Reduction of egg reappearance period of cyathostomins in naturally infected horses after increasing doses of ivermectin in Brazil: a grim picture for sustainable parasite control.

IF 1.2 4区 农林科学 Q2 Veterinary
Revista Brasileira De Parasitologia Veterinaria Pub Date : 2024-08-12 eCollection Date: 2024-01-01 DOI:10.1590/S1984-29612024043
Marcelo Beltrão Molento, Julia Dall'Anese, Desiree Vera Pontarolo, Yara de Oliveira Brandão, Ursula Yaeko Yoshitani
{"title":"Reduction of egg reappearance period of cyathostomins in naturally infected horses after increasing doses of ivermectin in Brazil: a grim picture for sustainable parasite control.","authors":"Marcelo Beltrão Molento, Julia Dall'Anese, Desiree Vera Pontarolo, Yara de Oliveira Brandão, Ursula Yaeko Yoshitani","doi":"10.1590/S1984-29612024043","DOIUrl":null,"url":null,"abstract":"<p><p>Cyathostomins are the largest group of parasites in horses that can be controlled by ivermectin (IVM). This study aimed to run a four-dose titration trial of IVM in 28 naturally infected Thoroughbred yearlings. The local Strongyle population had been recorded to be resistant to IVM (200 µg/kg). The parasite fecal egg count (FEC) was performed to investigate the egg reappearance period (ERP) of two and five weeks (w2pt and w5pt) after IVM treatment. FEC was > 1000 on day zero for all groups. Although 100% FEC reduction was reported at w2pt for all concentrations, the FEC at w5pt revealed < 83% efficacy. This study reports the reduction of ERP using the label dose as well as 300, and 400 µg/kg (double dose) of IVM. The protocol allowed IVM to significantly suppress FEC w2pt although not eliminating adult worms, failing to guarantee an extension of its protection period over 8 weeks. Moreover, the FEC at w5pt possibly means the infection was not cleared, and worms reestablished egg laying. We raised the possibility of withdrawing IVM of control programs when the drug has less than 80% FEC reduction at w5pt.</p>","PeriodicalId":48990,"journal":{"name":"Revista Brasileira De Parasitologia Veterinaria","volume":"33 3","pages":"e003324"},"PeriodicalIF":1.2000,"publicationDate":"2024-08-12","publicationTypes":"Journal Article","fieldsOfStudy":null,"isOpenAccess":false,"openAccessPdf":"https://www.ncbi.nlm.nih.gov/pmc/articles/PMC11340864/pdf/","citationCount":"0","resultStr":null,"platform":"Semanticscholar","paperid":null,"PeriodicalName":"Revista Brasileira De Parasitologia Veterinaria","FirstCategoryId":"97","ListUrlMain":"https://doi.org/10.1590/S1984-29612024043","RegionNum":4,"RegionCategory":"农林科学","ArticlePicture":[],"TitleCN":null,"AbstractTextCN":null,"PMCID":null,"EPubDate":"2024/1/1 0:00:00","PubModel":"eCollection","JCR":"Q2","JCRName":"Veterinary","Score":null,"Total":0}
引用次数: 0

Abstract

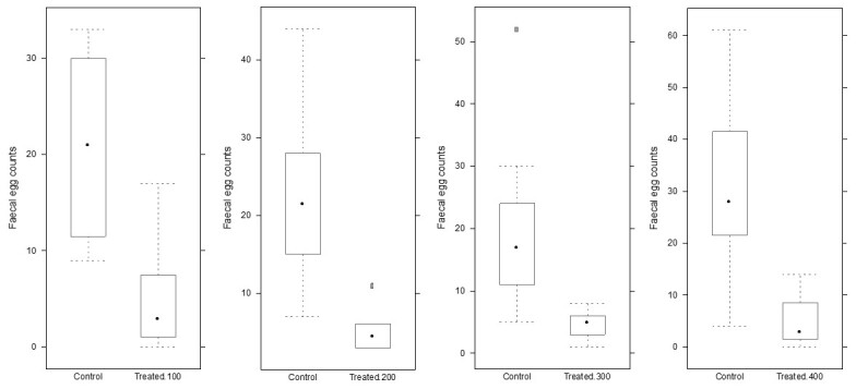
Cyathostomins are the largest group of parasites in horses that can be controlled by ivermectin (IVM). This study aimed to run a four-dose titration trial of IVM in 28 naturally infected Thoroughbred yearlings. The local Strongyle population had been recorded to be resistant to IVM (200 µg/kg). The parasite fecal egg count (FEC) was performed to investigate the egg reappearance period (ERP) of two and five weeks (w2pt and w5pt) after IVM treatment. FEC was > 1000 on day zero for all groups. Although 100% FEC reduction was reported at w2pt for all concentrations, the FEC at w5pt revealed < 83% efficacy. This study reports the reduction of ERP using the label dose as well as 300, and 400 µg/kg (double dose) of IVM. The protocol allowed IVM to significantly suppress FEC w2pt although not eliminating adult worms, failing to guarantee an extension of its protection period over 8 weeks. Moreover, the FEC at w5pt possibly means the infection was not cleared, and worms reestablished egg laying. We raised the possibility of withdrawing IVM of control programs when the drug has less than 80% FEC reduction at w5pt.

Abstract Image

在巴西,增加伊维菌素剂量后,自然感染马体内的胞囊寄生虫卵重现期缩短:可持续寄生虫控制的严峻形势。
伊维菌素(IVM)可控制的最大一类马寄生虫是杯线虫。本研究旨在对28匹自然感染的纯血马进行四剂IVM滴定试验。根据记录,当地的 Strongyle 群体对 IVM(200 µg/kg)具有抗药性。对寄生虫粪卵计数(FEC)进行了研究,以确定 IVM 治疗后两周和五周(w2pt 和 w5pt)的虫卵再出现期(ERP)。所有组别在第 0 天的 FEC 均大于 1000。尽管所有浓度的药剂在第 2 周时的 FEC 降低率均为 100%,但第 5 周时的 FEC 有效率却小于 83%。本研究报告了使用标签剂量以及 300 微克/千克和 400 微克/千克(双倍剂量)IVM 减少 ERP 的情况。该方案可使 IVM 在 w2pt 阶段显著抑制 FEC,但不能消灭成虫,也不能保证将其保护期延长至 8 周以上。此外,w5pt 时的 FEC 可能意味着感染未被清除,蠕虫重新开始产卵。我们提出了一种可能性,即当药物在 w5pt 时对 FEC 的抑制率低于 80%时,应撤销对控制方案的 IVM。
本文章由计算机程序翻译,如有差异,请以英文原文为准。
求助全文
约1分钟内获得全文 求助全文
来源期刊
Revista Brasileira De Parasitologia Veterinaria
Revista Brasileira De Parasitologia Veterinaria PARASITOLOGY-VETERINARY SCIENCES
CiteScore
2.60
自引率
7.70%
发文量
90
审稿时长
>12 weeks
期刊介绍: La revista es un órgano de difusión del Colegio Brasileño de Parasitología Veterinaria, con una especificidad dentro de esa área, la difusión de los resultados de la investigación brasileña en las áreas de Helmintología, Protozoología, Entomología y agentes transmitidos por artrópodos, relacionados con la salud animal.
×
引用
GB/T 7714-2015
复制
MLA
复制
APA
复制
导出至
BibTeX EndNote RefMan NoteFirst NoteExpress
×
提示
您的信息不完整,为了账户安全,请先补充。
现在去补充
×
提示
您因"违规操作"
具体请查看互助需知
我知道了
×
提示
确定
请完成安全验证×
copy
已复制链接
快去分享给好友吧!
我知道了
右上角分享
点击右上角分享
0
联系我们:info@booksci.cn Book学术提供免费学术资源搜索服务,方便国内外学者检索中英文文献。致力于提供最便捷和优质的服务体验。 Copyright © 2023 布克学术 All rights reserved.
京ICP备2023020795号-1
ghs 京公网安备 11010802042870号
Book学术文献互助
Book学术文献互助群
群 号:604180095
Book学术官方微信