Diagnostic Utility of Pre-Genomic Hepatitis B RNA in the Evaluation of HBV/HIV Coinfection.

Q1 Medicine
Pathogens and Immunity Pub Date : 2024-07-30 eCollection Date: 2024-01-01 DOI:10.20411/pai.v9i2.720
Kenneth E Sherman, Susan D Rouster, Heidi Meeds, Marion G Peters, Jason T Blackard, Paul S Horn, Timothy Archampong, Awewura Kwara, Mark Anderson, Michael Stec, Gavin A Cloherty
{"title":"Diagnostic Utility of Pre-Genomic Hepatitis B RNA in the Evaluation of HBV/HIV Coinfection.","authors":"Kenneth E Sherman, Susan D Rouster, Heidi Meeds, Marion G Peters, Jason T Blackard, Paul S Horn, Timothy Archampong, Awewura Kwara, Mark Anderson, Michael Stec, Gavin A Cloherty","doi":"10.20411/pai.v9i2.720","DOIUrl":null,"url":null,"abstract":"<p><strong>Background: </strong>Newer biomarkers of Hepatitis B virus (HBV) infection and treatment response have not been well-characterized in individuals with HBV/HIV coinfection.</p><p><strong>Methods: </strong>Pre-genomic RNA (pgRNA) and quantitative HBsAg (qHBsAg) were used to evaluate the associations with baseline characteristics. Participants included two separate groups - 236 with HBV/HIV coinfection enrolled in a cross-sectional cohort in Ghana and 47 from an HBV nucleoside/nucleotide treatment trial comparing tenofovir to adefovir in the United States.</p><p><strong>Results: </strong>In both cohorts, HBe antigenemia was highly associated with pgRNA and HBV DNA levels. In the treatment cohort, pre-treatment pgRNA serum concentration was 7.0 log<sub>10</sub> U/mL, and mean qHBsAg was 201,297 IU/mL. The observed treatment-associated decrease in pgRNA was consistent with a biphasic decline curve that reached second-phase kinetics following treatment week 12. Changes from baseline were significantly correlated with changes in serum ALT (r = - 0.518; <i>P</i> = 0.023) but not with changes in HBV DNA (r = 0.132, <i>P</i> = NS). qHBsAg also correlated with ALT change (r = - 0.488, <i>P</i> = 0.034).</p><p><strong>Conclusion: </strong>pgRNA and qHBsAg represent newer biomarkers of HBV replication that may help monitor response and treatment outcomes. HBV pgRNA is highly associated with both HBeAg and ALT and may predict both active replication from the closed circular DNA (cccDNA) template as well as hepatic injury.</p>","PeriodicalId":36419,"journal":{"name":"Pathogens and Immunity","volume":"9 2","pages":"43-57"},"PeriodicalIF":0.0000,"publicationDate":"2024-07-30","publicationTypes":"Journal Article","fieldsOfStudy":null,"isOpenAccess":false,"openAccessPdf":"https://www.ncbi.nlm.nih.gov/pmc/articles/PMC11318280/pdf/","citationCount":"0","resultStr":null,"platform":"Semanticscholar","paperid":null,"PeriodicalName":"Pathogens and Immunity","FirstCategoryId":"1085","ListUrlMain":"https://doi.org/10.20411/pai.v9i2.720","RegionNum":0,"RegionCategory":null,"ArticlePicture":[],"TitleCN":null,"AbstractTextCN":null,"PMCID":null,"EPubDate":"2024/1/1 0:00:00","PubModel":"eCollection","JCR":"Q1","JCRName":"Medicine","Score":null,"Total":0}
引用次数: 0

Abstract

Background: Newer biomarkers of Hepatitis B virus (HBV) infection and treatment response have not been well-characterized in individuals with HBV/HIV coinfection.

Methods: Pre-genomic RNA (pgRNA) and quantitative HBsAg (qHBsAg) were used to evaluate the associations with baseline characteristics. Participants included two separate groups - 236 with HBV/HIV coinfection enrolled in a cross-sectional cohort in Ghana and 47 from an HBV nucleoside/nucleotide treatment trial comparing tenofovir to adefovir in the United States.

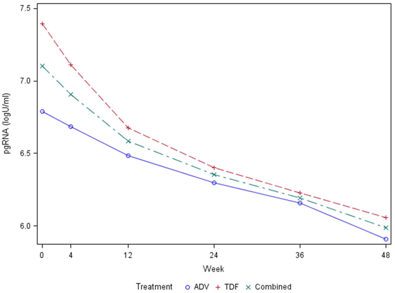
Results: In both cohorts, HBe antigenemia was highly associated with pgRNA and HBV DNA levels. In the treatment cohort, pre-treatment pgRNA serum concentration was 7.0 log10 U/mL, and mean qHBsAg was 201,297 IU/mL. The observed treatment-associated decrease in pgRNA was consistent with a biphasic decline curve that reached second-phase kinetics following treatment week 12. Changes from baseline were significantly correlated with changes in serum ALT (r = - 0.518; P = 0.023) but not with changes in HBV DNA (r = 0.132, P = NS). qHBsAg also correlated with ALT change (r = - 0.488, P = 0.034).

Conclusion: pgRNA and qHBsAg represent newer biomarkers of HBV replication that may help monitor response and treatment outcomes. HBV pgRNA is highly associated with both HBeAg and ALT and may predict both active replication from the closed circular DNA (cccDNA) template as well as hepatic injury.

Abstract Image

Abstract Image

Abstract Image

基因组前乙型肝炎 RNA 在评估 HBV/HIV 合并感染中的诊断作用。
背景:乙型肝炎病毒(HBV)感染和治疗反应的新生物标志物尚未得到很好的描述:乙型肝炎病毒(HBV)感染和治疗反应的较新生物标志物尚未在 HBV/HIV 合并感染者中得到很好的描述:方法: 使用前基因组 RNA(pgRNA)和定量 HBsAg(qHBsAg)评估与基线特征的关联。参与者包括两个不同的群体--236 名加纳横断面队列中的 HBV/HIV 合并感染者和 47 名美国 HBV 核苷/核苷酸治疗试验中的替诺福韦与阿德福韦酯的比较者:在这两个队列中,HBe 抗原血症与 pgRNA 和 HBV DNA 水平高度相关。在治疗队列中,治疗前 pgRNA 血清浓度为 7.0 log10 U/mL,平均 qHBsAg 为 201,297 IU/mL。观察到的与治疗相关的 pgRNA 下降符合双相下降曲线,在治疗第 12 周后达到第二阶段动力学。qHBsAg 也与 ALT 变化相关(r = - 0.488,P = 0.034)。HBV pgRNA 与 HBeAg 和 ALT 高度相关,可预测封闭环 DNA(cccDNA)模板的活跃复制和肝损伤。
本文章由计算机程序翻译,如有差异,请以英文原文为准。
求助全文
约1分钟内获得全文 求助全文
来源期刊
Pathogens and Immunity
Pathogens and Immunity Medicine-Infectious Diseases
CiteScore
10.60
自引率
0.00%
发文量
16
审稿时长
10 weeks
×
引用
GB/T 7714-2015
复制
MLA
复制
APA
复制
导出至
BibTeX EndNote RefMan NoteFirst NoteExpress
×
提示
您的信息不完整,为了账户安全,请先补充。
现在去补充
×
提示
您因"违规操作"
具体请查看互助需知
我知道了
×
提示
确定
请完成安全验证×
copy
已复制链接
快去分享给好友吧!
我知道了
右上角分享
点击右上角分享
0
联系我们:info@booksci.cn Book学术提供免费学术资源搜索服务,方便国内外学者检索中英文文献。致力于提供最便捷和优质的服务体验。 Copyright © 2023 布克学术 All rights reserved.
京ICP备2023020795号-1
ghs 京公网安备 11010802042870号
Book学术文献互助
Book学术文献互助群
群 号:604180095
Book学术官方微信