Outcome Prediction Model for Radiofrequency Uvulopalatopharyngoplasty with Tonsillectomy in Adult Obstructive Sleep Apnea: Retrospective Cohort Study.

Biomedicine hub Pub Date : 2024-07-30 eCollection Date: 2024-01-01 DOI:10.1159/000540222
Samuel Tschopp, Khalid Azalmad, Marco Caversaccio, Urs Borner, Kurt Peter Tschopp
{"title":"Outcome Prediction Model for Radiofrequency Uvulopalatopharyngoplasty with Tonsillectomy in Adult Obstructive Sleep Apnea: Retrospective Cohort Study.","authors":"Samuel Tschopp, Khalid Azalmad, Marco Caversaccio, Urs Borner, Kurt Peter Tschopp","doi":"10.1159/000540222","DOIUrl":null,"url":null,"abstract":"<p><strong>Introduction: </strong>Knowing an individualized outcome prediction is essential when counseling patients before surgery. We aim to identify predictors and build a model for the outcome of radiofrequency uvulopalatopharyngoplasty with tonsillectomy (rfUPPP + TE).</p><p><strong>Methods: </strong>All adult patients undergoing rfUPPP + TE for sleep-disordered breathing from 2015 to 2022 in our institution were included. Preoperative evaluations included detailed upper airway examinations and standardized questionnaires. Postoperative outcomes were measured through home sleep apnea testing and repeated questionnaires 3 months post-surgery. The primary endpoint was the postoperative apnea-hypopnea index (AHI) and the AHI responders using the Sher criteria.</p><p><strong>Results: </strong>We analyzed 247 patients with a mean age of 46 ± 11 years, predominantly male (88.7%), and a mean BMI of 29.0 kg/m<sup>2</sup>. The mean AHI was reduced from 26.4 ± 18.6/h preoperatively to 16.2 ± 14.6/h postoperatively. Daytime sleepiness improved from 8.9 ± 48 to 4.0 ± 3.1 and snoring from 7.9 ± 2.1 to 3.3 ± 2.2. Multivariate analysis indicated that higher tonsil grades, preoperative AHI, and snoring levels were associated with a greater reduction in AHI. Age and body weight were negative predictors for AHI reduction. For AHI responders, according to Sher, tonsil grade was the only predictor in a multivariate analysis. The ROC curve of this simple model, with a corrected AUC of 0.625, compared favorably against two established models.</p><p><strong>Conclusion: </strong>Our study highlights that tonsil grade, preoperative AHI, snoring, and, to a smaller extent, age and weight are key determinants of AHI reduction, emphasizing the importance of preoperative evaluation. Despite the multifactorial nature of obstructive sleep apnea, preoperative evaluation can predict the outcome of rfUPPP + TE and guide surgical planning.</p>","PeriodicalId":101351,"journal":{"name":"Biomedicine hub","volume":"9 1","pages":"118-127"},"PeriodicalIF":0.0000,"publicationDate":"2024-07-30","publicationTypes":"Journal Article","fieldsOfStudy":null,"isOpenAccess":false,"openAccessPdf":"https://www.ncbi.nlm.nih.gov/pmc/articles/PMC11324267/pdf/","citationCount":"0","resultStr":null,"platform":"Semanticscholar","paperid":null,"PeriodicalName":"Biomedicine hub","FirstCategoryId":"1085","ListUrlMain":"https://doi.org/10.1159/000540222","RegionNum":0,"RegionCategory":null,"ArticlePicture":[],"TitleCN":null,"AbstractTextCN":null,"PMCID":null,"EPubDate":"2024/1/1 0:00:00","PubModel":"eCollection","JCR":"","JCRName":"","Score":null,"Total":0}
引用次数: 0

Abstract

Introduction: Knowing an individualized outcome prediction is essential when counseling patients before surgery. We aim to identify predictors and build a model for the outcome of radiofrequency uvulopalatopharyngoplasty with tonsillectomy (rfUPPP + TE).

Methods: All adult patients undergoing rfUPPP + TE for sleep-disordered breathing from 2015 to 2022 in our institution were included. Preoperative evaluations included detailed upper airway examinations and standardized questionnaires. Postoperative outcomes were measured through home sleep apnea testing and repeated questionnaires 3 months post-surgery. The primary endpoint was the postoperative apnea-hypopnea index (AHI) and the AHI responders using the Sher criteria.

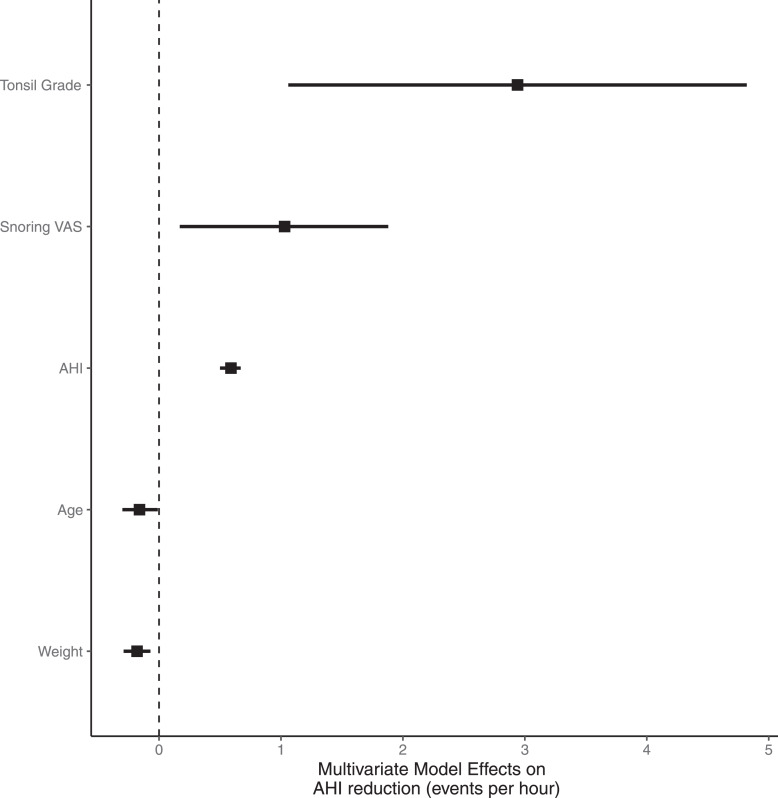
Results: We analyzed 247 patients with a mean age of 46 ± 11 years, predominantly male (88.7%), and a mean BMI of 29.0 kg/m2. The mean AHI was reduced from 26.4 ± 18.6/h preoperatively to 16.2 ± 14.6/h postoperatively. Daytime sleepiness improved from 8.9 ± 48 to 4.0 ± 3.1 and snoring from 7.9 ± 2.1 to 3.3 ± 2.2. Multivariate analysis indicated that higher tonsil grades, preoperative AHI, and snoring levels were associated with a greater reduction in AHI. Age and body weight were negative predictors for AHI reduction. For AHI responders, according to Sher, tonsil grade was the only predictor in a multivariate analysis. The ROC curve of this simple model, with a corrected AUC of 0.625, compared favorably against two established models.

Conclusion: Our study highlights that tonsil grade, preoperative AHI, snoring, and, to a smaller extent, age and weight are key determinants of AHI reduction, emphasizing the importance of preoperative evaluation. Despite the multifactorial nature of obstructive sleep apnea, preoperative evaluation can predict the outcome of rfUPPP + TE and guide surgical planning.

Abstract Image

Abstract Image

成人阻塞性睡眠呼吸暂停射频上腭咽成形术联合扁桃体切除术的结果预测模型:回顾性队列研究
介绍:在手术前为患者提供咨询时,了解个性化的结果预测至关重要。我们旨在确定射频悬雍垂腭咽成形术联合扁桃体切除术(rfUPPP + TE)的预后因素并建立相关模型:方法:纳入2015年至2022年在我院接受rfUPPP + TE治疗睡眠呼吸障碍的所有成年患者。术前评估包括详细的上气道检查和标准化问卷调查。术后结果通过家庭睡眠呼吸暂停测试和术后 3 个月的重复问卷进行测量。主要终点是术后呼吸暂停-低通气指数(AHI),以及采用 Sher 标准的 AHI 反应者:我们对 247 名患者进行了分析,他们的平均年龄为 46 ± 11 岁,主要为男性(88.7%),平均体重指数为 29.0 kg/m2。平均 AHI 从术前的 26.4 ± 18.6/h 降至术后的 16.2 ± 14.6/h。白天嗜睡从 8.9 ± 48 改善到 4.0 ± 3.1,打鼾从 7.9 ± 2.1 改善到 3.3 ± 2.2。多变量分析表明,扁桃体等级、术前 AHI 和打鼾程度越高,AHI 的降低幅度越大。年龄和体重是 AHI 降低的负预测因素。对于 AHI 反应者,根据 Sher 的说法,扁桃体等级是多变量分析中唯一的预测因素。这一简单模型的 ROC 曲线校正后的 AUC 为 0.625,与两个已建立的模型相比效果更佳:我们的研究强调了扁桃体等级、术前 AHI、打鼾以及(在较小程度上)年龄和体重是降低 AHI 的关键决定因素,从而强调了术前评估的重要性。尽管阻塞性睡眠呼吸暂停具有多因素性质,但术前评估可以预测 rfUPPP + TE 的结果,并指导手术规划。
本文章由计算机程序翻译,如有差异,请以英文原文为准。
求助全文
约1分钟内获得全文 求助全文
来源期刊
自引率
0.00%
发文量
0
×
引用
GB/T 7714-2015
复制
MLA
复制
APA
复制
导出至
BibTeX EndNote RefMan NoteFirst NoteExpress
×
提示
您的信息不完整,为了账户安全,请先补充。
现在去补充
×
提示
您因"违规操作"
具体请查看互助需知
我知道了
×
提示
确定
请完成安全验证×
copy
已复制链接
快去分享给好友吧!
我知道了
右上角分享
点击右上角分享
0
联系我们:info@booksci.cn Book学术提供免费学术资源搜索服务,方便国内外学者检索中英文文献。致力于提供最便捷和优质的服务体验。 Copyright © 2023 布克学术 All rights reserved.
京ICP备2023020795号-1
ghs 京公网安备 11010802042870号
Book学术文献互助
Book学术文献互助群
群 号:604180095
Book学术官方微信