Effect of early administration of tetracosactide on mortality and host response in critically ill patients requiring rescue surgery: a sensitivity analysis of the STOPSHOCK phase 3 randomized controlled trial.

IF 22.9 2区 医学 Q1 MEDICINE, GENERAL & INTERNAL
Giorgio Noera, Alfio Bertolini, Laura Calzà, Mercedes Gori, Annalisa Pitino, Graziella D'Arrigo, Colin Gerard Egan, Giovanni Tripepi
{"title":"Effect of early administration of tetracosactide on mortality and host response in critically ill patients requiring rescue surgery: a sensitivity analysis of the STOPSHOCK phase 3 randomized controlled trial.","authors":"Giorgio Noera, Alfio Bertolini, Laura Calzà, Mercedes Gori, Annalisa Pitino, Graziella D'Arrigo, Colin Gerard Egan, Giovanni Tripepi","doi":"10.1186/s40779-024-00555-2","DOIUrl":null,"url":null,"abstract":"<p><strong>Background: </strong>Undifferentiated shock is recognized as a criticality state that is transitional in immune-mediated topology for casual risk of lethal microcirculatory dysfunction. This was a sensitivity analysis of a drug (tetracosactide; TCS10) targeting melanocortin receptors (MCRs) in a phase 3 randomized controlled trial to improve cardiovascular surgical rescue outcome by reversing mortality and hemostatic disorders.</p><p><strong>Methods: </strong>Sensitivity analysis was based on a randomized, two-arm, multicenter, double-blind, controlled trial. The Naïve Bayes classifier was performed by density-based sensitivity index for principal strata as proportional hazard model of 30-day surgical risk mortality according to European System for Cardiac Operative Risk Evaluation inputs-outputs in 100 consecutive cases (from August to September 2013 from Emilia Romagna region, Italy). Patients included an agent-based TCS10 group (10 mg, single intravenous bolus before surgery; n = 56) and control group (n = 44) and the association with cytokines, lactate, and bleeding-blood transfusion episodes with the prior-risk log-odds for mortality rate in time-to-event was analyzed.</p><p><strong>Results: </strong>Thirty-day mortality was significantly improved in the TCS10 group vs. control group (0 vs. 8 deaths, P < 0.0001). Baseline levels of interleukin (IL)-6, IL-10, and lactate were associated with bleeding episodes, independent of TCS10 treatment [odds ratio (OR) = 1.90, 95% confidence interval (CI) 1.39-2.79; OR = 1.53, 95%CI 1.17-2.12; and OR = 2.92, 95%CI 1.40-6.66, respectively], while baseline level of Fms-like tyrosine kinase 3 ligand (Flt3L) was associated with lower bleeding rates in TCS10-treated patients (OR = 0.31, 95%CI 0.11-0.90, P = 0.03). For every 8 TCS10-treated patients, 1 bleeding case was avoided. Blood transfusion episodes were significantly reduced in the TCS10 group compared to the control group (OR = 0.32, 95%CI 0.14-0.73, P = 0.01). For every 4 TCS10-treated patients, 1 transfusion case was avoided.</p><p><strong>Conclusions: </strong>Sensitivity index underlines the quality target product profile of TCS10 in the runway of emergency casualty care. To introduce the technology readiness level in real-life critically ill patients, further large-scale studies are required.</p><p><strong>Trial registration: </strong>European Union Drug Regulating Authorities Clinical Trials Database (EudraCT Number: 2007-006445-41 ).</p>","PeriodicalId":18581,"journal":{"name":"Military Medical Research","volume":"11 1","pages":"56"},"PeriodicalIF":22.9000,"publicationDate":"2024-08-19","publicationTypes":"Journal Article","fieldsOfStudy":null,"isOpenAccess":false,"openAccessPdf":"https://www.ncbi.nlm.nih.gov/pmc/articles/PMC11331742/pdf/","citationCount":"0","resultStr":null,"platform":"Semanticscholar","paperid":null,"PeriodicalName":"Military Medical Research","FirstCategoryId":"3","ListUrlMain":"https://doi.org/10.1186/s40779-024-00555-2","RegionNum":2,"RegionCategory":"医学","ArticlePicture":[],"TitleCN":null,"AbstractTextCN":null,"PMCID":null,"EPubDate":"","PubModel":"","JCR":"Q1","JCRName":"MEDICINE, GENERAL & INTERNAL","Score":null,"Total":0}
引用次数: 0

Abstract

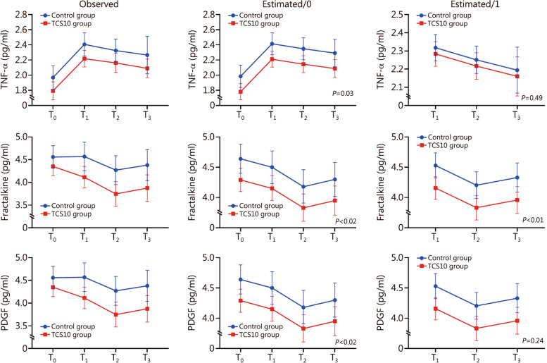
Background: Undifferentiated shock is recognized as a criticality state that is transitional in immune-mediated topology for casual risk of lethal microcirculatory dysfunction. This was a sensitivity analysis of a drug (tetracosactide; TCS10) targeting melanocortin receptors (MCRs) in a phase 3 randomized controlled trial to improve cardiovascular surgical rescue outcome by reversing mortality and hemostatic disorders.

Methods: Sensitivity analysis was based on a randomized, two-arm, multicenter, double-blind, controlled trial. The Naïve Bayes classifier was performed by density-based sensitivity index for principal strata as proportional hazard model of 30-day surgical risk mortality according to European System for Cardiac Operative Risk Evaluation inputs-outputs in 100 consecutive cases (from August to September 2013 from Emilia Romagna region, Italy). Patients included an agent-based TCS10 group (10 mg, single intravenous bolus before surgery; n = 56) and control group (n = 44) and the association with cytokines, lactate, and bleeding-blood transfusion episodes with the prior-risk log-odds for mortality rate in time-to-event was analyzed.

Results: Thirty-day mortality was significantly improved in the TCS10 group vs. control group (0 vs. 8 deaths, P < 0.0001). Baseline levels of interleukin (IL)-6, IL-10, and lactate were associated with bleeding episodes, independent of TCS10 treatment [odds ratio (OR) = 1.90, 95% confidence interval (CI) 1.39-2.79; OR = 1.53, 95%CI 1.17-2.12; and OR = 2.92, 95%CI 1.40-6.66, respectively], while baseline level of Fms-like tyrosine kinase 3 ligand (Flt3L) was associated with lower bleeding rates in TCS10-treated patients (OR = 0.31, 95%CI 0.11-0.90, P = 0.03). For every 8 TCS10-treated patients, 1 bleeding case was avoided. Blood transfusion episodes were significantly reduced in the TCS10 group compared to the control group (OR = 0.32, 95%CI 0.14-0.73, P = 0.01). For every 4 TCS10-treated patients, 1 transfusion case was avoided.

Conclusions: Sensitivity index underlines the quality target product profile of TCS10 in the runway of emergency casualty care. To introduce the technology readiness level in real-life critically ill patients, further large-scale studies are required.

Trial registration: European Union Drug Regulating Authorities Clinical Trials Database (EudraCT Number: 2007-006445-41 ).

Abstract Image

Abstract Image

早期服用四氯沙坦对需要进行抢救手术的重症患者死亡率和宿主反应的影响:STOPSHOCK 第 3 期随机对照试验的敏感性分析。
背景:未分化休克被认为是一种临界状态,在免疫介导的拓扑结构中,这种临界状态具有致命性微循环功能障碍的偶然风险。这是对三期随机对照试验中一种以黑皮素受体(MCRs)为靶点的药物(tetracosactide; TCS10)进行的敏感性分析,该药物可通过逆转死亡率和止血障碍来改善心血管手术抢救结果:敏感性分析基于一项随机、双臂、多中心、双盲对照试验。根据欧洲心脏手术风险评估系统(European System for Cardiac Operative Risk Evaluation inputs-outputs)对100例连续病例(2013年8月至9月,来自意大利艾米利亚-罗马涅大区)的30天手术风险死亡率比例危险模型,采用基于密度的主要分层敏感性指数对奈伊夫-贝叶斯分类器进行了分析。患者包括基于制剂的 TCS10 组(10 毫克,术前单次静脉注射;n = 56)和对照组(n = 44),分析了细胞因子、乳酸、出血-输血事件与事前风险对数对死亡率的关联:结果:与对照组相比,TCS10 组的 30 天死亡率明显降低(0 例死亡与 8 例死亡,P灵敏度指数凸显了 TCS10 在紧急伤员救护跑道上的优质目标产品特征。要在现实生活中的重症患者中引入技术准备水平,还需要进一步的大规模研究:欧盟药物管理局临床试验数据库(EudraCT 编号:2007-006445-41)。
本文章由计算机程序翻译,如有差异,请以英文原文为准。
求助全文
约1分钟内获得全文 求助全文
来源期刊
Military Medical Research
Military Medical Research Medicine-General Medicine
CiteScore
38.40
自引率
2.80%
发文量
485
审稿时长
8 weeks
期刊介绍: Military Medical Research is an open-access, peer-reviewed journal that aims to share the most up-to-date evidence and innovative discoveries in a wide range of fields, including basic and clinical sciences, translational research, precision medicine, emerging interdisciplinary subjects, and advanced technologies. Our primary focus is on modern military medicine; however, we also encourage submissions from other related areas. This includes, but is not limited to, basic medical research with the potential for translation into practice, as well as clinical research that could impact medical care both in times of warfare and during peacetime military operations.
×
引用
GB/T 7714-2015
复制
MLA
复制
APA
复制
导出至
BibTeX EndNote RefMan NoteFirst NoteExpress
×
提示
您的信息不完整,为了账户安全,请先补充。
现在去补充
×
提示
您因"违规操作"
具体请查看互助需知
我知道了
×
提示
确定
请完成安全验证×
copy
已复制链接
快去分享给好友吧!
我知道了
右上角分享
点击右上角分享
0
联系我们:info@booksci.cn Book学术提供免费学术资源搜索服务,方便国内外学者检索中英文文献。致力于提供最便捷和优质的服务体验。 Copyright © 2023 布克学术 All rights reserved.
京ICP备2023020795号-1
ghs 京公网安备 11010802042870号
Book学术文献互助
Book学术文献互助群
群 号:604180095
Book学术官方微信