Vitamin B6 inhibits activity of Helicobacter pylori adenylosuccinate synthetase and growth of reference and clinical, antibiotic-resistant H. pylori strains.

IF 5.4 2区 医学 Q1 BIOCHEMISTRY & MOLECULAR BIOLOGY
Marta Ilona Wojtyś, Weronika Maksymiuk, Marta Narczyk, Ante Bubić, Ivana Leščić Ašler, Paweł Krzyżek, Grażyna Gościniak, Elżbieta Katarzyna Jagusztyn-Krynicka, Agnieszka Bzowska
{"title":"Vitamin B6 inhibits activity of <i>Helicobacter pylori</i> adenylosuccinate synthetase and growth of reference and clinical, antibiotic-resistant <i>H. pylori</i> strains.","authors":"Marta Ilona Wojtyś, Weronika Maksymiuk, Marta Narczyk, Ante Bubić, Ivana Leščić Ašler, Paweł Krzyżek, Grażyna Gościniak, Elżbieta Katarzyna Jagusztyn-Krynicka, Agnieszka Bzowska","doi":"10.1080/14756366.2024.2372734","DOIUrl":null,"url":null,"abstract":"<p><p>The current therapies against gastric pathogen <i>Helicobacter pylori</i> are ineffective in over 20% of patients. Enzymes belonging to the purine salvage pathway are considered as novel drug targets in this pathogen. Therefore, the main aim of the current study was to determine the antibacterial activity of pyridoxal 5'-phosphate (PLP), an active form of vitamin B6, against reference and clinical strains of <i>H. pylori</i>. Using a broad set of microbiological, physicochemical (UV absorption, LC-MS, X-ray analysis) and <i>in silico</i> experiments, we were able to prove that PLP inhibits adenylosuccinate synthetase (AdSS) from <i>H. pylori</i> by the competition with GTP (IC<sub>50</sub><sup>eq</sup> ∼30 nM). This behaviour was attributed to formation of a Schiff base with a lysine residue (a covalent bond with Lys322 in the GTP binding site of AdSS) and was potentiated by the presence of vitamin C. This antibacterial activity of PLP gives hope for its future use against <i>H. pylori</i>.</p>","PeriodicalId":15769,"journal":{"name":"Journal of Enzyme Inhibition and Medicinal Chemistry","volume":"39 1","pages":"2372734"},"PeriodicalIF":5.4000,"publicationDate":"2024-12-01","publicationTypes":"Journal Article","fieldsOfStudy":null,"isOpenAccess":false,"openAccessPdf":"https://www.ncbi.nlm.nih.gov/pmc/articles/PMC11571797/pdf/","citationCount":"0","resultStr":null,"platform":"Semanticscholar","paperid":null,"PeriodicalName":"Journal of Enzyme Inhibition and Medicinal Chemistry","FirstCategoryId":"3","ListUrlMain":"https://doi.org/10.1080/14756366.2024.2372734","RegionNum":2,"RegionCategory":"医学","ArticlePicture":[],"TitleCN":null,"AbstractTextCN":null,"PMCID":null,"EPubDate":"2024/8/16 0:00:00","PubModel":"Epub","JCR":"Q1","JCRName":"BIOCHEMISTRY & MOLECULAR BIOLOGY","Score":null,"Total":0}
引用次数: 0

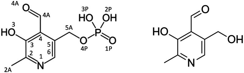
Abstract

The current therapies against gastric pathogen Helicobacter pylori are ineffective in over 20% of patients. Enzymes belonging to the purine salvage pathway are considered as novel drug targets in this pathogen. Therefore, the main aim of the current study was to determine the antibacterial activity of pyridoxal 5'-phosphate (PLP), an active form of vitamin B6, against reference and clinical strains of H. pylori. Using a broad set of microbiological, physicochemical (UV absorption, LC-MS, X-ray analysis) and in silico experiments, we were able to prove that PLP inhibits adenylosuccinate synthetase (AdSS) from H. pylori by the competition with GTP (IC50eq ∼30 nM). This behaviour was attributed to formation of a Schiff base with a lysine residue (a covalent bond with Lys322 in the GTP binding site of AdSS) and was potentiated by the presence of vitamin C. This antibacterial activity of PLP gives hope for its future use against H. pylori.

Abstract Image

Abstract Image

Abstract Image

维生素 B6 可抑制幽门螺旋杆菌腺苷琥珀酸合成酶的活性以及参考菌株和临床抗生素耐药幽门螺旋杆菌菌株的生长。
目前针对胃病原体幽门螺旋杆菌的疗法对 20% 以上的患者无效。属于嘌呤挽救途径的酶被认为是这种病原体的新型药物靶点。因此,本研究的主要目的是确定维生素 B6 的一种活性形式--5'-磷酸吡哆醛(PLP)对幽门螺杆菌参考菌株和临床菌株的抗菌活性。通过广泛的微生物学、物理化学(紫外线吸收、液相色谱-质谱联用仪、X 射线分析)和硅学实验,我们证明了 PLP 通过与 GTP 竞争(IC50eq ∼ 30 nM)来抑制幽门螺杆菌的腺苷琥珀酸合成酶(AdSS)。这种行为归因于与一个赖氨酸残基(与 AdSS 的 GTP 结合位点中的 Lys322 形成共价键)形成了希夫碱,并在维生素 C 的存在下得到增强。
本文章由计算机程序翻译,如有差异,请以英文原文为准。
求助全文
约1分钟内获得全文 求助全文
来源期刊
CiteScore
10.30
自引率
10.70%
发文量
195
审稿时长
4-8 weeks
期刊介绍: Journal of Enzyme Inhibition and Medicinal Chemistry publishes open access research on enzyme inhibitors, inhibitory processes, and agonist/antagonist receptor interactions in the development of medicinal and anti-cancer agents. Journal of Enzyme Inhibition and Medicinal Chemistry aims to provide an international and interdisciplinary platform for the latest findings in enzyme inhibition research. The journal’s focus includes current developments in: Enzymology; Cell biology; Chemical biology; Microbiology; Physiology; Pharmacology leading to drug design; Molecular recognition processes; Distribution and metabolism of biologically active compounds.
×
引用
GB/T 7714-2015
复制
MLA
复制
APA
复制
导出至
BibTeX EndNote RefMan NoteFirst NoteExpress
×
提示
您的信息不完整,为了账户安全,请先补充。
现在去补充
×
提示
您因"违规操作"
具体请查看互助需知
我知道了
×
提示
确定
请完成安全验证×
copy
已复制链接
快去分享给好友吧!
我知道了
右上角分享
点击右上角分享
0
联系我们:info@booksci.cn Book学术提供免费学术资源搜索服务,方便国内外学者检索中英文文献。致力于提供最便捷和优质的服务体验。 Copyright © 2023 布克学术 All rights reserved.
京ICP备2023020795号-1
ghs 京公网安备 11010802042870号
Book学术文献互助
Book学术文献互助群
群 号:604180095
Book学术官方微信