Stability of adrenocorticotropic hormone in whole blood samples: effects of storage conditions.

IF 1.8
Biochemia medica Pub Date : 2024-10-15 Epub Date: 2024-08-05 DOI:10.11613/BM.2024.030702
François Fraissinet, Hélène Girot, André Gillibert, Anaïs Melin, Julie Fettig, Valéry Brunel
{"title":"Stability of adrenocorticotropic hormone in whole blood samples: effects of storage conditions.","authors":"François Fraissinet, Hélène Girot, André Gillibert, Anaïs Melin, Julie Fettig, Valéry Brunel","doi":"10.11613/BM.2024.030702","DOIUrl":null,"url":null,"abstract":"<p><strong>Introduction: </strong>Adrenocorticotropic hormone (ACTH) is a peptide secreted by pituitary gland that plays an important role in regulating cortisol secretion. Its determination is difficult because of instability in whole blood. Several factors that influence ACTH stability in blood before analysis have been identified: temperature, hemolysis, time to centrifugation and presence of protease inhibitors. Published results on ACTH whole blood stability seem contradictory.</p><p><strong>Materials and methods: </strong>We performed a stability study in 10 healthy volunteers. Three different conditions were tested: ethylenediaminetetraacetic acid (EDTA) at 4 °C, EDTA + aprotinin at 4 °C, EDTA + aprotinin at room temperature. Stability was evaluated for 8 hours. Adrenocorticotropic hormone measurements and hemolysis index were performed respectively on Cobas e602 and c701 (Roche Diagnostics, Mannheim, Germany). We compared percentage deviations with total change limit using a threshold of 7.5%.</p><p><strong>Results: </strong>We showed that ACTH is stable 8 hours with EDTA at 4 °C, 4 hours with EDTA + aprotinin at 4 °C and 2 hours with EDTA + aprotinin at 22 °C.</p><p><strong>Conclusions: </strong>Aprotinin does not appear to give ACTH greater stability but can be used without exceeding 4 hours at 4 °C. Refrigerated pouch transport also seems to be more appropriate for ACTH in whole blood.</p>","PeriodicalId":94370,"journal":{"name":"Biochemia medica","volume":"34 3","pages":"030702"},"PeriodicalIF":1.8000,"publicationDate":"2024-10-15","publicationTypes":"Journal Article","fieldsOfStudy":null,"isOpenAccess":false,"openAccessPdf":"https://www.ncbi.nlm.nih.gov/pmc/articles/PMC11334200/pdf/","citationCount":"0","resultStr":null,"platform":"Semanticscholar","paperid":null,"PeriodicalName":"Biochemia medica","FirstCategoryId":"1085","ListUrlMain":"https://doi.org/10.11613/BM.2024.030702","RegionNum":0,"RegionCategory":null,"ArticlePicture":[],"TitleCN":null,"AbstractTextCN":null,"PMCID":null,"EPubDate":"2024/8/5 0:00:00","PubModel":"Epub","JCR":"","JCRName":"","Score":null,"Total":0}
引用次数: 0

Abstract

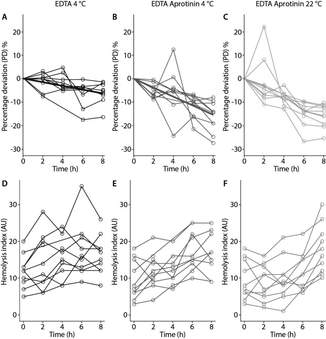
Introduction: Adrenocorticotropic hormone (ACTH) is a peptide secreted by pituitary gland that plays an important role in regulating cortisol secretion. Its determination is difficult because of instability in whole blood. Several factors that influence ACTH stability in blood before analysis have been identified: temperature, hemolysis, time to centrifugation and presence of protease inhibitors. Published results on ACTH whole blood stability seem contradictory.

Materials and methods: We performed a stability study in 10 healthy volunteers. Three different conditions were tested: ethylenediaminetetraacetic acid (EDTA) at 4 °C, EDTA + aprotinin at 4 °C, EDTA + aprotinin at room temperature. Stability was evaluated for 8 hours. Adrenocorticotropic hormone measurements and hemolysis index were performed respectively on Cobas e602 and c701 (Roche Diagnostics, Mannheim, Germany). We compared percentage deviations with total change limit using a threshold of 7.5%.

Results: We showed that ACTH is stable 8 hours with EDTA at 4 °C, 4 hours with EDTA + aprotinin at 4 °C and 2 hours with EDTA + aprotinin at 22 °C.

Conclusions: Aprotinin does not appear to give ACTH greater stability but can be used without exceeding 4 hours at 4 °C. Refrigerated pouch transport also seems to be more appropriate for ACTH in whole blood.

Abstract Image

Abstract Image

Abstract Image

全血样本中促肾上腺皮质激素的稳定性:储存条件的影响。
简介促肾上腺皮质激素(ACTH)是垂体分泌的一种多肽,在调节皮质醇分泌方面发挥着重要作用。由于其在全血中不稳定,因此很难测定。目前已发现影响分析前 ACTH 在血液中稳定性的几个因素:温度、溶血、离心时间和蛋白酶抑制剂的存在。已发表的有关 ACTH 全血稳定性的结果似乎相互矛盾:我们对 10 名健康志愿者进行了稳定性研究。测试了三种不同的条件:乙二胺四乙酸(EDTA)4 °C、乙二胺四乙酸+阿普罗宁4 °C、乙二胺四乙酸+阿普罗宁室温。稳定性评估时间为 8 小时。肾上腺皮质激素测定和溶血指数测定分别在 Cobas e602 和 c701(罗氏诊断公司,德国曼海姆)上进行。我们以 7.5% 为临界值,比较了百分比偏差与总变化限度:结论:阿普罗汀似乎并不能提高促肾上腺皮质激素的稳定性,但在 4 °C 下使用不超过 4 小时也是可以的。冷藏袋运输似乎也更适合全血中的促肾上腺皮质激素。
本文章由计算机程序翻译,如有差异,请以英文原文为准。
求助全文
约1分钟内获得全文 求助全文
来源期刊
自引率
0.00%
发文量
0
×
引用
GB/T 7714-2015
复制
MLA
复制
APA
复制
导出至
BibTeX EndNote RefMan NoteFirst NoteExpress
×
提示
您的信息不完整,为了账户安全,请先补充。
现在去补充
×
提示
您因"违规操作"
具体请查看互助需知
我知道了
×
提示
确定
请完成安全验证×
copy
已复制链接
快去分享给好友吧!
我知道了
右上角分享
点击右上角分享
0
联系我们:info@booksci.cn Book学术提供免费学术资源搜索服务,方便国内外学者检索中英文文献。致力于提供最便捷和优质的服务体验。 Copyright © 2023 布克学术 All rights reserved.
京ICP备2023020795号-1
ghs 京公网安备 11010802042870号
Book学术文献互助
Book学术文献互助群
群 号:604180095
Book学术官方微信