Optimization of inhaled anesthesia for Octodon degus using electroencephalography.

IF 1.2 4区 农林科学 Q1 VETERINARY SCIENCES
Experimental Animals Pub Date : 2025-01-10 Epub Date: 2024-08-22 DOI:10.1538/expanim.24-0017
Yuki Ikai, Goro A Nagura-Kato, Shinsuke H Sakamoto, Akio Shinohara, Chihiro Koshimoto
{"title":"Optimization of inhaled anesthesia for Octodon degus using electroencephalography.","authors":"Yuki Ikai, Goro A Nagura-Kato, Shinsuke H Sakamoto, Akio Shinohara, Chihiro Koshimoto","doi":"10.1538/expanim.24-0017","DOIUrl":null,"url":null,"abstract":"<p><p>Physiological responses to inhaled anesthetics vary among species. Therefore, a precise anesthetic technique is important for each individual species. In this study, we focused on the degu (Octodon degus), a small herbivorous rodent. Degus have recently begun to be used as laboratory models for brain research because of certain human-like characteristics, such as spontaneous development of Alzheimer's disease. In this study, we evaluated appropriate induction and maintenance anesthesia conditions for isoflurane and sevoflurane in degus by a stimulation test, electroencephalography (EEG), minimum alveolar concentration (MAC), and vital signs. During induction, more rapid time to loss of the righting reflex and deeper anesthesia in degus were observed in isoflurane. The MAC value for degus were 1.75 ± 0.0% in isoflurane and 2.25 ± 0.27% in sevoflurane. Whereas some degus were awake during maintenance anesthesia using both anesthetics at concentrations of ≤2%, no rats were awake when using sevoflurane at a concentration of 2%. The duration of the total flat EEG, a measure of the depth of maintenance anesthesia, was longer for isoflurane than for sevoflurane. Furthermore, higher concentrations of both anesthetics suppressed the respiratory rate in degus. These new findings regarding inhalation anesthesia in degus will contribute to future developments in the fields of laboratory animals and veterinary medicine.</p>","PeriodicalId":12102,"journal":{"name":"Experimental Animals","volume":" ","pages":"93-103"},"PeriodicalIF":1.2000,"publicationDate":"2025-01-10","publicationTypes":"Journal Article","fieldsOfStudy":null,"isOpenAccess":false,"openAccessPdf":"https://www.ncbi.nlm.nih.gov/pmc/articles/PMC11742480/pdf/","citationCount":"0","resultStr":null,"platform":"Semanticscholar","paperid":null,"PeriodicalName":"Experimental Animals","FirstCategoryId":"3","ListUrlMain":"https://doi.org/10.1538/expanim.24-0017","RegionNum":4,"RegionCategory":"农林科学","ArticlePicture":[],"TitleCN":null,"AbstractTextCN":null,"PMCID":null,"EPubDate":"2024/8/22 0:00:00","PubModel":"Epub","JCR":"Q1","JCRName":"VETERINARY SCIENCES","Score":null,"Total":0}
引用次数: 0

Abstract

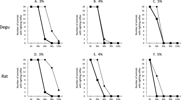
Physiological responses to inhaled anesthetics vary among species. Therefore, a precise anesthetic technique is important for each individual species. In this study, we focused on the degu (Octodon degus), a small herbivorous rodent. Degus have recently begun to be used as laboratory models for brain research because of certain human-like characteristics, such as spontaneous development of Alzheimer's disease. In this study, we evaluated appropriate induction and maintenance anesthesia conditions for isoflurane and sevoflurane in degus by a stimulation test, electroencephalography (EEG), minimum alveolar concentration (MAC), and vital signs. During induction, more rapid time to loss of the righting reflex and deeper anesthesia in degus were observed in isoflurane. The MAC value for degus were 1.75 ± 0.0% in isoflurane and 2.25 ± 0.27% in sevoflurane. Whereas some degus were awake during maintenance anesthesia using both anesthetics at concentrations of ≤2%, no rats were awake when using sevoflurane at a concentration of 2%. The duration of the total flat EEG, a measure of the depth of maintenance anesthesia, was longer for isoflurane than for sevoflurane. Furthermore, higher concentrations of both anesthetics suppressed the respiratory rate in degus. These new findings regarding inhalation anesthesia in degus will contribute to future developments in the fields of laboratory animals and veterinary medicine.

Abstract Image

Abstract Image

Abstract Image

利用脑电图优化八爪鱼的吸入麻醉。
不同物种对吸入麻醉剂的生理反应各不相同。因此,精确的麻醉技术对每个物种都很重要。在这项研究中,我们重点研究了一种小型食草啮齿类动物--degu(八齿鼬)。degus具有某些类似人类的特征,如自发发展出阿尔茨海默病,因此最近开始被用作大脑研究的实验室模型。在这项研究中,我们通过刺激试验、脑电图(EEG)、最小肺泡浓度(MAC)和生命体征评估了异氟醚和七氟醚在豚鼠体内的合适诱导和维持麻醉条件。在诱导过程中,观察到异氟醚对degus的右反射消失时间更快,麻醉程度更深。异氟醚的MAC值为1.75 ± 0.0%,七氟醚的MAC值为2.25 ± 0.27%。在使用浓度≤2%的两种麻醉剂进行维持麻醉时,一些degus大鼠保持清醒,但在使用浓度为2%的七氟醚时,没有大鼠保持清醒。作为维持麻醉深度的衡量标准,异氟醚的全平脑电图持续时间比七氟醚长。此外,两种麻醉剂的浓度越高,越能抑制degus的呼吸频率。这些关于德格犬吸入麻醉的新发现将有助于实验动物和兽医领域的未来发展。
本文章由计算机程序翻译,如有差异,请以英文原文为准。
求助全文
约1分钟内获得全文 求助全文
来源期刊
Experimental Animals
Experimental Animals 生物-动物学
CiteScore
2.80
自引率
4.20%
发文量
2
审稿时长
3 months
期刊介绍: The aim of this international journal is to accelerate progress in laboratory animal experimentation and disseminate relevant information in related areas through publication of peer reviewed Original papers and Review articles. The journal covers basic to applied biomedical research centering around use of experimental animals and also covers topics related to experimental animals such as technology, management, and animal welfare.
×
引用
GB/T 7714-2015
复制
MLA
复制
APA
复制
导出至
BibTeX EndNote RefMan NoteFirst NoteExpress
×
提示
您的信息不完整,为了账户安全,请先补充。
现在去补充
×
提示
您因"违规操作"
具体请查看互助需知
我知道了
×
提示
确定
请完成安全验证×
copy
已复制链接
快去分享给好友吧!
我知道了
右上角分享
点击右上角分享
0
联系我们:info@booksci.cn Book学术提供免费学术资源搜索服务,方便国内外学者检索中英文文献。致力于提供最便捷和优质的服务体验。 Copyright © 2023 布克学术 All rights reserved.
京ICP备2023020795号-1
ghs 京公网安备 11010802042870号
Book学术文献互助
Book学术文献互助群
群 号:604180095
Book学术官方微信