Umbilical Cord Blood-Derived Cells Can Reconstruct Hematopoiesis in an Aplastic Anemia Animal Model.

IF 3.3 3区 医学 Q2 CELL & TISSUE ENGINEERING
Stem Cells International Pub Date : 2024-08-12 eCollection Date: 2024-01-01 DOI:10.1155/2024/4095268
Zesong Chen, Chen Yang, Jiang Ji, Miao Chen, Bing Han
{"title":"Umbilical Cord Blood-Derived Cells Can Reconstruct Hematopoiesis in an Aplastic Anemia Animal Model.","authors":"Zesong Chen, Chen Yang, Jiang Ji, Miao Chen, Bing Han","doi":"10.1155/2024/4095268","DOIUrl":null,"url":null,"abstract":"<p><strong>Objectives: </strong>To explore the efficacy and the mechanism of the umbilical cord-derived cells combined with cyclosporine A (CsA) in treating aplastic anemia (AA) in mice.</p><p><strong>Methods: </strong>Immune-mediated AA model mice were treated with CsA + UC mesenchymal stem cells (UC-MSC), CsA + umbilical cord blood regulatory T cells (UCB-T<sub>reg</sub>), UC-MSC, UCB-T<sub>reg</sub>, CsA alone, or blank control, respectively (<i>n</i> = 9 mice/group). CsA and the cell infusion was administered on d0. Routine peripheral blood testing was performed once weekly; bone marrow colony culture, bone marrow cell flow cytometry, peripheral blood T cell subsets, and serum inflammatory cytokines tests were performed on d14. Transcriptome sequencing was performed for cells from CsA + UC-MSC, CsA + UCB-T<sub>reg</sub>, and CsA groups to detect the possible related genes. Gene function cluster and signal pathway enrichment analysis were also performed.</p><p><strong>Results: </strong>Blank control mice died due to pancytopenia within 21 days, whereas mice in other groups survived for >28 days. On d14, the CsA + UC-MSC and CsA + UCB-T<sub>reg</sub> groups had higher white blood cell (WBC) counts than the other groups (<i>p</i> < 0.05), along with higher burst-forming unit (BFU) and colony-forming unit-granulocyte, macrophage (CFU-GM) counts (<i>p</i> < 0.01). The CsA + UC-MSC group had the highest BFU count (<i>p</i> < 0.01). The CsA + UC-MSC and CsA + UCB-T<sub>reg</sub> groups exhibited the highest bone marrow CD34<sup>+</sup> cell proportion (9.68% ± 1.35% and 8.17% ± 0.53%, respectively; <i>p</i> < 0.01). Tumor necrosis factor (TNF)-<i>α</i> and interleukin (IL)-2 levels in the CsA + UC-MSC group (<i>p</i> < 0.05) and TNF-<i>α</i>, interleukin-2, and interferon (INF)-<i>γ</i> levels in the CsA + UC-T<sub>reg</sub> group (<i>p</i> < 0.01) were lower than those in the CsA group. Compared with CsA treatment, CsA + UC-MSC significantly downregulated the histone methylation pathway (<i>p</i> < 0.05), whereas CsA + UCB-T<sub>reg</sub> significantly upregulated energy metabolism processes (<i>p</i> < 0.05). Treatment with CsA + UC-MSC upregulated superoxide dismutase activity compared with CsA + UCB-T<sub>reg</sub> treatment.</p><p><strong>Conclusions: </strong>Adding UC-MSC or UCB-T<sub>reg</sub> to CsA markedly enhanced the reconstruction of hematopoiesis in AA mice, with UC-MSC eliciting greater efficiency than UCB-T<sub>reg</sub>. Accordingly, the addition of these cells could further improve immune abnormalities.</p>","PeriodicalId":21962,"journal":{"name":"Stem Cells International","volume":"2024 ","pages":"4095268"},"PeriodicalIF":3.3000,"publicationDate":"2024-08-12","publicationTypes":"Journal Article","fieldsOfStudy":null,"isOpenAccess":false,"openAccessPdf":"https://www.ncbi.nlm.nih.gov/pmc/articles/PMC11333133/pdf/","citationCount":"0","resultStr":null,"platform":"Semanticscholar","paperid":null,"PeriodicalName":"Stem Cells International","FirstCategoryId":"3","ListUrlMain":"https://doi.org/10.1155/2024/4095268","RegionNum":3,"RegionCategory":"医学","ArticlePicture":[],"TitleCN":null,"AbstractTextCN":null,"PMCID":null,"EPubDate":"2024/1/1 0:00:00","PubModel":"eCollection","JCR":"Q2","JCRName":"CELL & TISSUE ENGINEERING","Score":null,"Total":0}
引用次数: 0

Abstract

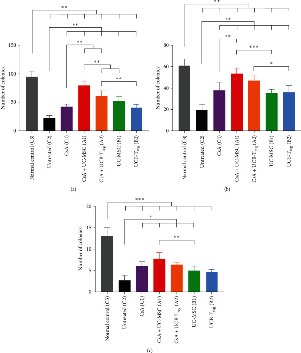
Objectives: To explore the efficacy and the mechanism of the umbilical cord-derived cells combined with cyclosporine A (CsA) in treating aplastic anemia (AA) in mice.

Methods: Immune-mediated AA model mice were treated with CsA + UC mesenchymal stem cells (UC-MSC), CsA + umbilical cord blood regulatory T cells (UCB-Treg), UC-MSC, UCB-Treg, CsA alone, or blank control, respectively (n = 9 mice/group). CsA and the cell infusion was administered on d0. Routine peripheral blood testing was performed once weekly; bone marrow colony culture, bone marrow cell flow cytometry, peripheral blood T cell subsets, and serum inflammatory cytokines tests were performed on d14. Transcriptome sequencing was performed for cells from CsA + UC-MSC, CsA + UCB-Treg, and CsA groups to detect the possible related genes. Gene function cluster and signal pathway enrichment analysis were also performed.

Results: Blank control mice died due to pancytopenia within 21 days, whereas mice in other groups survived for >28 days. On d14, the CsA + UC-MSC and CsA + UCB-Treg groups had higher white blood cell (WBC) counts than the other groups (p < 0.05), along with higher burst-forming unit (BFU) and colony-forming unit-granulocyte, macrophage (CFU-GM) counts (p < 0.01). The CsA + UC-MSC group had the highest BFU count (p < 0.01). The CsA + UC-MSC and CsA + UCB-Treg groups exhibited the highest bone marrow CD34+ cell proportion (9.68% ± 1.35% and 8.17% ± 0.53%, respectively; p < 0.01). Tumor necrosis factor (TNF)-α and interleukin (IL)-2 levels in the CsA + UC-MSC group (p < 0.05) and TNF-α, interleukin-2, and interferon (INF)-γ levels in the CsA + UC-Treg group (p < 0.01) were lower than those in the CsA group. Compared with CsA treatment, CsA + UC-MSC significantly downregulated the histone methylation pathway (p < 0.05), whereas CsA + UCB-Treg significantly upregulated energy metabolism processes (p < 0.05). Treatment with CsA + UC-MSC upregulated superoxide dismutase activity compared with CsA + UCB-Treg treatment.

Conclusions: Adding UC-MSC or UCB-Treg to CsA markedly enhanced the reconstruction of hematopoiesis in AA mice, with UC-MSC eliciting greater efficiency than UCB-Treg. Accordingly, the addition of these cells could further improve immune abnormalities.

Abstract Image

Abstract Image

Abstract Image

脐带血衍生细胞可重建再生障碍性贫血动物模型的造血功能
目的探讨脐带来源细胞与环孢素A(CsA)联合治疗小鼠再生障碍性贫血(AA)的疗效和机制:免疫介导的再生障碍性贫血模型小鼠分别接受CsA + UC间充质干细胞(UC-MSC)、CsA + 脐带血调节性T细胞(UCB-Treg)、UC-MSC、UCB-Treg、单用CsA或空白对照治疗(n = 9只/组)。CsA和细胞输注在第0天进行。每周进行一次常规外周血检测;第14天进行骨髓集落培养、骨髓细胞流式细胞术、外周血T细胞亚群和血清炎症细胞因子检测。对 CsA + UC-间充质干细胞组、CsA + UCB-Treg 组和 CsA 组的细胞进行转录组测序,以检测可能的相关基因。同时还进行了基因功能簇和信号通路富集分析:结果:空白对照组小鼠在 21 天内死于全血细胞减少症,而其他组小鼠存活超过 28 天。在第 14 天,CsA + UC-MSC 组和 CsA + UCB-Treg 组的白细胞(WBC)计数高于其他组(P < 0.05),爆发形成单位(BFU)和集落形成单位-粒细胞、巨噬细胞(CFU-GM)计数也高于其他组(P < 0.01)。CsA + UC-MSC 组的 BFU 计数最高(p < 0.01)。CsA + UC-MSC 组和 CsA + UCB-Treg 组的骨髓 CD34+ 细胞比例最高(分别为 9.68% ± 1.35% 和 8.17% ± 0.53%;p < 0.01)。CsA + UC-间充质干细胞组的肿瘤坏死因子(TNF)-α和白细胞介素(IL)-2水平(P < 0.05)和CsA + UC-Treg组的TNF-α、白细胞介素-2和干扰素(INF)-γ水平(P < 0.01)均低于CsA组。与 CsA 治疗相比,CsA + UC-MSC 显著下调组蛋白甲基化途径(p < 0.05),而 CsA + UCB-Treg 则显著上调能量代谢过程(p < 0.05)。与CsA + UC-MSC治疗相比,CsA + UCB-Treg治疗可上调超氧化物歧化酶活性:结论:在CsA中加入UC-间充质干细胞或UCB-Treg能显著增强AA小鼠的造血重建能力,其中UC-间充质干细胞比UCB-Treg更有效。因此,添加这些细胞可进一步改善免疫异常。
本文章由计算机程序翻译,如有差异,请以英文原文为准。
求助全文
约1分钟内获得全文 求助全文
来源期刊
Stem Cells International
Stem Cells International CELL & TISSUE ENGINEERING-
CiteScore
8.10
自引率
2.30%
发文量
188
审稿时长
18 weeks
期刊介绍: Stem Cells International is a peer-reviewed, Open Access journal that publishes original research articles, review articles, and clinical studies in all areas of stem cell biology and applications. The journal will consider basic, translational, and clinical research, including animal models and clinical trials. Topics covered include, but are not limited to: embryonic stem cells; induced pluripotent stem cells; tissue-specific stem cells; stem cell differentiation; genetics and epigenetics; cancer stem cells; stem cell technologies; ethical, legal, and social issues.
×
引用
GB/T 7714-2015
复制
MLA
复制
APA
复制
导出至
BibTeX EndNote RefMan NoteFirst NoteExpress
×
提示
您的信息不完整,为了账户安全,请先补充。
现在去补充
×
提示
您因"违规操作"
具体请查看互助需知
我知道了
×
提示
确定
请完成安全验证×
copy
已复制链接
快去分享给好友吧!
我知道了
右上角分享
点击右上角分享
0
联系我们:info@booksci.cn Book学术提供免费学术资源搜索服务,方便国内外学者检索中英文文献。致力于提供最便捷和优质的服务体验。 Copyright © 2023 布克学术 All rights reserved.
京ICP备2023020795号-1
ghs 京公网安备 11010802042870号
Book学术文献互助
Book学术文献互助群
群 号:604180095
Book学术官方微信