Hemispheric asymmetry for global-local processing: Effects of stimulus category and ageing.

IF 1.4 3区 心理学 Q4 PHYSIOLOGY
Haiwen Chen, Jolene A Cox, Anne M Aimola Davies
{"title":"Hemispheric asymmetry for global-local processing: Effects of stimulus category and ageing.","authors":"Haiwen Chen, Jolene A Cox, Anne M Aimola Davies","doi":"10.1177/17470218241280800","DOIUrl":null,"url":null,"abstract":"<p><p>Hemispheric asymmetry has been reported for global-local processing in young and older adults, with global processing specialised in the right hemisphere (RH-global specialisation) and local processing specialised in the left hemisphere (LH-local specialisation). Questions persist regarding the extent to which hemispheric asymmetry is influenced by stimulus category (verbal stimuli processed in the left hemisphere; visuospatial stimuli processed in the right hemisphere). Some evidence suggests stimulus category does not influence hemispheric asymmetry (stimulus-independent account) while other evidence suggests it does (stimulus-dependent account). In older adults, there is evidence of a local-processing advantage, believed to result from slower and less accurate performance in right-hemisphere compared to left-hemisphere functioning-the right-hemisphere ageing hypothesis. We examined hemispheric asymmetry for global-local processing in young and older participants with three hierarchical figures (letters, verbalisable objects, and nonverbalisable shapes), in a within-subjects design using a divided-attention paradigm and unilateral presentation. Our findings for letters and verbalisable objects support the stimulus-independent account-young and older participants demonstrated RH-global specialisation and LH-local specialisation regardless of stimulus category. In older participants, we also found a local-processing advantage for all three stimulus categories-an advantage best explained as faster and more accurate performance in local processing regardless of the visual field of stimulus presentation. Overall, we found hemispheric asymmetry for global-local processing in both young and older adults, and differences in global processing between young and older adults. Future investigation is suggested for the hemispheric asymmetry found in global-local processing of nonverbalisable shapes, and the mechanisms underlying age-related changes in global processing.</p>","PeriodicalId":20869,"journal":{"name":"Quarterly Journal of Experimental Psychology","volume":" ","pages":"1627-1648"},"PeriodicalIF":1.4000,"publicationDate":"2025-08-01","publicationTypes":"Journal Article","fieldsOfStudy":null,"isOpenAccess":false,"openAccessPdf":"https://www.ncbi.nlm.nih.gov/pmc/articles/PMC12267869/pdf/","citationCount":"0","resultStr":null,"platform":"Semanticscholar","paperid":null,"PeriodicalName":"Quarterly Journal of Experimental Psychology","FirstCategoryId":"102","ListUrlMain":"https://doi.org/10.1177/17470218241280800","RegionNum":3,"RegionCategory":"心理学","ArticlePicture":[],"TitleCN":null,"AbstractTextCN":null,"PMCID":null,"EPubDate":"2024/11/11 0:00:00","PubModel":"Epub","JCR":"Q4","JCRName":"PHYSIOLOGY","Score":null,"Total":0}
引用次数: 0

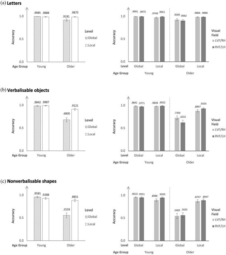
Abstract

Hemispheric asymmetry has been reported for global-local processing in young and older adults, with global processing specialised in the right hemisphere (RH-global specialisation) and local processing specialised in the left hemisphere (LH-local specialisation). Questions persist regarding the extent to which hemispheric asymmetry is influenced by stimulus category (verbal stimuli processed in the left hemisphere; visuospatial stimuli processed in the right hemisphere). Some evidence suggests stimulus category does not influence hemispheric asymmetry (stimulus-independent account) while other evidence suggests it does (stimulus-dependent account). In older adults, there is evidence of a local-processing advantage, believed to result from slower and less accurate performance in right-hemisphere compared to left-hemisphere functioning-the right-hemisphere ageing hypothesis. We examined hemispheric asymmetry for global-local processing in young and older participants with three hierarchical figures (letters, verbalisable objects, and nonverbalisable shapes), in a within-subjects design using a divided-attention paradigm and unilateral presentation. Our findings for letters and verbalisable objects support the stimulus-independent account-young and older participants demonstrated RH-global specialisation and LH-local specialisation regardless of stimulus category. In older participants, we also found a local-processing advantage for all three stimulus categories-an advantage best explained as faster and more accurate performance in local processing regardless of the visual field of stimulus presentation. Overall, we found hemispheric asymmetry for global-local processing in both young and older adults, and differences in global processing between young and older adults. Future investigation is suggested for the hemispheric asymmetry found in global-local processing of nonverbalisable shapes, and the mechanisms underlying age-related changes in global processing.

Abstract Image

Abstract Image

Abstract Image

表达:全局-局部处理的半球不对称:刺激类别和老化的影响
据报道,年轻人和老年人的全局-局部处理存在半球不对称现象,全局处理在右半球(RH-全局特化),局部处理在左半球(LH-局部特化)。关于半球不对称受刺激类别(语言刺激在左半球处理;视觉空间刺激在右半球处理)影响的程度,一直存在疑问。一些证据表明刺激类别不会影响大脑半球的不对称性(刺激无关说),而另一些证据则表明刺激类别会影响大脑半球的不对称性(刺激相关说)。在老年人中,有证据表明存在局部处理优势,这种优势被认为是由于右半球的功能比左半球的功能更慢、更不准确--右半球老化假说。我们采用分注意范式和单侧呈现的被试内设计,通过三个层次的图形(字母、可语言表达的物体、不可语言表达的形状)研究了年轻和年长被试在全局-局部处理过程中的半球不对称性。我们对字母和可言语物体的研究结果支持了刺激无关论--无论刺激类别如何,年轻和年长的参与者都表现出了RH-全局特化和LH-局部特化。在年龄较大的参与者中,我们还发现他们对所有三个刺激类别都具有局部处理优势--这种优势的最佳解释是,无论刺激呈现在哪个视场,他们在局部处理过程中的表现都更快更准确。总之,我们发现年轻人和老年人在全局-局部处理方面存在半球不对称性,而且年轻人和老年人在全局处理方面也存在差异。我们建议今后对非语言形状的全局-局部处理过程中发现的半球不对称现象以及全局处理过程中与年龄相关的变化机制进行研究。
本文章由计算机程序翻译,如有差异,请以英文原文为准。
求助全文
约1分钟内获得全文 求助全文
来源期刊
CiteScore
3.50
自引率
5.90%
发文量
178
审稿时长
3-8 weeks
期刊介绍: Promoting the interests of scientific psychology and its researchers, QJEP, the journal of the Experimental Psychology Society, is a leading journal with a long-standing tradition of publishing cutting-edge research. Several articles have become classic papers in the fields of attention, perception, learning, memory, language, and reasoning. The journal publishes original articles on any topic within the field of experimental psychology (including comparative research). These include substantial experimental reports, review papers, rapid communications (reporting novel techniques or ground breaking results), comments (on articles previously published in QJEP or on issues of general interest to experimental psychologists), and book reviews. Experimental results are welcomed from all relevant techniques, including behavioural testing, brain imaging and computational modelling. QJEP offers a competitive publication time-scale. Accepted Rapid Communications have priority in the publication cycle and usually appear in print within three months. We aim to publish all accepted (but uncorrected) articles online within seven days. Our Latest Articles page offers immediate publication of articles upon reaching their final form. The journal offers an open access option called Open Select, enabling authors to meet funder requirements to make their article free to read online for all in perpetuity. Authors also benefit from a broad and diverse subscription base that delivers the journal contents to a world-wide readership. Together these features ensure that the journal offers authors the opportunity to raise the visibility of their work to a global audience.
×
引用
GB/T 7714-2015
复制
MLA
复制
APA
复制
导出至
BibTeX EndNote RefMan NoteFirst NoteExpress
×
提示
您的信息不完整,为了账户安全,请先补充。
现在去补充
×
提示
您因"违规操作"
具体请查看互助需知
我知道了
×
提示
确定
请完成安全验证×
copy
已复制链接
快去分享给好友吧!
我知道了
右上角分享
点击右上角分享
0
联系我们:info@booksci.cn Book学术提供免费学术资源搜索服务,方便国内外学者检索中英文文献。致力于提供最便捷和优质的服务体验。 Copyright © 2023 布克学术 All rights reserved.
京ICP备2023020795号-1
ghs 京公网安备 11010802042870号
Book学术文献互助
Book学术文献互助群
群 号:604180095
Book学术官方微信