Characteristics of Peripheral Retinal Refraction and Its Role in Children with Different Refractive States.

IF 1.9 4区 医学 Q3 OPHTHALMOLOGY
Journal of Ophthalmology Pub Date : 2024-08-08 eCollection Date: 2024-01-01 DOI:10.1155/2024/7712516
Qi Zhao, Yanhua Wang, Tiangang Liang, Weixiang Nie, Pei Xue, Jie Cheng
{"title":"Characteristics of Peripheral Retinal Refraction and Its Role in Children with Different Refractive States.","authors":"Qi Zhao, Yanhua Wang, Tiangang Liang, Weixiang Nie, Pei Xue, Jie Cheng","doi":"10.1155/2024/7712516","DOIUrl":null,"url":null,"abstract":"<p><strong>Introduction: </strong>Peripheral retinal refraction plays a crucial role in myopia, but the specific mechanism is not clear. We refined the retinal partitions to explore the characteristics of peripheral retinal refraction and its role in emmetropic, low, and moderate myopic children aged 6 to 12 years.</p><p><strong>Methods: </strong>A total of 814 subjects (814 eyes) were enrolled in the study. The participants were divided into three groups according to the central spherical equivalent refraction (SER), which were emmetropia group (E), low myopia group (LM) and moderate myopia group (MM). Multispectral refractive topography (MRT) was used to measure the retinal absolute and relative refractive difference value (RDV) in different regions. The range was divided into superior, inferior, temporal, and nasal RDV (SRDV, IRDV, TRDV, and NRDV) on the basis of several concentric circles extending outward from the macular fovea (RDV15, RDV30, RDV45, RDV30-15, RDV45-30, and RDV-45). Kruskal-Wallis test was used to analyze the differences of peripheral refraction for all the regions among the three groups. Spearman rank correlation was performed to explore correlations between SER and RDV, axial length (AL) and RDV.</p><p><strong>Results: </strong>The absolute value of RDV decreased with increasing degree of myopia in all regions (<i>P</i> < 0.01). Subjects with different refractive degrees had different relative value of RDV. In nasal position within 45° and temporal position within 30°, the peripheral retina exhibited significantly different relative hyperopic refractive status among Group <i>E</i>, Group LM, and Group MM (<i>P</i> < 0.05). SER was negatively correlated with NRDV within 30° (especially in the range of NRDV30-15) (<i>r</i> = -0.141, <i>P</i> < 0.01), positively correlated with TRDV within 15° (<i>r</i> = 0.080, <i>P</i> = 0.023), and not significantly correlated with SRDV and IRDV when the retina was divided into four parts. AL was positively correlated with NRDV within 30° (especially in the range of NRDV30-15) (<i>r</i> = 0.109, <i>P</i> = 0.002), negatively correlated with TRDV within 15° (<i>r</i> = -0.095, <i>P</i> = 0.007).</p><p><strong>Conclusions: </strong>The peripheral defocus has significant implications for the genesis of myopia. The peripheral defocus of the horizontal direction, especially within the range of NRDV30, has greater effect on the development of myopia in children. Higher NRDV30 is associated with lower SER and longer AL.</p>","PeriodicalId":16674,"journal":{"name":"Journal of Ophthalmology","volume":"2024 ","pages":"7712516"},"PeriodicalIF":1.9000,"publicationDate":"2024-08-08","publicationTypes":"Journal Article","fieldsOfStudy":null,"isOpenAccess":false,"openAccessPdf":"https://www.ncbi.nlm.nih.gov/pmc/articles/PMC11326877/pdf/","citationCount":"0","resultStr":null,"platform":"Semanticscholar","paperid":null,"PeriodicalName":"Journal of Ophthalmology","FirstCategoryId":"3","ListUrlMain":"https://doi.org/10.1155/2024/7712516","RegionNum":4,"RegionCategory":"医学","ArticlePicture":[],"TitleCN":null,"AbstractTextCN":null,"PMCID":null,"EPubDate":"2024/1/1 0:00:00","PubModel":"eCollection","JCR":"Q3","JCRName":"OPHTHALMOLOGY","Score":null,"Total":0}
引用次数: 0

Abstract

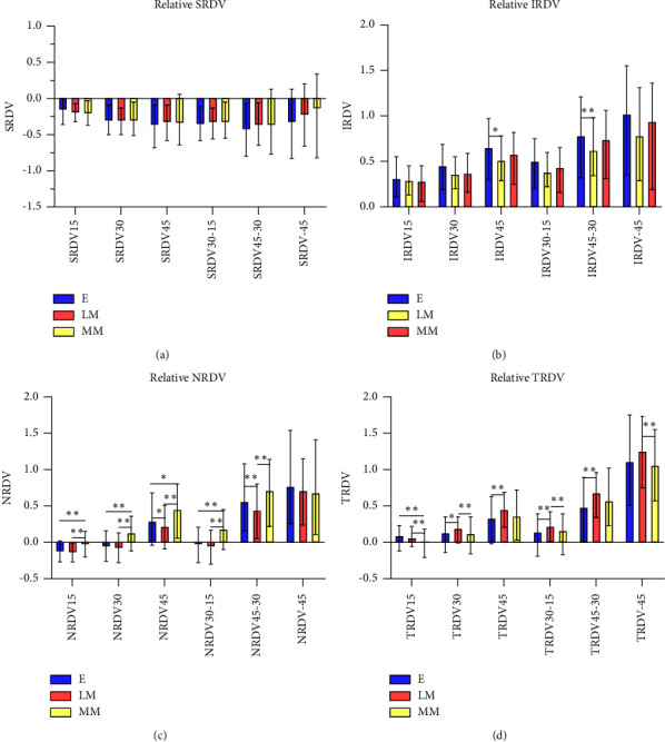
Introduction: Peripheral retinal refraction plays a crucial role in myopia, but the specific mechanism is not clear. We refined the retinal partitions to explore the characteristics of peripheral retinal refraction and its role in emmetropic, low, and moderate myopic children aged 6 to 12 years.

Methods: A total of 814 subjects (814 eyes) were enrolled in the study. The participants were divided into three groups according to the central spherical equivalent refraction (SER), which were emmetropia group (E), low myopia group (LM) and moderate myopia group (MM). Multispectral refractive topography (MRT) was used to measure the retinal absolute and relative refractive difference value (RDV) in different regions. The range was divided into superior, inferior, temporal, and nasal RDV (SRDV, IRDV, TRDV, and NRDV) on the basis of several concentric circles extending outward from the macular fovea (RDV15, RDV30, RDV45, RDV30-15, RDV45-30, and RDV-45). Kruskal-Wallis test was used to analyze the differences of peripheral refraction for all the regions among the three groups. Spearman rank correlation was performed to explore correlations between SER and RDV, axial length (AL) and RDV.

Results: The absolute value of RDV decreased with increasing degree of myopia in all regions (P < 0.01). Subjects with different refractive degrees had different relative value of RDV. In nasal position within 45° and temporal position within 30°, the peripheral retina exhibited significantly different relative hyperopic refractive status among Group E, Group LM, and Group MM (P < 0.05). SER was negatively correlated with NRDV within 30° (especially in the range of NRDV30-15) (r = -0.141, P < 0.01), positively correlated with TRDV within 15° (r = 0.080, P = 0.023), and not significantly correlated with SRDV and IRDV when the retina was divided into four parts. AL was positively correlated with NRDV within 30° (especially in the range of NRDV30-15) (r = 0.109, P = 0.002), negatively correlated with TRDV within 15° (r = -0.095, P = 0.007).

Conclusions: The peripheral defocus has significant implications for the genesis of myopia. The peripheral defocus of the horizontal direction, especially within the range of NRDV30, has greater effect on the development of myopia in children. Higher NRDV30 is associated with lower SER and longer AL.

Abstract Image

Abstract Image

Abstract Image

周边视网膜屈光的特征及其在不同屈光状态儿童中的作用。
导言:周边视网膜屈光在近视中起着至关重要的作用,但具体机制尚不清楚。我们对视网膜分区进行了改进,以探究6至12岁散光、低度和中度近视儿童视网膜周边屈光的特征及其作用:研究共招募了 814 名受试者(814 只眼睛)。根据中心球面等效屈光度(SER)将受试者分为三组,即屈光不正组(E)、低度近视组(LM)和中度近视组(MM)。多光谱屈光地形图(MRT)用于测量不同区域的视网膜绝对和相对屈光差值(RDV)。根据从黄斑窝向外延伸的几个同心圆(RDV15、RDV30、RDV45、RDV30-15、RDV45-30 和 RDV-45),将范围分为上、下、颞和鼻 RDV(SRDV、IRDV、TRDV 和 NRDV)。Kruskal-Wallis 检验用于分析三组之间所有区域周边屈光度的差异。斯皮尔曼秩相关检验探讨了 SER 与 RDV、轴向长度(AL)与 RDV 之间的相关性:所有区域的 RDV 绝对值都随着近视度数的增加而降低(P < 0.01)。不同屈光度的受试者有不同的 RDV 相对值。在45°以内的鼻侧位置和30°以内的颞侧位置,E组、LM组和MM组的周边视网膜表现出显著不同的相对远视屈光状态(P < 0.05)。SER 与 30°以内的 NRDV 呈负相关(尤其是在 NRDV30-15 范围内)(r = -0.141,P < 0.01),与 15°以内的 TRDV 呈正相关(r = 0.080,P = 0.023),而将视网膜分为四部分时,SER 与 SRDV 和 IRDV 的相关性不明显。AL 与 30° 内的 NRDV 呈正相关(尤其是在 NRDV30-15 范围内)(r = 0.109,P = 0.002),与 15° 内的 TRDV 呈负相关(r = -0.095,P = 0.007):结论:周边离焦对近视的形成有重要影响。水平方向的周边离焦,尤其是在 NRDV30 范围内,对儿童近视的发展影响更大。NRDV30 越高,SER 越低,AL 越长。
本文章由计算机程序翻译,如有差异,请以英文原文为准。
求助全文
约1分钟内获得全文 求助全文
来源期刊
Journal of Ophthalmology
Journal of Ophthalmology MEDICINE, RESEARCH & EXPERIMENTAL-OPHTHALMOLOGY
CiteScore
4.30
自引率
5.30%
发文量
194
审稿时长
6-12 weeks
期刊介绍: Journal of Ophthalmology is a peer-reviewed, Open Access journal that publishes original research articles, review articles, and clinical studies related to the anatomy, physiology and diseases of the eye. Submissions should focus on new diagnostic and surgical techniques, instrument and therapy updates, as well as clinical trials and research findings.
×
引用
GB/T 7714-2015
复制
MLA
复制
APA
复制
导出至
BibTeX EndNote RefMan NoteFirst NoteExpress
×
提示
您的信息不完整,为了账户安全,请先补充。
现在去补充
×
提示
您因"违规操作"
具体请查看互助需知
我知道了
×
提示
确定
请完成安全验证×
copy
已复制链接
快去分享给好友吧!
我知道了
右上角分享
点击右上角分享
0
联系我们:info@booksci.cn Book学术提供免费学术资源搜索服务,方便国内外学者检索中英文文献。致力于提供最便捷和优质的服务体验。 Copyright © 2023 布克学术 All rights reserved.
京ICP备2023020795号-1
ghs 京公网安备 11010802042870号
Book学术文献互助
Book学术文献互助群
群 号:604180095
Book学术官方微信