Impact of Chronic Kidney Disease and Gout on End-Stage Renal Disease in Type 2 Diabetes: Population-Based Cohort Study.

IF 4.2 3区 医学 Q2 ENDOCRINOLOGY & METABOLISM
Endocrinology and Metabolism Pub Date : 2024-10-01 Epub Date: 2024-08-30 DOI:10.3803/EnM.2024.2020
Inha Jung, Da Young Lee, Seung Min Chung, So Young Park, Ji Hee Yu, Jun Sung Moon, Ji A Seo, Kyungdo Han, Nan Hee Kim
{"title":"Impact of Chronic Kidney Disease and Gout on End-Stage Renal Disease in Type 2 Diabetes: Population-Based Cohort Study.","authors":"Inha Jung, Da Young Lee, Seung Min Chung, So Young Park, Ji Hee Yu, Jun Sung Moon, Ji A Seo, Kyungdo Han, Nan Hee Kim","doi":"10.3803/EnM.2024.2020","DOIUrl":null,"url":null,"abstract":"<p><strong>Backgruound: </strong>We examined the impact of gout on the end-stage renal disease (ESRD) risk in patients with type 2 diabetes mellitus (T2DM) and determined whether this association differs according to chronic kidney disease (CKD) status.</p><p><strong>Methods: </strong>Using the Korean National Health Insurance Service, this nationwide cohort study enrolled 847,884 patients with T2DM who underwent health checkups in 2009. Based on the presence of CKD (estimated glomerular filtration rate <60 mL/min/1.73 m2) and gout (two outpatient visits or one hospitalization within 5 years), patients were classified into four groups: CKD-Gout-, CKD- Gout+, CKD+Gout-, and CKD+Gout+. Patients with incident ESRD were followed up until December 2018.</p><p><strong>Results: </strong>Among 847,884 patients, 11,825 (1.4%) experienced progression to ESRD. ESRD incidence increased in the following order: 0.77 per 1,000 person-years (PY) in the CKD-Gout- group, 1.34/1,000 PY in the CKD-Gout+ group, 8.20/1,000 PY in the CKD+Gout- group, and 23.06/1,000 PY in the CKD+Gout+ group. The presence of gout modified the ESRD risk in a status-dependent manner. Hazard ratios (HR) were 1.49 (95% confidence interval [CI], 1.32 to 1.69) and 2.24 (95% CI, 2.09 to 2.40) in patients without and with CKD, respectively, indicating a significant interaction (P<0.0001). The CKD+Gout+ group had a markedly higher risk of developing ESRD (HR, 18.9; 95% CI, 17.58 to 20.32) than the reference group (CKD-Gout-).</p><p><strong>Conclusion: </strong>Gout substantially enhances the risk of ESRD, even in the absence of CKD. Concurrent CKD and gout synergistically increase the risk of ESRD. Therefore, physicians should carefully screen for hyperuricemia to prevent progression to ESRD.</p>","PeriodicalId":11636,"journal":{"name":"Endocrinology and Metabolism","volume":" ","pages":"748-757"},"PeriodicalIF":4.2000,"publicationDate":"2024-10-01","publicationTypes":"Journal Article","fieldsOfStudy":null,"isOpenAccess":false,"openAccessPdf":"https://www.ncbi.nlm.nih.gov/pmc/articles/PMC11525699/pdf/","citationCount":"0","resultStr":null,"platform":"Semanticscholar","paperid":null,"PeriodicalName":"Endocrinology and Metabolism","FirstCategoryId":"3","ListUrlMain":"https://doi.org/10.3803/EnM.2024.2020","RegionNum":3,"RegionCategory":"医学","ArticlePicture":[],"TitleCN":null,"AbstractTextCN":null,"PMCID":null,"EPubDate":"2024/8/30 0:00:00","PubModel":"Epub","JCR":"Q2","JCRName":"ENDOCRINOLOGY & METABOLISM","Score":null,"Total":0}
引用次数: 0

Abstract

Backgruound: We examined the impact of gout on the end-stage renal disease (ESRD) risk in patients with type 2 diabetes mellitus (T2DM) and determined whether this association differs according to chronic kidney disease (CKD) status.

Methods: Using the Korean National Health Insurance Service, this nationwide cohort study enrolled 847,884 patients with T2DM who underwent health checkups in 2009. Based on the presence of CKD (estimated glomerular filtration rate <60 mL/min/1.73 m2) and gout (two outpatient visits or one hospitalization within 5 years), patients were classified into four groups: CKD-Gout-, CKD- Gout+, CKD+Gout-, and CKD+Gout+. Patients with incident ESRD were followed up until December 2018.

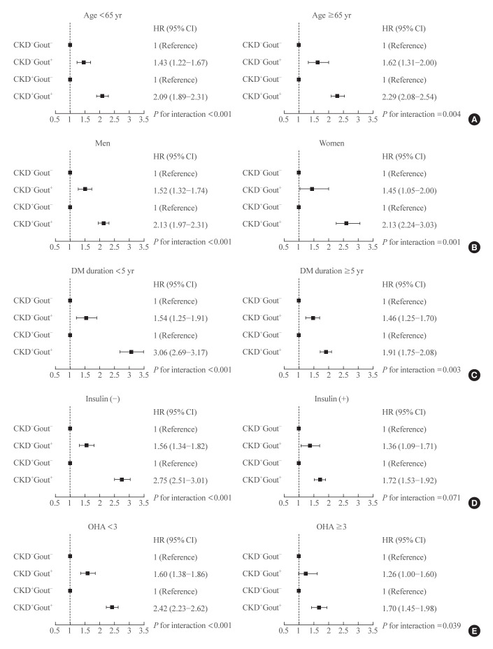
Results: Among 847,884 patients, 11,825 (1.4%) experienced progression to ESRD. ESRD incidence increased in the following order: 0.77 per 1,000 person-years (PY) in the CKD-Gout- group, 1.34/1,000 PY in the CKD-Gout+ group, 8.20/1,000 PY in the CKD+Gout- group, and 23.06/1,000 PY in the CKD+Gout+ group. The presence of gout modified the ESRD risk in a status-dependent manner. Hazard ratios (HR) were 1.49 (95% confidence interval [CI], 1.32 to 1.69) and 2.24 (95% CI, 2.09 to 2.40) in patients without and with CKD, respectively, indicating a significant interaction (P<0.0001). The CKD+Gout+ group had a markedly higher risk of developing ESRD (HR, 18.9; 95% CI, 17.58 to 20.32) than the reference group (CKD-Gout-).

Conclusion: Gout substantially enhances the risk of ESRD, even in the absence of CKD. Concurrent CKD and gout synergistically increase the risk of ESRD. Therefore, physicians should carefully screen for hyperuricemia to prevent progression to ESRD.

Abstract Image

Abstract Image

Abstract Image

慢性肾病和痛风对 2 型糖尿病终末期肾病的影响:基于人群的队列研究
背景:我们研究了痛风对2型糖尿病(T2DM)患者终末期肾病(ESRD)风险的影响,并确定这种关联是否因慢性肾病(CKD)状态而异:这项全国性的队列研究利用韩国国民健康保险服务系统,登记了 847,884 名在 2009 年接受健康检查的 T2DM 患者。根据是否患有慢性肾脏病(估计肾小球滤过率)得出结论:在 847 884 名患者中,有 11 825 人(1.4%)发展为 ESRD。ESRD 发生率依次增加:CKD-痛风组为 0.77/1,000 人年,CKD-痛风+组为 1.34/1,000 人年,CKD+痛风-组为 8.20/1,000 人年,CKD+痛风+组为 23.06/1,000 人年。痛风的存在以依赖状态的方式改变了ESRD风险。无慢性肾脏病和有慢性肾脏病的患者的危险比(HR)分别为 1.49(95% 置信区间 [CI],1.32 至 1.69)和 2.24(95% 置信区间 [CI],2.09 至 2.40),这表明两者之间存在显著的交互作用(结论:痛风大大增加了发生 ESRD 的风险:痛风大大增加了ESRD的风险,即使没有慢性肾脏病也是如此。同时患有慢性肾脏病和痛风会协同增加患 ESRD 的风险。因此,医生应仔细筛查高尿酸血症,以防止发展为 ESRD。
本文章由计算机程序翻译,如有差异,请以英文原文为准。
求助全文
约1分钟内获得全文 求助全文
来源期刊
Endocrinology and Metabolism
Endocrinology and Metabolism Medicine-Endocrinology, Diabetes and Metabolism
CiteScore
6.60
自引率
5.90%
发文量
145
审稿时长
24 weeks
期刊介绍: The aim of this journal is to set high standards of medical care by providing a forum for discussion for basic, clinical, and translational researchers and clinicians on new findings in the fields of endocrinology and metabolism. Endocrinology and Metabolism reports new findings and developments in all aspects of endocrinology and metabolism. The topics covered by this journal include bone and mineral metabolism, cytokines, developmental endocrinology, diagnostic endocrinology, endocrine research, dyslipidemia, endocrine regulation, genetic endocrinology, growth factors, hormone receptors, hormone action and regulation, management of endocrine diseases, clinical trials, epidemiology, molecular endocrinology, neuroendocrinology, neuropeptides, neurotransmitters, obesity, pediatric endocrinology, reproductive endocrinology, signal transduction, the anatomy and physiology of endocrine organs (i.e., the pituitary, thyroid, parathyroid, and adrenal glands, and the gonads), and endocrine diseases (diabetes, nutrition, osteoporosis, etc.).
×
引用
GB/T 7714-2015
复制
MLA
复制
APA
复制
导出至
BibTeX EndNote RefMan NoteFirst NoteExpress
×
提示
您的信息不完整,为了账户安全,请先补充。
现在去补充
×
提示
您因"违规操作"
具体请查看互助需知
我知道了
×
提示
确定
请完成安全验证×
copy
已复制链接
快去分享给好友吧!
我知道了
右上角分享
点击右上角分享
0
联系我们:info@booksci.cn Book学术提供免费学术资源搜索服务,方便国内外学者检索中英文文献。致力于提供最便捷和优质的服务体验。 Copyright © 2023 布克学术 All rights reserved.
京ICP备2023020795号-1
ghs 京公网安备 11010802042870号
Book学术文献互助
Book学术文献互助群
群 号:604180095
Book学术官方微信