Feasibility study of computed high b-value diffusion-weighted magnetic resonance imaging for pediatric posterior fossa tumors.

IF 1.7 4区 医学 Q3 RADIOLOGY, NUCLEAR MEDICINE & MEDICAL IMAGING
Diagnostic and interventional radiology Pub Date : 2025-09-08 Epub Date: 2024-09-02 DOI:10.4274/dir.2024.242720
Semra Delibalta, Barış Genç, Meltem Ceyhan Bilgici, Kerim Aslan
{"title":"Feasibility study of computed high b-value diffusion-weighted magnetic resonance imaging for pediatric posterior fossa tumors.","authors":"Semra Delibalta, Barış Genç, Meltem Ceyhan Bilgici, Kerim Aslan","doi":"10.4274/dir.2024.242720","DOIUrl":null,"url":null,"abstract":"<p><strong>Purpose: </strong>To evaluate the diagnostic efficacy of computed diffusion-weighted imaging (DWI) in pediatric posterior fossa tumors generated using high b-values.</p><p><strong>Methods: </strong>We retrospectively performed our study on 32 pediatric patients who had undergone brain magnetic resonance imaging for a posterior fossa tumor between January 2016 and January 2022. The DWIs were evaluated for each patient by two blinded radiologists. The computed DWI (cDWI) was mathematically derived using a mono-exponential model from images with b = 0 and 1,000 s/mm<sup>2</sup> and high b-values of 1,500, 2,000, 3,000, and 5,000 s/mm<sup>2</sup>. The posterior fossa tumors were divided into two groups, low grade and high grade, and the tumor/thalamus signal intensity (SI) ratios were compared. The Mann-Whitney U test and receiver operating characteristic (ROC) curves were used to compare the diagnostic performance of the acquired DWI (DWI<sub>1000</sub>), apparent diffusion coefficient (ADC)<sub>1000</sub> maps, and cDWI (cDWI1500, cDWI<sub>2000</sub>, cDWI<sub>3000</sub>, and cDWI<sub>5000</sub>).</p><p><strong>Results: </strong>The comparison of the two tumor groups revealed that the tumor/thalamus SI ratio on the DWI<sub>1000</sub> and cDWI (cDWI1500, cDWI<sub>2000</sub>, cDWI<sub>3000</sub>, and cDWI<sub>5000</sub>) was statistically significantly higher in high-grade tumors (<i>P</i> < 0.001). In the ROC curve analysis, higher sensitivity and specificity were detected in the cDWI1500, cDWI<sub>2000</sub>, cDWI<sub>3000</sub>, and ADC<sub>1000</sub> maps (100%, 90.90%) compared with the DWI<sub>1000</sub> (80%, 81.80%). cDWI<sub>3000</sub> had the highest area under the curve (AUC) value compared with other parameters (AUC: 0.976).</p><p><strong>Conclusion: </strong>cDWI generated using high b-values was successful in differentiating between low-grade and high-grade posterior fossa tumors without increasing imaging time.</p><p><strong>Clinical significance: </strong>cDWI created using high b-values can provide additional information about tumor grade in pediatric posterior fossa tumors without requiring additional imaging time.</p>","PeriodicalId":11341,"journal":{"name":"Diagnostic and interventional radiology","volume":" ","pages":"526-531"},"PeriodicalIF":1.7000,"publicationDate":"2025-09-08","publicationTypes":"Journal Article","fieldsOfStudy":null,"isOpenAccess":false,"openAccessPdf":"https://www.ncbi.nlm.nih.gov/pmc/articles/PMC12417922/pdf/","citationCount":"0","resultStr":null,"platform":"Semanticscholar","paperid":null,"PeriodicalName":"Diagnostic and interventional radiology","FirstCategoryId":"3","ListUrlMain":"https://doi.org/10.4274/dir.2024.242720","RegionNum":4,"RegionCategory":"医学","ArticlePicture":[],"TitleCN":null,"AbstractTextCN":null,"PMCID":null,"EPubDate":"2024/9/2 0:00:00","PubModel":"Epub","JCR":"Q3","JCRName":"RADIOLOGY, NUCLEAR MEDICINE & MEDICAL IMAGING","Score":null,"Total":0}
引用次数: 0

Abstract

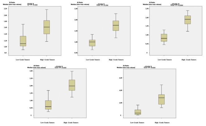
Purpose: To evaluate the diagnostic efficacy of computed diffusion-weighted imaging (DWI) in pediatric posterior fossa tumors generated using high b-values.

Methods: We retrospectively performed our study on 32 pediatric patients who had undergone brain magnetic resonance imaging for a posterior fossa tumor between January 2016 and January 2022. The DWIs were evaluated for each patient by two blinded radiologists. The computed DWI (cDWI) was mathematically derived using a mono-exponential model from images with b = 0 and 1,000 s/mm2 and high b-values of 1,500, 2,000, 3,000, and 5,000 s/mm2. The posterior fossa tumors were divided into two groups, low grade and high grade, and the tumor/thalamus signal intensity (SI) ratios were compared. The Mann-Whitney U test and receiver operating characteristic (ROC) curves were used to compare the diagnostic performance of the acquired DWI (DWI1000), apparent diffusion coefficient (ADC)1000 maps, and cDWI (cDWI1500, cDWI2000, cDWI3000, and cDWI5000).

Results: The comparison of the two tumor groups revealed that the tumor/thalamus SI ratio on the DWI1000 and cDWI (cDWI1500, cDWI2000, cDWI3000, and cDWI5000) was statistically significantly higher in high-grade tumors (P < 0.001). In the ROC curve analysis, higher sensitivity and specificity were detected in the cDWI1500, cDWI2000, cDWI3000, and ADC1000 maps (100%, 90.90%) compared with the DWI1000 (80%, 81.80%). cDWI3000 had the highest area under the curve (AUC) value compared with other parameters (AUC: 0.976).

Conclusion: cDWI generated using high b-values was successful in differentiating between low-grade and high-grade posterior fossa tumors without increasing imaging time.

Clinical significance: cDWI created using high b-values can provide additional information about tumor grade in pediatric posterior fossa tumors without requiring additional imaging time.

Abstract Image

Abstract Image

Abstract Image

计算高b值扩散加权磁共振成像治疗小儿后窝肿瘤的可行性研究。
目的:评估使用高b值的计算弥散加权成像(DWI)对小儿后窝肿瘤的诊断效果:我们对2016年1月至2022年1月期间因后窝肿瘤接受脑磁共振成像的32名儿科患者进行了回顾性研究。每名患者的 DWI 均由两名双盲放射科医生进行评估。计算的 DWI(cDWI)使用单指数模型从 b = 0 和 1,000 s/mm2 以及高 b 值(1,500、2,000、3,000 和 5,000 s/mm2)的图像中进行数学推导。将后窝肿瘤分为低级别和高级别两组,并比较肿瘤/丘脑信号强度(SI)比率。采用曼-惠特尼 U 检验和接收器操作特征曲线(ROC)比较获得的 DWI(DWI1000)、表观弥散系数(ADC)1000 图和 cDWI(cDWI1500、cDWI2000、cDWI3000 和 cDWI5000)的诊断性能:对两组肿瘤进行比较后发现,DWI1000 和 cDWI(cDWI1500、cDWI2000、cDWI3000 和 cDWI5000)上的肿瘤/thalamus SI 比值在统计学上显著高于高级别肿瘤(P < 0.001)。在 ROC 曲线分析中,与 DWI1000(80%,81.80%)相比,cDWI1500、cDWI2000、cDWI3000 和 ADC1000 图谱的灵敏度和特异性更高(100%,90.90%)。结论:使用高b值生成的cDWI能成功区分低级别和高级别后窝肿瘤,且不增加成像时间。临床意义:使用高b值生成的cDWI能提供有关小儿后窝肿瘤级别的额外信息,且不需要额外的成像时间。
本文章由计算机程序翻译,如有差异,请以英文原文为准。
求助全文
约1分钟内获得全文 求助全文
来源期刊
Diagnostic and interventional radiology
Diagnostic and interventional radiology Medicine-Radiology, Nuclear Medicine and Imaging
自引率
4.80%
发文量
0
期刊介绍: Diagnostic and Interventional Radiology (Diagn Interv Radiol) is the open access, online-only official publication of Turkish Society of Radiology. It is published bimonthly and the journal’s publication language is English. The journal is a medium for original articles, reviews, pictorial essays, technical notes related to all fields of diagnostic and interventional radiology.
×
引用
GB/T 7714-2015
复制
MLA
复制
APA
复制
导出至
BibTeX EndNote RefMan NoteFirst NoteExpress
×
提示
您的信息不完整,为了账户安全,请先补充。
现在去补充
×
提示
您因"违规操作"
具体请查看互助需知
我知道了
×
提示
确定
请完成安全验证×
copy
已复制链接
快去分享给好友吧!
我知道了
右上角分享
点击右上角分享
0
联系我们:info@booksci.cn Book学术提供免费学术资源搜索服务,方便国内外学者检索中英文文献。致力于提供最便捷和优质的服务体验。 Copyright © 2023 布克学术 All rights reserved.
京ICP备2023020795号-1
ghs 京公网安备 11010802042870号
Book学术文献互助
Book学术文献互助群
群 号:604180095
Book学术官方微信