a promising strategy to alleviate the detrimental impacts of water stress and enhance plant development. We investigated 24 strains from diverse ecosystems, assessed for PGP traits and tolerance ability to abiotic stresses (drought, salinity, temperature, pH, heavy metals, pollutants, herbicides, and fungicides). The most effective bacterial strains <i>Providencia vermicola</i> ME1, <i>Pantoea agglomerans</i> Pa, <i>Pseudomonas knackmussi</i> MR6, and <i>Bacillus</i> sp D13 were chosen. Furthermore, these strains exhibited PGP activities under osmotic stress (0, 10, 20, and 30% PEG-6000). The impact of these osmotolerant PGPBs on wheat (<i>Triticum durum</i> L.) growth under drought stress was assessed at two plant growth stages. In an <i>in vitro</i> wheat seed germination experiment, bacterial inoculation significantly enhanced germination parameters. In pot experiments, the potential of these bacteria was evaluated in wheat plants under three treatments: Well-watered (100% field capacity), moderate stress (50% FC), and severe stress (25% FC). Results showed a significant decline in wheat growth parameters under increasing water stress for uninoculated seedlings. In contrast, bacterial inoculation mitigated these adverse effects, significantly improving morphological parameters and chlorophyll pigment contents under the stress conditions. While malondialdehyde (lipid peroxidation) and proline contents increased significantly with drought intensity, they decreased after bacterial inoculation. The antioxidant enzyme activities (GPX, CAT, and SOD) in plants decreased after bacterial inoculation. The increased root colonization capacity observed under water stress was attributed to their ability to favorable adaptations in a stressful environment. This study highlighted the potential of selected PGPB to alleviate water stress effects on wheat, promoting practical applications aimed at enhancing crop resilience under conditions of water shortage.</p>","PeriodicalId":46108,"journal":{"name":"AIMS Microbiology","volume":"10 3","pages":"507-541"},"PeriodicalIF":4.1000,"publicationDate":"2024-07-09","publicationTypes":"Journal Article","fieldsOfStudy":null,"isOpenAccess":false,"openAccessPdf":"https://www.ncbi.nlm.nih.gov/pmc/articles/PMC11362268/pdf/","citationCount":"0","resultStr":null,"platform":"Semanticscholar","paperid":null,"PeriodicalName":"AIMS Microbiology","FirstCategoryId":"1085","ListUrlMain":"https://doi.org/10.3934/microbiol.2024025","RegionNum":0,"RegionCategory":null,"ArticlePicture":[],"TitleCN":null,"AbstractTextCN":null,"PMCID":null,"EPubDate":"2024/1/1 0:00:00","PubModel":"eCollection","JCR":"Q3","JCRName":"MICROBIOLOGY","Score":null,"Total":0}
引用次数: 0

Abstract

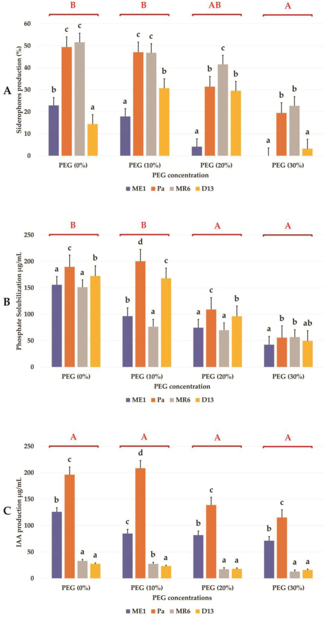
Drought stress represents a major constraint with significant impacts on wheat crop globally. The use of plant growth-promoting bacteria (PGPB) has emerged as a promising strategy to alleviate the detrimental impacts of water stress and enhance plant development. We investigated 24 strains from diverse ecosystems, assessed for PGP traits and tolerance ability to abiotic stresses (drought, salinity, temperature, pH, heavy metals, pollutants, herbicides, and fungicides). The most effective bacterial strains Providencia vermicola ME1, Pantoea agglomerans Pa, Pseudomonas knackmussi MR6, and Bacillus sp D13 were chosen. Furthermore, these strains exhibited PGP activities under osmotic stress (0, 10, 20, and 30% PEG-6000). The impact of these osmotolerant PGPBs on wheat (Triticum durum L.) growth under drought stress was assessed at two plant growth stages. In an in vitro wheat seed germination experiment, bacterial inoculation significantly enhanced germination parameters. In pot experiments, the potential of these bacteria was evaluated in wheat plants under three treatments: Well-watered (100% field capacity), moderate stress (50% FC), and severe stress (25% FC). Results showed a significant decline in wheat growth parameters under increasing water stress for uninoculated seedlings. In contrast, bacterial inoculation mitigated these adverse effects, significantly improving morphological parameters and chlorophyll pigment contents under the stress conditions. While malondialdehyde (lipid peroxidation) and proline contents increased significantly with drought intensity, they decreased after bacterial inoculation. The antioxidant enzyme activities (GPX, CAT, and SOD) in plants decreased after bacterial inoculation. The increased root colonization capacity observed under water stress was attributed to their ability to favorable adaptations in a stressful environment. This study highlighted the potential of selected PGPB to alleviate water stress effects on wheat, promoting practical applications aimed at enhancing crop resilience under conditions of water shortage.

Abstract Image

Abstract Image

Abstract Image

耐渗透植物生长促进菌减轻了干旱胁迫对小麦生长的不利影响。
干旱胁迫是对全球小麦作物产生重大影响的主要制约因素。使用植物生长促进菌(PGPB)已成为缓解水胁迫不利影响和促进植物生长的一种有前途的策略。我们研究了来自不同生态系统的 24 株菌株,评估了它们的 PGP 性状和对非生物胁迫(干旱、盐度、温度、pH 值、重金属、污染物、除草剂和杀真菌剂)的耐受能力。最终选择了最有效的细菌菌株普罗维登斯蛭霉 ME1、泛氏聚合菌 Pa、假单胞菌 Knackmussi MR6 和芽孢杆菌 D13。此外,这些菌株在渗透胁迫(0、10、20 和 30% PEG-6000)下表现出 PGP 活性。在两个植物生长阶段评估了这些耐渗透性 PGPB 在干旱胁迫下对小麦(Triticum durum L.)生长的影响。在离体小麦种子萌发实验中,细菌接种显著提高了萌发参数。在盆栽实验中,对三种处理下的小麦植株进行了细菌潜力评估:浇水充足(100% 田间能力)、中等压力(50% FC)和严重压力(25% FC)。结果表明,在水分胁迫不断增加的情况下,未接种细菌的幼苗的小麦生长参数明显下降。相比之下,接种细菌可减轻这些不利影响,显著改善胁迫条件下的形态参数和叶绿素含量。丙二醛(脂质过氧化)和脯氨酸含量随着干旱强度的增加而显著增加,但在接种细菌后则有所减少。接种细菌后,植物体内的抗氧化酶活性(GPX、CAT 和 SOD)降低。在水分胁迫下观察到的根系定殖能力的提高归因于它们在胁迫环境中的有利适应能力。这项研究强调了所选 PGPB 在缓解小麦水胁迫效应方面的潜力,促进了旨在提高作物在缺水条件下的抗逆性的实际应用。
本文章由计算机程序翻译,如有差异,请以英文原文为准。
求助全文
约1分钟内获得全文 求助全文
来源期刊
AIMS Microbiology
AIMS Microbiology MICROBIOLOGY-
CiteScore
7.00
自引率
2.10%
发文量
22
审稿时长
8 weeks
×
引用
GB/T 7714-2015
复制
MLA
复制
APA
复制
导出至
BibTeX EndNote RefMan NoteFirst NoteExpress
×
提示
您的信息不完整,为了账户安全,请先补充。
现在去补充
×
提示
您因"违规操作"
具体请查看互助需知
我知道了
×
提示
确定
请完成安全验证×
copy
已复制链接
快去分享给好友吧!
我知道了
右上角分享
点击右上角分享
0
联系我们:info@booksci.cn Book学术提供免费学术资源搜索服务,方便国内外学者检索中英文文献。致力于提供最便捷和优质的服务体验。 Copyright © 2023 布克学术 All rights reserved.
京ICP备2023020795号-1
ghs 京公网安备 11010802042870号
Book学术文献互助
Book学术文献互助群
群 号:604180095
Book学术官方微信