Arbuscular mycorrhizal diversity increases across a plant productivity gradient driven by soil nitrogen availability.

Q3 Agricultural and Biological Sciences
Plant-environment interactions (Hoboken, N.J.) Pub Date : 2024-08-10 eCollection Date: 2024-08-01 DOI:10.1002/pei3.70002
Morgan R McPherson, Donald R Zak, Inés Ibáñez, Rima A Upchurch, William A Argiroff
{"title":"Arbuscular mycorrhizal diversity increases across a plant productivity gradient driven by soil nitrogen availability.","authors":"Morgan R McPherson, Donald R Zak, Inés Ibáñez, Rima A Upchurch, William A Argiroff","doi":"10.1002/pei3.70002","DOIUrl":null,"url":null,"abstract":"<p><p>Arbuscular mycorrhizal fungi (AMF) are widespread obligate symbionts of plants. This dynamic symbiosis plays a large role in successful plant performance, given that AMF help to ameliorate plant responses to abiotic and biotic stressors. Although the importance of this symbiosis is clear, less is known about what may be driving this symbiosis, the plant's need for nutrients or the excess of plant photosynthate being transferred to the AMF, information critical to assess the functionality of this relationship. Characterizing the AMF community along a natural plant productivity gradient is a first step in understanding how this symbiosis may vary across the landscape. We surveyed the AMF community diversity at 12 sites along a plant productivity gradient driven by soil nitrogen availability. We found that AMF diversity in soil environmental DNA significantly increased along with the growth of the host plants <i>Acer</i> <i>rubrum</i> and <i>A. saccharum</i>., a widespread tree genus. These increases also coincided with a natural soil inorganic N availability gradient. We hypothesize photosynthate from the increased tree growth is being allocated to the belowground AMF community, leading to an increase in diversity. These findings contribute to understanding this complex symbiosis through the lens of AMF turnover and suggest that a more diverse AMF community is associated with increased host-plant performance.</p>","PeriodicalId":74457,"journal":{"name":"Plant-environment interactions (Hoboken, N.J.)","volume":"5 4","pages":"e70002"},"PeriodicalIF":0.0000,"publicationDate":"2024-08-10","publicationTypes":"Journal Article","fieldsOfStudy":null,"isOpenAccess":false,"openAccessPdf":"https://www.ncbi.nlm.nih.gov/pmc/articles/PMC11316137/pdf/","citationCount":"0","resultStr":null,"platform":"Semanticscholar","paperid":null,"PeriodicalName":"Plant-environment interactions (Hoboken, N.J.)","FirstCategoryId":"1085","ListUrlMain":"https://doi.org/10.1002/pei3.70002","RegionNum":0,"RegionCategory":null,"ArticlePicture":[],"TitleCN":null,"AbstractTextCN":null,"PMCID":null,"EPubDate":"2024/8/1 0:00:00","PubModel":"eCollection","JCR":"Q3","JCRName":"Agricultural and Biological Sciences","Score":null,"Total":0}
引用次数: 0

Abstract

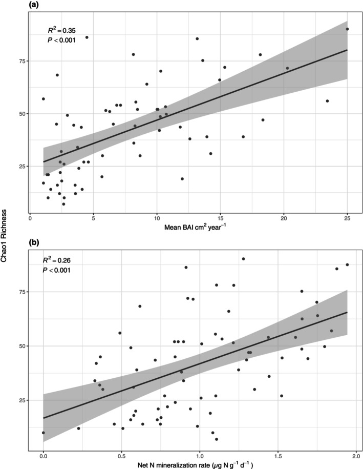
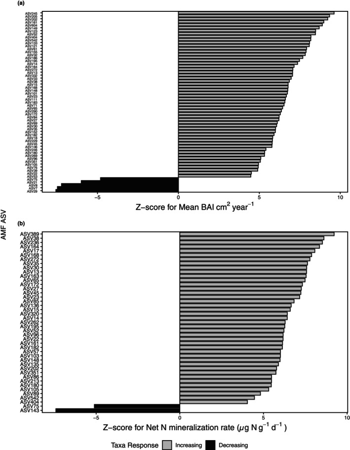
Arbuscular mycorrhizal fungi (AMF) are widespread obligate symbionts of plants. This dynamic symbiosis plays a large role in successful plant performance, given that AMF help to ameliorate plant responses to abiotic and biotic stressors. Although the importance of this symbiosis is clear, less is known about what may be driving this symbiosis, the plant's need for nutrients or the excess of plant photosynthate being transferred to the AMF, information critical to assess the functionality of this relationship. Characterizing the AMF community along a natural plant productivity gradient is a first step in understanding how this symbiosis may vary across the landscape. We surveyed the AMF community diversity at 12 sites along a plant productivity gradient driven by soil nitrogen availability. We found that AMF diversity in soil environmental DNA significantly increased along with the growth of the host plants Acer rubrum and A. saccharum., a widespread tree genus. These increases also coincided with a natural soil inorganic N availability gradient. We hypothesize photosynthate from the increased tree growth is being allocated to the belowground AMF community, leading to an increase in diversity. These findings contribute to understanding this complex symbiosis through the lens of AMF turnover and suggest that a more diverse AMF community is associated with increased host-plant performance.

Abstract Image

Abstract Image

Abstract Image

在土壤氮可用性的驱动下,植物生产力梯度上的丛枝菌根多样性有所增加。
丛枝菌根真菌(AMF)是植物的广泛共生菌。这种动态共生关系对植物的成功表现起着重要作用,因为菌根真菌有助于改善植物对非生物性和生物性胁迫的反应。虽然这种共生关系的重要性显而易见,但人们对驱动这种共生关系的因素却知之甚少,是植物对养分的需求,还是过量的植物光合作用转移给了 AMF,这些信息对评估这种关系的功能至关重要。要想了解这种共生关系在不同地貌条件下的变化情况,首先要确定沿自然植物生产力梯度的 AMF 群落的特征。我们沿土壤氮可用性驱动的植物生产力梯度调查了 12 个地点的 AMF 群落多样性。我们发现,土壤环境 DNA 中的 AMF 多样性随着寄主植物 Acer rubrum 和 A. saccharum(一种广泛分布的树属)的生长而显著增加。这些增长也与自然土壤无机氮供应梯度相吻合。我们推测,树木生长增加所产生的光合产物被分配给了地下 AMF 群落,从而导致了多样性的增加。这些发现有助于通过AMF更替的视角来理解这种复杂的共生关系,并表明更多样化的AMF群落与宿主植物表现的提高有关。
本文章由计算机程序翻译,如有差异,请以英文原文为准。
求助全文
约1分钟内获得全文 求助全文
来源期刊
CiteScore
2.70
自引率
0.00%
发文量
0
审稿时长
15 weeks
×
引用
GB/T 7714-2015
复制
MLA
复制
APA
复制
导出至
BibTeX EndNote RefMan NoteFirst NoteExpress
×
提示
您的信息不完整,为了账户安全,请先补充。
现在去补充
×
提示
您因"违规操作"
具体请查看互助需知
我知道了
×
提示
确定
请完成安全验证×
copy
已复制链接
快去分享给好友吧!
我知道了
右上角分享
点击右上角分享
0
联系我们:info@booksci.cn Book学术提供免费学术资源搜索服务,方便国内外学者检索中英文文献。致力于提供最便捷和优质的服务体验。 Copyright © 2023 布克学术 All rights reserved.
京ICP备2023020795号-1
ghs 京公网安备 11010802042870号
Book学术文献互助
Book学术文献互助群
群 号:604180095
Book学术官方微信