Development and Ex-Vivo Skin Permeation of Sildenafil Citrate Microemulsion System for Transdermal Delivery.

IF 1.8 4区 医学 Q3 PHARMACOLOGY & PHARMACY
Iranian Journal of Pharmaceutical Research Pub Date : 2024-03-28 eCollection Date: 2024-01-01 DOI:10.5812/ijpr-139381
Nasibeh Jamali, Eskandar Moghimipour, Fatemeh Nikpour, Anayatollah Salimi
{"title":"Development and Ex-Vivo Skin Permeation of Sildenafil Citrate Microemulsion System for Transdermal Delivery.","authors":"Nasibeh Jamali, Eskandar Moghimipour, Fatemeh Nikpour, Anayatollah Salimi","doi":"10.5812/ijpr-139381","DOIUrl":null,"url":null,"abstract":"<p><strong>Background: </strong>This study aimed to develop a microemulsion (ME)-based skin delivery platform containing sildenafil citrate (SC)-ME and evaluate its in vitro skin permeability.</p><p><strong>Methods: </strong>Accurate MEs were prepared using pseudo-ternary phase diagrams and a full factorial design with three variables at two levels. After the design phase, suitable ratios of oil, water, and a mixture of surfactant (S) and cosurfactant (CS) were selected to prepare various SC-ME formulations. These SC-MEs were analyzed for stability, droplet size, in vitro SC release, skin permeability, and viscosity properties.</p><p><strong>Results: </strong>The droplet size of the ME samples ranged from 6.24 to 32.65 nm, with viscosities between 114 to 239 cps. Release profiles indicated that 26 to 60% of SC was released from the different SC-MEs within 24 hours. All ME formulations significantly enhanced the permeability coefficient (P) through rat skin. Specifically, the flux (J<sub>ss</sub>) in SC-ME7 increased by approximately 117 times (J<sub>ss</sub> = 0.0235 mg/cm<sup>2</sup>.h) compared to the control sample (0.0002 mg/cm<sup>2</sup>.h).</p><p><strong>Conclusions: </strong>The study concluded that the proportions of the water or oil phase and the S/CS mixture in the MEs significantly influenced the physicochemical characteristics and permeation parameters. The selected MEs improved both the permeability coefficient and the rate of permeation through rat skin. The enhanced drug delivery through and into deep skin layers is a key attribute of an ideal dermal ME. These findings suggest that MEs could serve as effective transdermal delivery systems for SC and similar drugs. However, in vivo assays and clinical research are needed to confirm the therapeutic efficacy of MEs.</p>","PeriodicalId":14595,"journal":{"name":"Iranian Journal of Pharmaceutical Research","volume":"23 1","pages":"e139381"},"PeriodicalIF":1.8000,"publicationDate":"2024-03-28","publicationTypes":"Journal Article","fieldsOfStudy":null,"isOpenAccess":false,"openAccessPdf":"https://www.ncbi.nlm.nih.gov/pmc/articles/PMC11319783/pdf/","citationCount":"0","resultStr":null,"platform":"Semanticscholar","paperid":null,"PeriodicalName":"Iranian Journal of Pharmaceutical Research","FirstCategoryId":"3","ListUrlMain":"https://doi.org/10.5812/ijpr-139381","RegionNum":4,"RegionCategory":"医学","ArticlePicture":[],"TitleCN":null,"AbstractTextCN":null,"PMCID":null,"EPubDate":"2024/1/1 0:00:00","PubModel":"eCollection","JCR":"Q3","JCRName":"PHARMACOLOGY & PHARMACY","Score":null,"Total":0}
引用次数: 0

Abstract

Background: This study aimed to develop a microemulsion (ME)-based skin delivery platform containing sildenafil citrate (SC)-ME and evaluate its in vitro skin permeability.

Methods: Accurate MEs were prepared using pseudo-ternary phase diagrams and a full factorial design with three variables at two levels. After the design phase, suitable ratios of oil, water, and a mixture of surfactant (S) and cosurfactant (CS) were selected to prepare various SC-ME formulations. These SC-MEs were analyzed for stability, droplet size, in vitro SC release, skin permeability, and viscosity properties.

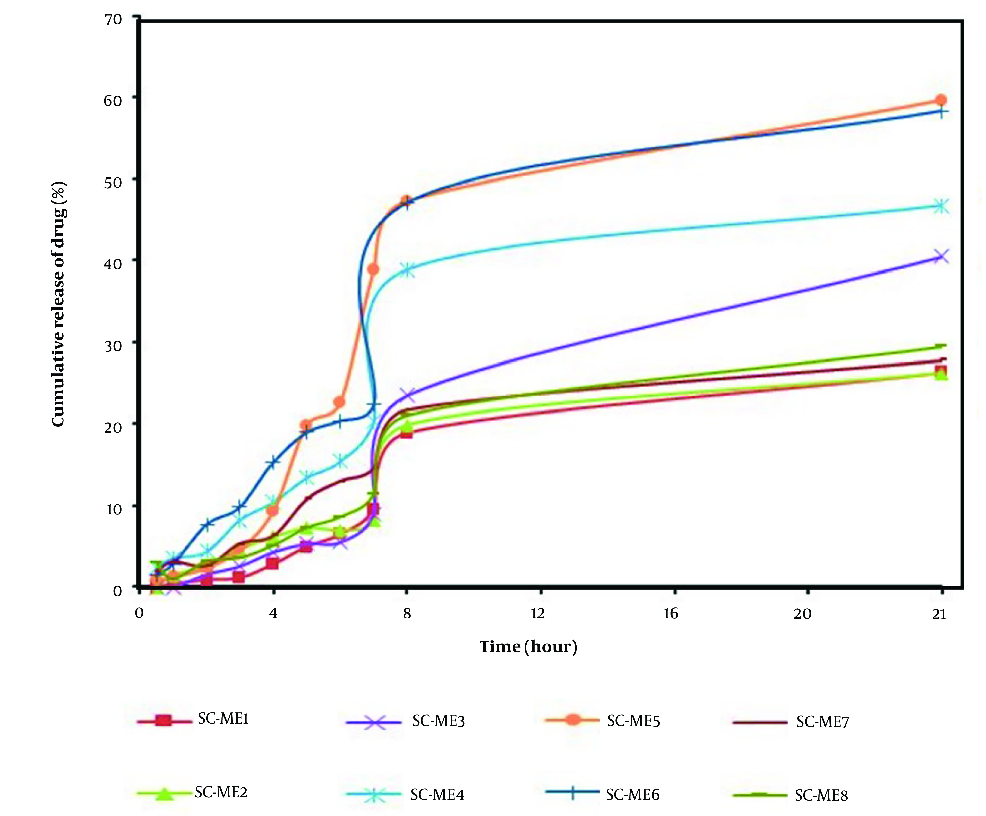
Results: The droplet size of the ME samples ranged from 6.24 to 32.65 nm, with viscosities between 114 to 239 cps. Release profiles indicated that 26 to 60% of SC was released from the different SC-MEs within 24 hours. All ME formulations significantly enhanced the permeability coefficient (P) through rat skin. Specifically, the flux (Jss) in SC-ME7 increased by approximately 117 times (Jss = 0.0235 mg/cm2.h) compared to the control sample (0.0002 mg/cm2.h).

Conclusions: The study concluded that the proportions of the water or oil phase and the S/CS mixture in the MEs significantly influenced the physicochemical characteristics and permeation parameters. The selected MEs improved both the permeability coefficient and the rate of permeation through rat skin. The enhanced drug delivery through and into deep skin layers is a key attribute of an ideal dermal ME. These findings suggest that MEs could serve as effective transdermal delivery systems for SC and similar drugs. However, in vivo assays and clinical research are needed to confirm the therapeutic efficacy of MEs.

Abstract Image

Abstract Image

Abstract Image

用于透皮给药的枸橼酸西地那非微乳液系统的开发和体内皮肤渗透。
背景:本研究旨在开发一种基于微乳液(ME)的皮肤给药平台,其中含有枸橼酸西地那非(SC)-ME:本研究旨在开发一种基于微乳液(ME)的皮肤给药平台,其中含有枸橼酸西地那非(SC)-ME,并评估其体外皮肤渗透性:方法:利用伪三元相图和两级三变量全因子设计制备了精确的微乳液。设计阶段结束后,选择合适比例的油、水以及表面活性剂(S)和共表面活性剂(CS)混合物,制备出各种 SC-ME 配方。对这些 SC-ME 的稳定性、液滴大小、体外 SC 释放、皮肤渗透性和粘度特性进行了分析:ME 样品的液滴大小在 6.24 到 32.65 nm 之间,粘度在 114 到 239 cps 之间。释放曲线显示,不同的 SC-ME 在 24 小时内释放了 26% 至 60% 的 SC。所有 ME 配方都大大提高了大鼠皮肤的渗透系数(P)。具体来说,与对照样本(0.0002 mg/cm2.h)相比,SC-ME7 的通量(Jss)增加了约 117 倍(Jss = 0.0235 mg/cm2.h):研究得出结论:水相、油相和 S/CS 混合物在 ME 中的比例对理化特性和渗透参数有显著影响。所选 ME 既提高了大鼠皮肤的渗透系数,也提高了渗透速度。增强通过皮肤深层的药物输送是理想的皮肤 ME 的关键属性。这些研究结果表明,ME 可作为 SC 和类似药物的有效透皮给药系统。不过,还需要进行体内试验和临床研究,以确认 ME 的疗效。
本文章由计算机程序翻译,如有差异,请以英文原文为准。
求助全文
约1分钟内获得全文 求助全文
来源期刊
CiteScore
3.40
自引率
6.20%
发文量
52
审稿时长
2 months
期刊介绍: The Iranian Journal of Pharmaceutical Research (IJPR) is a peer-reviewed multi-disciplinary pharmaceutical publication, scheduled to appear quarterly and serve as a means for scientific information exchange in the international pharmaceutical forum. Specific scientific topics of interest to the journal include, but are not limited to: pharmaceutics, industrial pharmacy, pharmacognosy, toxicology, medicinal chemistry, novel analytical methods for drug characterization, computational and modeling approaches to drug design, bio-medical experience, clinical investigation, rational drug prescribing, pharmacoeconomics, biotechnology, nanotechnology, biopharmaceutics and physical pharmacy.
×
引用
GB/T 7714-2015
复制
MLA
复制
APA
复制
导出至
BibTeX EndNote RefMan NoteFirst NoteExpress
×
提示
您的信息不完整,为了账户安全,请先补充。
现在去补充
×
提示
您因"违规操作"
具体请查看互助需知
我知道了
×
提示
确定
请完成安全验证×
copy
已复制链接
快去分享给好友吧!
我知道了
右上角分享
点击右上角分享
0
联系我们:info@booksci.cn Book学术提供免费学术资源搜索服务,方便国内外学者检索中英文文献。致力于提供最便捷和优质的服务体验。 Copyright © 2023 布克学术 All rights reserved.
京ICP备2023020795号-1
ghs 京公网安备 11010802042870号
Book学术文献互助
Book学术文献互助群
群 号:604180095
Book学术官方微信