Counteract Anhedonia! Introducing an Online-Training to Enhance Reward Experiencing - A Pilot Study.

IF 2.4 Q2 Psychology
Clinical Psychology in Europe Pub Date : 2024-06-28 eCollection Date: 2024-06-01 DOI:10.32872/cpe.13751
Cara Limpächer, Tordis Kindt, Jürgen Hoyer
{"title":"Counteract Anhedonia! Introducing an Online-Training to Enhance Reward Experiencing - A Pilot Study.","authors":"Cara Limpächer, Tordis Kindt, Jürgen Hoyer","doi":"10.32872/cpe.13751","DOIUrl":null,"url":null,"abstract":"<p><strong>Background: </strong>Anhedonia is a risk factor for a severe course of depression but is often not adequately addressed in psychotherapy. This study presents the Training to Enhance Reward Experience (T-REx), a novel self-help approach that uses savoring and mental imagery to target impairments in reward experience associated with anhedonia. We aimed to examine feasibility and acceptability of T-REx and exploratively investigated its effects on anhedonia and other clinical variables.</p><p><strong>Method: </strong>In an online, randomized controlled trial, 79 subjects participated for five days in T-REx or the active control condition Gratitude Writing (GW). We assessed changes in anhedonia, depression, and active behavior at inclusion, after the waiting period, post-intervention and at follow-up. The intervention effects were examined for the full sample and an anhedonic sub-sample.</p><p><strong>Results: </strong>T-REx and GW were equally feasible and clearly accepted by the sample. Both interventions significantly reduced depressive symptoms and increased behavioral activation. Although there was no significant main effect of the interventions, between-group differences were observed for depressive symptoms and active behavior at post-intervention and follow-up, favoring T-REx. Further, within-group changes for T-REx were larger than for GW. The observed effects had a greater magnitude in the anhedonic sub-sample, suggesting that individuals with more pronounced anhedonic symptoms derived greater benefit from the interventions.</p><p><strong>Discussion: </strong>This first study of T-REx provides promising results that should prompt further investigations of T-REx in clinical samples. The results suggest that T-REx has a positive effect on depression symptoms and active behavior. Further, its potential as a valuable adjunct to behavioral activation interventions is discussed.</p>","PeriodicalId":34029,"journal":{"name":"Clinical Psychology in Europe","volume":"6 2","pages":"e13751"},"PeriodicalIF":2.4000,"publicationDate":"2024-06-28","publicationTypes":"Journal Article","fieldsOfStudy":null,"isOpenAccess":false,"openAccessPdf":"https://www.ncbi.nlm.nih.gov/pmc/articles/PMC11303914/pdf/","citationCount":"0","resultStr":null,"platform":"Semanticscholar","paperid":null,"PeriodicalName":"Clinical Psychology in Europe","FirstCategoryId":"1085","ListUrlMain":"https://doi.org/10.32872/cpe.13751","RegionNum":0,"RegionCategory":null,"ArticlePicture":[],"TitleCN":null,"AbstractTextCN":null,"PMCID":null,"EPubDate":"2024/6/1 0:00:00","PubModel":"eCollection","JCR":"Q2","JCRName":"Psychology","Score":null,"Total":0}
引用次数: 0

Abstract

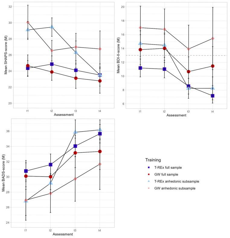
Background: Anhedonia is a risk factor for a severe course of depression but is often not adequately addressed in psychotherapy. This study presents the Training to Enhance Reward Experience (T-REx), a novel self-help approach that uses savoring and mental imagery to target impairments in reward experience associated with anhedonia. We aimed to examine feasibility and acceptability of T-REx and exploratively investigated its effects on anhedonia and other clinical variables.

Method: In an online, randomized controlled trial, 79 subjects participated for five days in T-REx or the active control condition Gratitude Writing (GW). We assessed changes in anhedonia, depression, and active behavior at inclusion, after the waiting period, post-intervention and at follow-up. The intervention effects were examined for the full sample and an anhedonic sub-sample.

Results: T-REx and GW were equally feasible and clearly accepted by the sample. Both interventions significantly reduced depressive symptoms and increased behavioral activation. Although there was no significant main effect of the interventions, between-group differences were observed for depressive symptoms and active behavior at post-intervention and follow-up, favoring T-REx. Further, within-group changes for T-REx were larger than for GW. The observed effects had a greater magnitude in the anhedonic sub-sample, suggesting that individuals with more pronounced anhedonic symptoms derived greater benefit from the interventions.

Discussion: This first study of T-REx provides promising results that should prompt further investigations of T-REx in clinical samples. The results suggest that T-REx has a positive effect on depression symptoms and active behavior. Further, its potential as a valuable adjunct to behavioral activation interventions is discussed.

Abstract Image

对抗失乐症!引入在线培训以增强奖赏体验--一项试点研究。
背景:失乐症是抑郁症严重病程的一个风险因素,但在心理治疗中往往没有得到充分解决。本研究介绍了 "增强奖赏体验训练"(T-REX),这是一种新颖的自助方法,它利用回味和心理想象来消除与失乐症相关的奖赏体验障碍。我们旨在研究 T-REx 的可行性和可接受性,并探索其对失乐症和其他临床变量的影响:在一项在线随机对照试验中,79 名受试者参加了为期五天的 T-REx 或主动对照条件 "感恩书写"(GW)。我们评估了受试者在加入时、等待期后、干预后和随访时的失乐症、抑郁和主动行为的变化。我们对全部样本和失乐症子样本的干预效果进行了研究:结果:T-REX 和 GW 同样可行,并被样本明确接受。两种干预方法都能明显减轻抑郁症状,提高行为激活度。虽然干预措施没有明显的主效应,但在干预后和随访期间,抑郁症状和活跃行为出现了组间差异,T-REX 更受青睐。此外,T-REX 的组内变化大于 GW。在厌食症子样本中观察到的效果更大,这表明厌食症状更明显的人从干预中获益更大:讨论:对 T-REx 的首次研究提供了有希望的结果,这应促使在临床样本中对 T-REx 进行进一步研究。研究结果表明,T-REX 对抑郁症状和主动行为有积极影响。此外,研究还讨论了 T-REx 作为行为激活干预的重要辅助手段的潜力。
本文章由计算机程序翻译,如有差异,请以英文原文为准。
求助全文
约1分钟内获得全文 求助全文
来源期刊
Clinical Psychology in Europe
Clinical Psychology in Europe Psychology-Clinical Psychology
CiteScore
3.00
自引率
0.00%
发文量
26
审稿时长
16 weeks
×
引用
GB/T 7714-2015
复制
MLA
复制
APA
复制
导出至
BibTeX EndNote RefMan NoteFirst NoteExpress
×
提示
您的信息不完整,为了账户安全,请先补充。
现在去补充
×
提示
您因"违规操作"
具体请查看互助需知
我知道了
×
提示
确定
请完成安全验证×
copy
已复制链接
快去分享给好友吧!
我知道了
右上角分享
点击右上角分享
0
联系我们:info@booksci.cn Book学术提供免费学术资源搜索服务,方便国内外学者检索中英文文献。致力于提供最便捷和优质的服务体验。 Copyright © 2023 布克学术 All rights reserved.
京ICP备2023020795号-1
ghs 京公网安备 11010802042870号
Book学术文献互助
Book学术文献互助群
群 号:604180095
Book学术官方微信