Kidney After Lung Transplants or Combined Kidney-Lung Transplantation: A Single-Center Retrospective Cohort Study.

IF 1.4 4区 医学 Q3 SURGERY
Benoît Mesnard, Matthieu Glorion, Arwa Jalal Eddine, Antoine Roux, Julien Branchereau, Yann Neuzillet, Edouard Sage, Thierry Lebret, Alexandre Hertig, François-Xavier Madec, Yanish Soorojebally
{"title":"Kidney After Lung Transplants or Combined Kidney-Lung Transplantation: A Single-Center Retrospective Cohort Study.","authors":"Benoît Mesnard, Matthieu Glorion, Arwa Jalal Eddine, Antoine Roux, Julien Branchereau, Yann Neuzillet, Edouard Sage, Thierry Lebret, Alexandre Hertig, François-Xavier Madec, Yanish Soorojebally","doi":"10.12659/AOT.944049","DOIUrl":null,"url":null,"abstract":"<p><p>BACKGROUND End-stage renal disease is a major issue in the management of patients undergoing lung transplantation. Combined kidney-lung transplantation (CKLT) and kidney after lung transplantation (KALT) are the 2 preferred solutions to manage this situation. To evaluate these strategies, we describe kidney and lung graft outcomes and patient survival in patients managed with CKLT and KALT. MATERIAL AND METHODS We conducted a retrospective single-center cohort study. Patients who underwent a CKLT or a KALT were included in this study. Retrospective extraction of data from medical records was performed. RESULTS Seventeen patients underwent CKLT and 9 underwent KALT. Most of the patients had cystic fibrosis and presented renal failure related to anti-calcineurin toxicity. The 30-day and 1-year survival of CKLT recipients were both 75.6%. No patients with KALT died during the follow-up. Kidney graft prognosis was almost exclusively influenced by patient survival in relation to postoperative lung transplant complications. The rate of severe surgical complications was close to 60% for CKLT compared with 30% for KALT. The kidney graft function (estimated kidney graft function) did not differ according to the transplantation strategy. CONCLUSIONS KALT is a safe option, with postoperative morbidity and renal graft function identical to those of kidney transplantation in non-lung-transplanted patients. The results of CKLT depend mainly on the morbidity associated with lung transplantation but remain an attractive option for patients with respiratory failure associated with end-stage renal disease. The choice of transplant strategy must also take into account the most ethical and efficient allocation of kidney grafts.</p>","PeriodicalId":7935,"journal":{"name":"Annals of Transplantation","volume":"29 ","pages":"e944049"},"PeriodicalIF":1.4000,"publicationDate":"2024-08-13","publicationTypes":"Journal Article","fieldsOfStudy":null,"isOpenAccess":false,"openAccessPdf":"https://www.ncbi.nlm.nih.gov/pmc/articles/PMC11346323/pdf/","citationCount":"0","resultStr":null,"platform":"Semanticscholar","paperid":null,"PeriodicalName":"Annals of Transplantation","FirstCategoryId":"3","ListUrlMain":"https://doi.org/10.12659/AOT.944049","RegionNum":4,"RegionCategory":"医学","ArticlePicture":[],"TitleCN":null,"AbstractTextCN":null,"PMCID":null,"EPubDate":"","PubModel":"","JCR":"Q3","JCRName":"SURGERY","Score":null,"Total":0}
引用次数: 0

Abstract

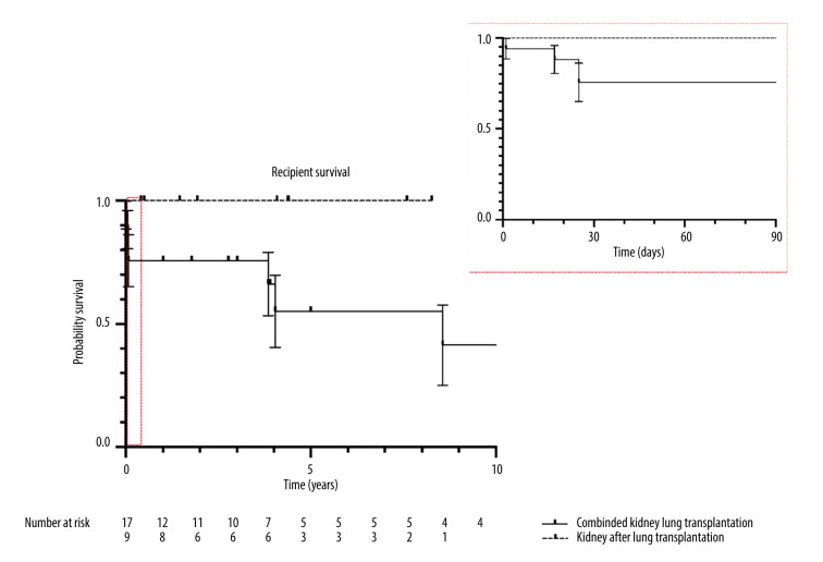
BACKGROUND End-stage renal disease is a major issue in the management of patients undergoing lung transplantation. Combined kidney-lung transplantation (CKLT) and kidney after lung transplantation (KALT) are the 2 preferred solutions to manage this situation. To evaluate these strategies, we describe kidney and lung graft outcomes and patient survival in patients managed with CKLT and KALT. MATERIAL AND METHODS We conducted a retrospective single-center cohort study. Patients who underwent a CKLT or a KALT were included in this study. Retrospective extraction of data from medical records was performed. RESULTS Seventeen patients underwent CKLT and 9 underwent KALT. Most of the patients had cystic fibrosis and presented renal failure related to anti-calcineurin toxicity. The 30-day and 1-year survival of CKLT recipients were both 75.6%. No patients with KALT died during the follow-up. Kidney graft prognosis was almost exclusively influenced by patient survival in relation to postoperative lung transplant complications. The rate of severe surgical complications was close to 60% for CKLT compared with 30% for KALT. The kidney graft function (estimated kidney graft function) did not differ according to the transplantation strategy. CONCLUSIONS KALT is a safe option, with postoperative morbidity and renal graft function identical to those of kidney transplantation in non-lung-transplanted patients. The results of CKLT depend mainly on the morbidity associated with lung transplantation but remain an attractive option for patients with respiratory failure associated with end-stage renal disease. The choice of transplant strategy must also take into account the most ethical and efficient allocation of kidney grafts.

Abstract Image

Abstract Image

Abstract Image

肺移植或肾肺联合移植后的肾脏:单中心回顾性队列研究
背景终末期肾病是肺移植患者管理中的一个主要问题。肾肺联合移植(CKLT)和肺移植后肾移植(KALT)是治疗这种情况的两种首选方案。为了评估这些策略,我们描述了采用 CKLT 和 KALT 治疗的患者的肾脏和肺移植结果以及患者存活率。材料和方法 我们进行了一项回顾性单中心队列研究。接受 CKLT 或 KALT 的患者均纳入本研究。我们从病历中回顾性地提取了数据。结果 17名患者接受了CKLT,9名患者接受了KALT。大多数患者患有囊性纤维化,并出现了与抗钙神经蛋白毒性相关的肾衰竭。CKLT受者的30天和1年存活率均为75.6%。没有 KALT 患者在随访期间死亡。肾移植预后几乎完全受患者术后肺移植并发症存活率的影响。CKLT的严重手术并发症发生率接近60%,而KALT为30%。肾脏移植功能(估计肾脏移植功能)并不因移植策略而异。结论 KALT 是一种安全的选择,其术后发病率和肾移植功能与非肺移植患者的肾移植相同。CKLT 的效果主要取决于肺移植的相关发病率,但对于伴有终末期肾病的呼吸衰竭患者来说,CKLT 仍然是一种有吸引力的选择。移植策略的选择还必须考虑到肾移植的最道德和最有效分配。
本文章由计算机程序翻译,如有差异,请以英文原文为准。
求助全文
约1分钟内获得全文 求助全文
来源期刊
CiteScore
2.50
自引率
0.00%
发文量
79
审稿时长
>12 weeks
期刊介绍: Annals of Transplantation is one of the fast-developing journals open to all scientists and fields of transplant medicine and related research. The journal is published quarterly and provides extensive coverage of the most important advances in transplantation. Using an electronic on-line submission and peer review tracking system, Annals of Transplantation is committed to rapid review and publication. The average time to first decision is around 3-4 weeks. Time to publication of accepted manuscripts continues to be shortened, with the Editorial team committed to a goal of 3 months from acceptance to publication. Expert reseachers and clinicians from around the world contribute original Articles, Review Papers, Case Reports and Special Reports in every pertinent specialty, providing a lot of arguments for discussion of exciting developments and controversies in the field.
×
引用
GB/T 7714-2015
复制
MLA
复制
APA
复制
导出至
BibTeX EndNote RefMan NoteFirst NoteExpress
×
提示
您的信息不完整,为了账户安全,请先补充。
现在去补充
×
提示
您因"违规操作"
具体请查看互助需知
我知道了
×
提示
确定
请完成安全验证×
copy
已复制链接
快去分享给好友吧!
我知道了
右上角分享
点击右上角分享
0
联系我们:info@booksci.cn Book学术提供免费学术资源搜索服务,方便国内外学者检索中英文文献。致力于提供最便捷和优质的服务体验。 Copyright © 2023 布克学术 All rights reserved.
京ICP备2023020795号-1
ghs 京公网安备 11010802042870号
Book学术文献互助
Book学术文献互助群
群 号:604180095
Book学术官方微信