Hematologists/Physicians Need to Be Aware of Pseudohypercalcemia in Monoclonal Gammopathy: Lessons from a Case Report.

IF 0.7 Q4 HEMATOLOGY
Case Reports in Hematology Pub Date : 2024-08-19 eCollection Date: 2024-01-01 DOI:10.1155/2024/8844335
Svenja F B J Mennens, Ellen Van der Spek, Janneke Ruinemans-Koerts, Marcel M G J Van Borren
{"title":"Hematologists/Physicians Need to Be Aware of Pseudohypercalcemia in Monoclonal Gammopathy: Lessons from a Case Report.","authors":"Svenja F B J Mennens, Ellen Van der Spek, Janneke Ruinemans-Koerts, Marcel M G J Van Borren","doi":"10.1155/2024/8844335","DOIUrl":null,"url":null,"abstract":"<p><p>We present a patient at risk of misdiagnosis with multiple myeloma due to pseudohypercalcemia. Examinations showed monoclonal protein, 50% monoclonal plasma cells in bone marrow, and hypercalcemia but no osteolytic bone lesions. Follow-up tests revealed pseudohypercalcemia, with elevated total calcium, but normal ionized calcium: a discrepancy due to calcium binding to monoclonal paraprotein (confirmed by laboratory experiments). Accordingly, the patient was diagnosed with smouldering myeloma. After 900 days, the presence of bone lesions prompted the start of treatment for myeloma. Consequently, monoclonal paraprotein levels declined and pseudohypercalcemia dissolved. Hence, ionized calcium should be measured in monoclonal gammopathies to avoid misdiagnosis.</p>","PeriodicalId":46307,"journal":{"name":"Case Reports in Hematology","volume":"2024 ","pages":"8844335"},"PeriodicalIF":0.7000,"publicationDate":"2024-08-19","publicationTypes":"Journal Article","fieldsOfStudy":null,"isOpenAccess":false,"openAccessPdf":"https://www.ncbi.nlm.nih.gov/pmc/articles/PMC11347025/pdf/","citationCount":"0","resultStr":null,"platform":"Semanticscholar","paperid":null,"PeriodicalName":"Case Reports in Hematology","FirstCategoryId":"1085","ListUrlMain":"https://doi.org/10.1155/2024/8844335","RegionNum":0,"RegionCategory":null,"ArticlePicture":[],"TitleCN":null,"AbstractTextCN":null,"PMCID":null,"EPubDate":"2024/1/1 0:00:00","PubModel":"eCollection","JCR":"Q4","JCRName":"HEMATOLOGY","Score":null,"Total":0}
引用次数: 0

Abstract

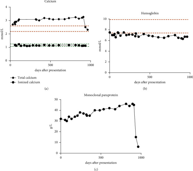
We present a patient at risk of misdiagnosis with multiple myeloma due to pseudohypercalcemia. Examinations showed monoclonal protein, 50% monoclonal plasma cells in bone marrow, and hypercalcemia but no osteolytic bone lesions. Follow-up tests revealed pseudohypercalcemia, with elevated total calcium, but normal ionized calcium: a discrepancy due to calcium binding to monoclonal paraprotein (confirmed by laboratory experiments). Accordingly, the patient was diagnosed with smouldering myeloma. After 900 days, the presence of bone lesions prompted the start of treatment for myeloma. Consequently, monoclonal paraprotein levels declined and pseudohypercalcemia dissolved. Hence, ionized calcium should be measured in monoclonal gammopathies to avoid misdiagnosis.

Abstract Image

Abstract Image

Abstract Image

血液病学家/医生需要警惕单克隆丙种球蛋白病的假性高钙血症:病例报告的启示。
我们为大家介绍一位因假性高钙血症而有可能被误诊为多发性骨髓瘤的患者。检查结果显示骨髓中存在单克隆蛋白、50%的单克隆浆细胞和高钙血症,但没有溶骨性骨病变。后续检查发现假性高钙血症,总钙升高,但离子钙正常:这种差异是由于钙与单克隆副蛋白结合所致(实验室实验证实)。因此,患者被诊断为淤积性骨髓瘤。900 天后,骨骼病变的出现促使骨髓瘤治疗的开始。因此,单克隆副蛋白水平下降,假性高钙血症消失。因此,单克隆淋巴瘤患者应测量离子钙,以避免误诊。
本文章由计算机程序翻译,如有差异,请以英文原文为准。
求助全文
约1分钟内获得全文 求助全文
来源期刊
自引率
0.00%
发文量
51
审稿时长
13 weeks
×
引用
GB/T 7714-2015
复制
MLA
复制
APA
复制
导出至
BibTeX EndNote RefMan NoteFirst NoteExpress
×
提示
您的信息不完整,为了账户安全,请先补充。
现在去补充
×
提示
您因"违规操作"
具体请查看互助需知
我知道了
×
提示
确定
请完成安全验证×
copy
已复制链接
快去分享给好友吧!
我知道了
右上角分享
点击右上角分享
0
联系我们:info@booksci.cn Book学术提供免费学术资源搜索服务,方便国内外学者检索中英文文献。致力于提供最便捷和优质的服务体验。 Copyright © 2023 布克学术 All rights reserved.
京ICP备2023020795号-1
ghs 京公网安备 11010802042870号
Book学术文献互助
Book学术文献互助群
群 号:604180095
Book学术官方微信