Elevated Fracture Risks in Patients Using Inhaled Corticosteroids: A Korean Nationwide Study.

IF 4.2 3区 医学 Q2 ENDOCRINOLOGY & METABOLISM
Endocrinology and Metabolism Pub Date : 2025-02-01 Epub Date: 2024-08-30 DOI:10.3803/EnM.2024.1990
Sung Hye Kong, Ae Jeong Jo, Chan Mi Park, Kyun Ik Park, Ji Eun Yun, Jung Hee Kim
{"title":"Elevated Fracture Risks in Patients Using Inhaled Corticosteroids: A Korean Nationwide Study.","authors":"Sung Hye Kong, Ae Jeong Jo, Chan Mi Park, Kyun Ik Park, Ji Eun Yun, Jung Hee Kim","doi":"10.3803/EnM.2024.1990","DOIUrl":null,"url":null,"abstract":"<p><strong>Backgruound: </strong>In this comprehensive retrospective nationwide cohort study, we examined the relationships between various asthma medications and bone health, utilizing data from the National Health Insurance Service database of South Korea.</p><p><strong>Methods: </strong>From 2015 to 2019, the relevant dataset included 168,611 individuals aged 66 years, among whom 8,747 were diagnosed with asthma. We focused on a subset of 6,173 patients, all 66-year-old women. Participants were categorized into four groups: nonusers of asthma medication (n=2,868), leukotriene antagonist users (n=2,281), inhaled corticosteroid (ICS) users (n=517), and those using a combination of ICS and long-acting beta-agonist (ICS+LABA) medication (n=507). The primary outcomes measured were the incidences of major osteoporotic fractures and hip fractures during the follow-up period.</p><p><strong>Results: </strong>Over 2.7 years of follow-up, 615 cases of major osteoporotic fractures and 96 cases of hip fractures were recorded. ICS users exhibited a heightened risk of both injuries, with hazard ratios of 1.38 (95% confidence interval [CI], 1.18 to 1.63; P<0.001) for major osteoporotic fractures and 1.56 (95% CI, 1.33 to 1.83; P<0.001) for hip fractures. Similarly elevated risks were observed in the ICS+LABA group. Notably, the risk associated with ICS was particularly pronounced among patients with osteopenia for both fracture types. Overall, the use of ICS, alone or in combination with LABA, in patients with asthma is associated with significantly increased risks of osteoporotic fractures, especially among those with osteopenia.</p><p><strong>Conclusion: </strong>These findings underscore the importance of considering bone health when managing asthma, especially in older patients and those with existing bone density issues.</p>","PeriodicalId":11636,"journal":{"name":"Endocrinology and Metabolism","volume":" ","pages":"82-92"},"PeriodicalIF":4.2000,"publicationDate":"2025-02-01","publicationTypes":"Journal Article","fieldsOfStudy":null,"isOpenAccess":false,"openAccessPdf":"https://www.ncbi.nlm.nih.gov/pmc/articles/PMC11898311/pdf/","citationCount":"0","resultStr":null,"platform":"Semanticscholar","paperid":null,"PeriodicalName":"Endocrinology and Metabolism","FirstCategoryId":"3","ListUrlMain":"https://doi.org/10.3803/EnM.2024.1990","RegionNum":3,"RegionCategory":"医学","ArticlePicture":[],"TitleCN":null,"AbstractTextCN":null,"PMCID":null,"EPubDate":"2024/8/30 0:00:00","PubModel":"Epub","JCR":"Q2","JCRName":"ENDOCRINOLOGY & METABOLISM","Score":null,"Total":0}
引用次数: 0

Abstract

Backgruound: In this comprehensive retrospective nationwide cohort study, we examined the relationships between various asthma medications and bone health, utilizing data from the National Health Insurance Service database of South Korea.

Methods: From 2015 to 2019, the relevant dataset included 168,611 individuals aged 66 years, among whom 8,747 were diagnosed with asthma. We focused on a subset of 6,173 patients, all 66-year-old women. Participants were categorized into four groups: nonusers of asthma medication (n=2,868), leukotriene antagonist users (n=2,281), inhaled corticosteroid (ICS) users (n=517), and those using a combination of ICS and long-acting beta-agonist (ICS+LABA) medication (n=507). The primary outcomes measured were the incidences of major osteoporotic fractures and hip fractures during the follow-up period.

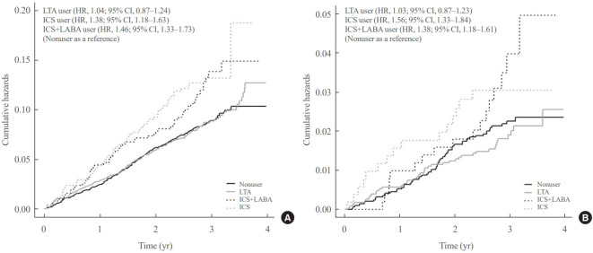
Results: Over 2.7 years of follow-up, 615 cases of major osteoporotic fractures and 96 cases of hip fractures were recorded. ICS users exhibited a heightened risk of both injuries, with hazard ratios of 1.38 (95% confidence interval [CI], 1.18 to 1.63; P<0.001) for major osteoporotic fractures and 1.56 (95% CI, 1.33 to 1.83; P<0.001) for hip fractures. Similarly elevated risks were observed in the ICS+LABA group. Notably, the risk associated with ICS was particularly pronounced among patients with osteopenia for both fracture types. Overall, the use of ICS, alone or in combination with LABA, in patients with asthma is associated with significantly increased risks of osteoporotic fractures, especially among those with osteopenia.

Conclusion: These findings underscore the importance of considering bone health when managing asthma, especially in older patients and those with existing bone density issues.

Abstract Image

Abstract Image

吸入皮质类固醇患者骨折风险升高:一项韩国全国性研究
研究背景在这项全面的全国性回顾性队列研究中,我们利用韩国国民健康保险服务数据库的数据,研究了各种哮喘药物与骨骼健康之间的关系:从 2015 年到 2019 年,相关数据集包括 168611 名 66 岁的人,其中 8747 人被诊断患有哮喘。我们重点研究了6173名患者的子集,她们都是66岁的女性。我们将参与者分为四组:未使用哮喘药物者(2868 人)、白三烯拮抗剂使用者(2281 人)、吸入性皮质类固醇(ICS)使用者(517 人)以及联合使用 ICS 和长效β-激动剂(ICS+LABA)药物者(507 人)。测量的主要结果是随访期间主要骨质疏松性骨折和髋部骨折的发生率:在2.7年的随访中,共记录了615例重大骨质疏松性骨折和96例髋部骨折。ICS使用者发生这两种伤害的风险均有所升高,危险比为1.38(95%置信区间[CI],1.18至1.63;PC结论:这些研究结果强调了考虑使用ICS的重要性:这些发现强调了在管理哮喘时考虑骨骼健康的重要性,尤其是老年患者和已有骨密度问题的患者。
本文章由计算机程序翻译,如有差异,请以英文原文为准。
求助全文
约1分钟内获得全文 求助全文
来源期刊
Endocrinology and Metabolism
Endocrinology and Metabolism Medicine-Endocrinology, Diabetes and Metabolism
CiteScore
6.60
自引率
5.90%
发文量
145
审稿时长
24 weeks
期刊介绍: The aim of this journal is to set high standards of medical care by providing a forum for discussion for basic, clinical, and translational researchers and clinicians on new findings in the fields of endocrinology and metabolism. Endocrinology and Metabolism reports new findings and developments in all aspects of endocrinology and metabolism. The topics covered by this journal include bone and mineral metabolism, cytokines, developmental endocrinology, diagnostic endocrinology, endocrine research, dyslipidemia, endocrine regulation, genetic endocrinology, growth factors, hormone receptors, hormone action and regulation, management of endocrine diseases, clinical trials, epidemiology, molecular endocrinology, neuroendocrinology, neuropeptides, neurotransmitters, obesity, pediatric endocrinology, reproductive endocrinology, signal transduction, the anatomy and physiology of endocrine organs (i.e., the pituitary, thyroid, parathyroid, and adrenal glands, and the gonads), and endocrine diseases (diabetes, nutrition, osteoporosis, etc.).
×
引用
GB/T 7714-2015
复制
MLA
复制
APA
复制
导出至
BibTeX EndNote RefMan NoteFirst NoteExpress
×
提示
您的信息不完整,为了账户安全,请先补充。
现在去补充
×
提示
您因"违规操作"
具体请查看互助需知
我知道了
×
提示
确定
请完成安全验证×
copy
已复制链接
快去分享给好友吧!
我知道了
右上角分享
点击右上角分享
0
联系我们:info@booksci.cn Book学术提供免费学术资源搜索服务,方便国内外学者检索中英文文献。致力于提供最便捷和优质的服务体验。 Copyright © 2023 布克学术 All rights reserved.
京ICP备2023020795号-1
ghs 京公网安备 11010802042870号
Book学术文献互助
Book学术文献互助群
群 号:604180095
Book学术官方微信