Global burden of young-onset Alzheimer's disease and other dementias: a secondary analysis of the global burden of disease study, 2019.

Q3 Medicine
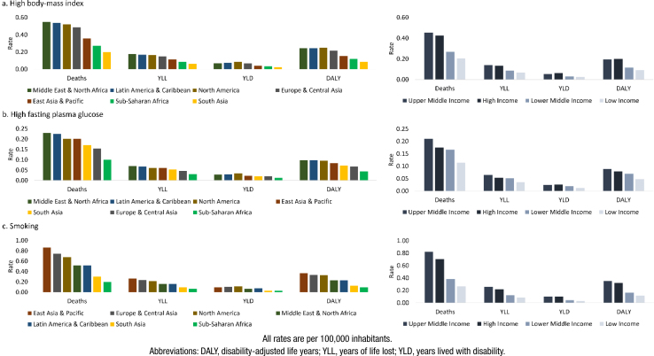
Dementia e Neuropsychologia Pub Date : 2024-08-19 eCollection Date: 2024-01-01 DOI:10.1590/1980-5764-DN-2024-0134
Diego Fernando Rojas-Gualdrón, Manuela Sánchez Henao, Carlos Alberto Uribe Zuluaga, Alejandro Espinosa Henao, Clara Angela Gómez Henck
{"title":"Global burden of young-onset Alzheimer's disease and other dementias: a secondary analysis of the global burden of disease study, 2019.","authors":"Diego Fernando Rojas-Gualdrón, Manuela Sánchez Henao, Carlos Alberto Uribe Zuluaga, Alejandro Espinosa Henao, Clara Angela Gómez Henck","doi":"10.1590/1980-5764-DN-2024-0134","DOIUrl":null,"url":null,"abstract":"<p><p>The aging of the world population has led to an increase in the epidemiology and burden of Alzheimer's disease and other dementias.</p><p><strong>Objective: </strong>To describe the global burden of young-onset Alzheimer's disease and other dementias by world region and income through a secondary analysis of the Global Burden of Disease Study 2019.</p><p><strong>Methods: </strong>This is a descriptive cross-sectional ecological study. Data by sex and five-year age groups from 40 to 64 years were extracted from the Global Burden of Disease Study results tool. We performed a descriptive analysis of prevalence, incidence, deaths, disability-adjusted life years, years of life lost, and years lived with disability.</p><p><strong>Results: </strong>In 2019, young-onset Alzheimer's disease and other dementias presented a prevalence of 2.67 cases and an incidence of 0.44 per 1,000 inhabitants globally. It carried a significant burden, resulting in 1.16 disability-adjusted life years per 1,000 inhabitants, primarily due to years of life lost, and to a lesser extent due to years lived with disability. East Asia & the Pacific, Latin America & the Caribbean, and North America are the most affected regions. Burden rates are consistently higher among women; no gradient was observed by country income. Smoking was the most relevant risk factor, presenting a broad difference by country income level.</p><p><strong>Conclusion: </strong>The global burden of young-onset Alzheimer's disease and other dementias may reshape healthcare requirements and the societal impact of dementias, and its understanding is relevant to inform decisions related to service offerings and research agendas.</p>","PeriodicalId":39167,"journal":{"name":"Dementia e Neuropsychologia","volume":"18 ","pages":"e20240134"},"PeriodicalIF":0.0000,"publicationDate":"2024-08-19","publicationTypes":"Journal Article","fieldsOfStudy":null,"isOpenAccess":false,"openAccessPdf":"https://www.ncbi.nlm.nih.gov/pmc/articles/PMC11338516/pdf/","citationCount":"0","resultStr":null,"platform":"Semanticscholar","paperid":null,"PeriodicalName":"Dementia e Neuropsychologia","FirstCategoryId":"1085","ListUrlMain":"https://doi.org/10.1590/1980-5764-DN-2024-0134","RegionNum":0,"RegionCategory":null,"ArticlePicture":[],"TitleCN":null,"AbstractTextCN":null,"PMCID":null,"EPubDate":"2024/1/1 0:00:00","PubModel":"eCollection","JCR":"Q3","JCRName":"Medicine","Score":null,"Total":0}
引用次数: 0

Abstract

The aging of the world population has led to an increase in the epidemiology and burden of Alzheimer's disease and other dementias.

Objective: To describe the global burden of young-onset Alzheimer's disease and other dementias by world region and income through a secondary analysis of the Global Burden of Disease Study 2019.

Methods: This is a descriptive cross-sectional ecological study. Data by sex and five-year age groups from 40 to 64 years were extracted from the Global Burden of Disease Study results tool. We performed a descriptive analysis of prevalence, incidence, deaths, disability-adjusted life years, years of life lost, and years lived with disability.

Results: In 2019, young-onset Alzheimer's disease and other dementias presented a prevalence of 2.67 cases and an incidence of 0.44 per 1,000 inhabitants globally. It carried a significant burden, resulting in 1.16 disability-adjusted life years per 1,000 inhabitants, primarily due to years of life lost, and to a lesser extent due to years lived with disability. East Asia & the Pacific, Latin America & the Caribbean, and North America are the most affected regions. Burden rates are consistently higher among women; no gradient was observed by country income. Smoking was the most relevant risk factor, presenting a broad difference by country income level.

Conclusion: The global burden of young-onset Alzheimer's disease and other dementias may reshape healthcare requirements and the societal impact of dementias, and its understanding is relevant to inform decisions related to service offerings and research agendas.

Abstract Image

Abstract Image

Abstract Image

幼年阿尔茨海默病和其他痴呆症的全球负担:2019 年全球疾病负担研究的二次分析。
世界人口老龄化导致阿尔茨海默病和其他痴呆症的流行病学和负担增加:通过对《2019 年全球疾病负担研究》(Global Burden of Disease Study 2019)的二次分析,按世界地区和收入描述年轻发病的阿尔茨海默病和其他痴呆症的全球负担:这是一项描述性横断面生态研究。从全球疾病负担研究结果工具中提取了按性别和 40 至 64 岁的五年年龄组划分的数据。我们对患病率、发病率、死亡人数、残疾调整生命年数、生命损失年数和残疾生活年数进行了描述性分析:2019年,全球每1,000名居民中,年轻发病的阿尔茨海默病和其他痴呆症的患病率为2.67例,发病率为0.44例。阿尔茨海默病造成了巨大的负担,每千名居民的残疾调整寿命年数为1.16年,这主要是由于失去的生命年数造成的,其次是由于残疾生活年数造成的。东亚和太平洋地区、拉丁美洲和加勒比地区以及北美洲是受影响最严重的地区。妇女的负担率一直较高;没有观察到国家收入的梯度。吸烟是最相关的风险因素,各国收入水平差异很大:年轻发病的阿尔茨海默病和其他痴呆症的全球负担可能会重塑医疗保健需求和痴呆症的社会影响,对这一问题的了解有助于做出与提供服务和研究议程相关的决策。
本文章由计算机程序翻译,如有差异,请以英文原文为准。
求助全文
约1分钟内获得全文 求助全文
来源期刊
Dementia e Neuropsychologia
Dementia e Neuropsychologia Medicine-Geriatrics and Gerontology
CiteScore
2.20
自引率
0.00%
发文量
58
审稿时长
8 weeks
期刊介绍: Dementia top Neuropsychologia the official scientific journal of the Cognitive Neurology and Ageing Department of the Brazilian Academy of Neurology and of the Brazilian Association of Geriatric Neuropsychiatry, is published by the "Associação Neurologia Cognitiva e do Comportamento", a nonprofit Brazilian association. Regularly published on March, June, September, and December since 2007.
×
引用
GB/T 7714-2015
复制
MLA
复制
APA
复制
导出至
BibTeX EndNote RefMan NoteFirst NoteExpress
×
提示
您的信息不完整,为了账户安全,请先补充。
现在去补充
×
提示
您因"违规操作"
具体请查看互助需知
我知道了
×
提示
确定
请完成安全验证×
copy
已复制链接
快去分享给好友吧!
我知道了
右上角分享
点击右上角分享
0
联系我们:info@booksci.cn Book学术提供免费学术资源搜索服务,方便国内外学者检索中英文文献。致力于提供最便捷和优质的服务体验。 Copyright © 2023 布克学术 All rights reserved.
京ICP备2023020795号-1
ghs 京公网安备 11010802042870号
Book学术文献互助
Book学术文献互助群
群 号:604180095
Book学术官方微信