Dysregulation of LncRNAs ANRIL, MALAT1, and LINC00305 in Coronary Slow Flow Patients: Implications for Inflammation and Endothelial Dysfunction.

IF 0.8 Q3 MEDICINE, RESEARCH & EXPERIMENTAL
Mohammad Esmail Gheidari, Asal Geramifard, Mahyar Rafiei
{"title":"Dysregulation of LncRNAs ANRIL, MALAT1, and LINC00305 in Coronary Slow Flow Patients: Implications for Inflammation and Endothelial Dysfunction.","authors":"Mohammad Esmail Gheidari, Asal Geramifard, Mahyar Rafiei","doi":"10.22088/IJMCM.BUMS.13.1.91","DOIUrl":null,"url":null,"abstract":"<p><p>Coronary Slow Flow (CSF) is observed in individuals who experience delayed blood supply in the coronary arteries. Inflammation and endothelial dysfunction may play a role in the etiology and development of CSF. The current investigation aimed to compare the expression of specific long noncoding RNAs (lncRNAs) associated with endothelial dysfunction and inflammation in CSF patients. This case‒control study enrolled 72 CSF patients and 71 healthy individuals. Blood samples were collected, and serum marker levels were measured. The expression levels of lncRNAs ANRIL, MALAT1, and LINC00305 in peripheral blood mononuclear cells (PBMCs) were assessed using real-time <i>Polymerase Chain Reaction</i> (PCR). All statistical analyses were performed using SPSS 22, with the significance level set at P < 0.05. The study revealed that the relative expression of MALAT1 and LINC00305 was significantly lower in the CSF group (p < 0.01), whereas ANRIL was expressed at higher levels (p < 0.0001). The areas under the ROC curves (AUCs) for MALAT1, LINC00305, and ANRIL were 0.64, 0.66, and 0.75, respectively. Notably, the expression level of LINC00305 exhibited an inverse correlation with CSF incidence (OR: 0.83, p: 0.008) in contrast to that of ANRIL (OR: 1.43, p < 0.0001). Additionally, compared to those in the control group, the average BMI, WBC, RBC, Hb, LDH, LDL, FBS, and percentage of neutrophils in the CSF group were significantly greater (p< 0.05). lncRNA ANRIL is upregulated in CSF patients, whereas MALAT1 and LINC00305 are downregulated. Dysregulation of ANRIL, MALAT1, and LINC00305 may serve as diagnostic and predictive factors for CSF leakage.</p>","PeriodicalId":14152,"journal":{"name":"International Journal of Molecular and Cellular Medicine","volume":"13 1","pages":"91-104"},"PeriodicalIF":0.8000,"publicationDate":"2024-01-01","publicationTypes":"Journal Article","fieldsOfStudy":null,"isOpenAccess":false,"openAccessPdf":"https://www.ncbi.nlm.nih.gov/pmc/articles/PMC11329937/pdf/","citationCount":"0","resultStr":null,"platform":"Semanticscholar","paperid":null,"PeriodicalName":"International Journal of Molecular and Cellular Medicine","FirstCategoryId":"1085","ListUrlMain":"https://doi.org/10.22088/IJMCM.BUMS.13.1.91","RegionNum":0,"RegionCategory":null,"ArticlePicture":[],"TitleCN":null,"AbstractTextCN":null,"PMCID":null,"EPubDate":"","PubModel":"","JCR":"Q3","JCRName":"MEDICINE, RESEARCH & EXPERIMENTAL","Score":null,"Total":0}
引用次数: 0

Abstract

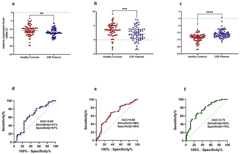
Coronary Slow Flow (CSF) is observed in individuals who experience delayed blood supply in the coronary arteries. Inflammation and endothelial dysfunction may play a role in the etiology and development of CSF. The current investigation aimed to compare the expression of specific long noncoding RNAs (lncRNAs) associated with endothelial dysfunction and inflammation in CSF patients. This case‒control study enrolled 72 CSF patients and 71 healthy individuals. Blood samples were collected, and serum marker levels were measured. The expression levels of lncRNAs ANRIL, MALAT1, and LINC00305 in peripheral blood mononuclear cells (PBMCs) were assessed using real-time Polymerase Chain Reaction (PCR). All statistical analyses were performed using SPSS 22, with the significance level set at P < 0.05. The study revealed that the relative expression of MALAT1 and LINC00305 was significantly lower in the CSF group (p < 0.01), whereas ANRIL was expressed at higher levels (p < 0.0001). The areas under the ROC curves (AUCs) for MALAT1, LINC00305, and ANRIL were 0.64, 0.66, and 0.75, respectively. Notably, the expression level of LINC00305 exhibited an inverse correlation with CSF incidence (OR: 0.83, p: 0.008) in contrast to that of ANRIL (OR: 1.43, p < 0.0001). Additionally, compared to those in the control group, the average BMI, WBC, RBC, Hb, LDH, LDL, FBS, and percentage of neutrophils in the CSF group were significantly greater (p< 0.05). lncRNA ANRIL is upregulated in CSF patients, whereas MALAT1 and LINC00305 are downregulated. Dysregulation of ANRIL, MALAT1, and LINC00305 may serve as diagnostic and predictive factors for CSF leakage.

Abstract Image

Abstract Image

Abstract Image

冠状动脉血流缓慢患者体内 LncRNAs ANRIL、MALAT1 和 LINC00305 的失调:炎症和内皮功能障碍的影响
冠状动脉血流缓慢(CSF)见于冠状动脉供血延迟的人。炎症和内皮功能障碍可能是 CSF 的病因和发展过程中的一个因素。目前的研究旨在比较 CSF 患者中与内皮功能障碍和炎症相关的特定长非编码 RNA(lncRNA)的表达。这项病例对照研究招募了 72 名 CSF 患者和 71 名健康人。研究人员采集了血样,并测量了血清标志物水平。使用实时聚合酶链反应(PCR)评估了外周血单核细胞(PBMCs)中 lncRNAs ANRIL、MALAT1 和 LINC00305 的表达水平。所有统计分析均使用 SPSS 22 进行,显著性水平设定为 P <0.05。研究显示,CSF 组中 MALAT1 和 LINC00305 的相对表达量明显较低(P < 0.01),而 ANRIL 的表达量较高(P < 0.0001)。MALAT1、LINC00305和ANRIL的ROC曲线下面积(AUC)分别为0.64、0.66和0.75。值得注意的是,LINC00305 的表达水平与 CSF 发病率呈反相关关系(OR:0.83,P:0.008),而 ANRIL 的表达水平与 CSF 发病率呈反相关关系(OR:1.43,P < 0.0001)。此外,与对照组相比,CSF 组患者的平均体重指数(BMI)、白细胞(WBC)、红细胞(RBC)、血红蛋白(Hb)、低密度脂蛋白胆固醇(LDH)、低密度脂蛋白胆固醇(LDL)、中性粒细胞(FBS)和中性粒细胞百分比均显著增高(p< 0.05)。ANRIL、MALAT1和LINC00305的失调可作为CSF渗漏的诊断和预测因素。
本文章由计算机程序翻译,如有差异,请以英文原文为准。
求助全文
约1分钟内获得全文 求助全文
来源期刊
CiteScore
3.60
自引率
0.00%
发文量
0
期刊介绍: The International Journal of Molecular and Cellular Medicine (IJMCM) is a peer-reviewed, quarterly publication of Cellular and Molecular Biology Research Center (CMBRC), Babol University of Medical Sciences, Babol, Iran. The journal covers all cellular & molecular biology and medicine disciplines such as the genetic basis of disease, biomarker discovery in diagnosis and treatment, genomics and proteomics, bioinformatics, computer applications in human biology, stem cells and tissue engineering, medical biotechnology, nanomedicine, cellular processes related to growth, death and survival, clinical biochemistry, molecular & cellular immunology, molecular and cellular aspects of infectious disease and cancer research. IJMCM is a free access journal. All open access articles published in IJMCM are distributed under the terms of the Creative Commons Attribution CC BY. The journal doesn''t have any submission and article processing charges (APCs).
×
引用
GB/T 7714-2015
复制
MLA
复制
APA
复制
导出至
BibTeX EndNote RefMan NoteFirst NoteExpress
×
提示
您的信息不完整,为了账户安全,请先补充。
现在去补充
×
提示
您因"违规操作"
具体请查看互助需知
我知道了
×
提示
确定
请完成安全验证×
copy
已复制链接
快去分享给好友吧!
我知道了
右上角分享
点击右上角分享
0
联系我们:info@booksci.cn Book学术提供免费学术资源搜索服务,方便国内外学者检索中英文文献。致力于提供最便捷和优质的服务体验。 Copyright © 2023 布克学术 All rights reserved.
京ICP备2023020795号-1
ghs 京公网安备 11010802042870号
Book学术文献互助
Book学术文献互助群
群 号:604180095
Book学术官方微信