Pulmonary Function, Functional Capacity, Respiratory, and Locomotor Muscle Strength after Severe to Critically Ill COVID-19: A Long-Term Study.

IF 3 Q2 RESPIRATORY SYSTEM
Tuberculosis and Respiratory Diseases Pub Date : 2024-10-01 Epub Date: 2024-08-14 DOI:10.4046/trd.2024.0044
Thanunya Ngamsutham, Warawut Chaiwong, Sauwaluk Dacha, Patraporn Sitilertpisan, Chaicharn Pothirat, Pilaiporn Duangjit, Athavudh Deesomchok, Chalerm Liwsrisakun, Chaiwat Bumroongkit, Theerakorn Theerakittikul, Atikun Limsukon, Konlawij Trongtrakul, Nutchanok Niyatiwatchanchai, Pattraporn Tajarernmuang
{"title":"Pulmonary Function, Functional Capacity, Respiratory, and Locomotor Muscle Strength after Severe to Critically Ill COVID-19: A Long-Term Study.","authors":"Thanunya Ngamsutham, Warawut Chaiwong, Sauwaluk Dacha, Patraporn Sitilertpisan, Chaicharn Pothirat, Pilaiporn Duangjit, Athavudh Deesomchok, Chalerm Liwsrisakun, Chaiwat Bumroongkit, Theerakorn Theerakittikul, Atikun Limsukon, Konlawij Trongtrakul, Nutchanok Niyatiwatchanchai, Pattraporn Tajarernmuang","doi":"10.4046/trd.2024.0044","DOIUrl":null,"url":null,"abstract":"<p><strong>Background: </strong>The sequelae of post-coronavirus disease 2019 (COVID-19) pneumonia on lung function, exercise capacity, and quality of life were observed in both shortterm and long-term. However, the study about the respiratory and locomotor muscle strength in severe and critically ill COVID-19 survivors are still limited. Therefore, we aimed to examine long-term pulmonary function, functional capacities, and respiratory and locomotor body muscle strength in severe to critically ill post-COVID-19 survivors.</p><p><strong>Methods: </strong>A prospective observational study was conducted in 22 post-COVID-19 pneumonia and healthy adults. Clinical characteristics during admission, pulmonary function, functional capacity, respiratory muscles, and locomotor muscles strength were examined at 1, 3, and 6 months after discharge from the hospital.</p><p><strong>Results: </strong>The generalized linear mixed model showed that percent predicted of forced expiratory volume in the 1 second (%FEV1), percent predicted of forced vital capacity (%FVC), maximum inspiratory pressure (MIP), handgrip strength, 6-minute walk distance, and five times sit to stand (5TSTS) were significantly lower in post-COVID-19 pneumonia patients than in healthy subjects during the follow-up period. The percent predicted of maximal voluntary ventilation (%MVV), and locomotor muscle strength were not different between the two groups throughout the follow-up period. Among post-COVID-19 pneumonia patients, %FEV1, %FVC, %MVV, 5TSTS, locomotor muscle strength significantly improved at three months compared to baseline at 1 month.</p><p><strong>Conclusion: </strong>Pulmonary function, functional capacity, respiratory, and locomotor muscle strength of survivors from COVID-19 were impaired and recovery was observed after three to six months. These emphasized the need to evaluate the long-term consequences of COVID-19.</p>","PeriodicalId":23368,"journal":{"name":"Tuberculosis and Respiratory Diseases","volume":" ","pages":"532-542"},"PeriodicalIF":3.0000,"publicationDate":"2024-10-01","publicationTypes":"Journal Article","fieldsOfStudy":null,"isOpenAccess":false,"openAccessPdf":"https://www.ncbi.nlm.nih.gov/pmc/articles/PMC11468448/pdf/","citationCount":"0","resultStr":null,"platform":"Semanticscholar","paperid":null,"PeriodicalName":"Tuberculosis and Respiratory Diseases","FirstCategoryId":"1085","ListUrlMain":"https://doi.org/10.4046/trd.2024.0044","RegionNum":0,"RegionCategory":null,"ArticlePicture":[],"TitleCN":null,"AbstractTextCN":null,"PMCID":null,"EPubDate":"2024/8/14 0:00:00","PubModel":"Epub","JCR":"Q2","JCRName":"RESPIRATORY SYSTEM","Score":null,"Total":0}
引用次数: 0

Abstract

Background: The sequelae of post-coronavirus disease 2019 (COVID-19) pneumonia on lung function, exercise capacity, and quality of life were observed in both shortterm and long-term. However, the study about the respiratory and locomotor muscle strength in severe and critically ill COVID-19 survivors are still limited. Therefore, we aimed to examine long-term pulmonary function, functional capacities, and respiratory and locomotor body muscle strength in severe to critically ill post-COVID-19 survivors.

Methods: A prospective observational study was conducted in 22 post-COVID-19 pneumonia and healthy adults. Clinical characteristics during admission, pulmonary function, functional capacity, respiratory muscles, and locomotor muscles strength were examined at 1, 3, and 6 months after discharge from the hospital.

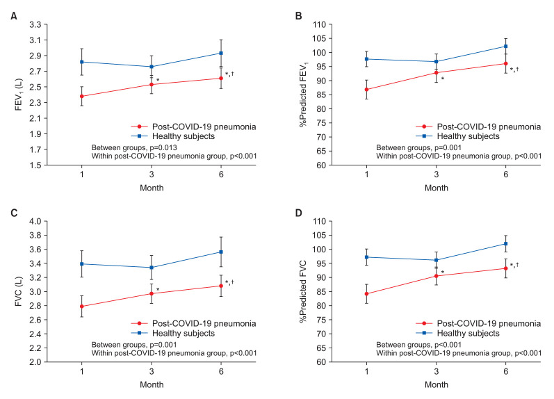
Results: The generalized linear mixed model showed that percent predicted of forced expiratory volume in the 1 second (%FEV1), percent predicted of forced vital capacity (%FVC), maximum inspiratory pressure (MIP), handgrip strength, 6-minute walk distance, and five times sit to stand (5TSTS) were significantly lower in post-COVID-19 pneumonia patients than in healthy subjects during the follow-up period. The percent predicted of maximal voluntary ventilation (%MVV), and locomotor muscle strength were not different between the two groups throughout the follow-up period. Among post-COVID-19 pneumonia patients, %FEV1, %FVC, %MVV, 5TSTS, locomotor muscle strength significantly improved at three months compared to baseline at 1 month.

Conclusion: Pulmonary function, functional capacity, respiratory, and locomotor muscle strength of survivors from COVID-19 were impaired and recovery was observed after three to six months. These emphasized the need to evaluate the long-term consequences of COVID-19.

Abstract Image

Abstract Image

Abstract Image

COVID-19重症至危重病人的肺功能、功能能力、呼吸和运动肌力:长期研究。
背景:2019年冠状病毒病(COVID-19)后肺炎对肺功能、运动能力和生活质量的影响在短期和长期内均可观察到。然而,有关 COVID-19 重症和危重症幸存者呼吸肌和运动肌力的研究仍然有限。因此,我们旨在研究 COVID-19 后重症和危重症幸存者的长期肺功能、功能能力以及呼吸和运动肌力:方法:我们对 22 名 COVID-19 后肺炎患者和健康成人进行了前瞻性观察研究。结果:广义线性混合模型显示,COVID-19 后重症患者的肺功能、机体功能、呼吸肌和运动肌力均有不同程度的下降,而COVID-19 后重症患者的肺功能、机体功能、呼吸肌和运动肌力均有不同程度的上升:广义线性混合模型显示,在随访期间,COVID-19 后肺炎患者的第一秒用力呼气容积预测百分比(%FEV1)、用力生命容量预测百分比(%FVC)、最大吸气压力(MIP)、手握力、6 分钟步行距离(6-MWD)和 5 次坐立(5TSTS)均显著低于健康人。在整个随访期间,两组患者的最大自主通气预测百分比(%MVV)和运动肌力没有差异。COVID-19肺炎后患者的FEV1%、FVC%、MVV%、5TSTS和运动肌力在三个月后与一个月时的基线相比均有显著改善:结论:COVID-19幸存者的肺功能、功能容量、呼吸功能和运动肌力受到损害,但在三至六个月后可观察到恢复。这强调了评估 COVID-19 长期后果的必要性。
本文章由计算机程序翻译,如有差异,请以英文原文为准。
求助全文
约1分钟内获得全文 求助全文
来源期刊
CiteScore
5.30
自引率
0.00%
发文量
42
审稿时长
12 weeks
×
引用
GB/T 7714-2015
复制
MLA
复制
APA
复制
导出至
BibTeX EndNote RefMan NoteFirst NoteExpress
×
提示
您的信息不完整,为了账户安全,请先补充。
现在去补充
×
提示
您因"违规操作"
具体请查看互助需知
我知道了
×
提示
确定
请完成安全验证×
copy
已复制链接
快去分享给好友吧!
我知道了
右上角分享
点击右上角分享
0
联系我们:info@booksci.cn Book学术提供免费学术资源搜索服务,方便国内外学者检索中英文文献。致力于提供最便捷和优质的服务体验。 Copyright © 2023 布克学术 All rights reserved.
京ICP备2023020795号-1
ghs 京公网安备 11010802042870号
Book学术文献互助
Book学术文献互助群
群 号:604180095
Book学术官方微信